-
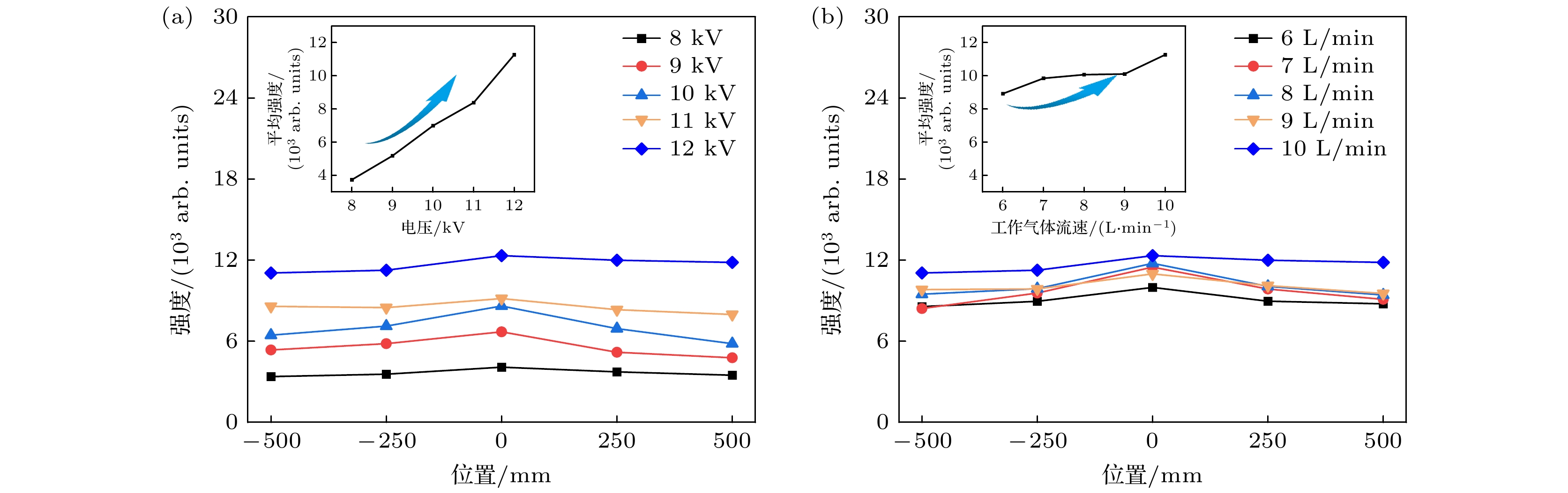
本文报道了一种新型米量级宽幅间接介质阻挡放电(DBD), 用于满足大尺度、形状复杂材料的处理需求. 通过模块化分级气路设计与仿真优化, 提高放电区域及被处理材料表面流场分布均匀性. 在此基础上, 以Ar作为工作气体, 以六甲基二硅烷(HMDSO)为反应媒质, 在纳秒脉冲电源激励下产生米量级宽幅等离子体. 通过电学、光谱、温度诊断方法来评估不同运行条件参数下的粒子活性、放电均匀性和稳定性, 并对环氧材料改性, 通过水接触角测量验证改性效果及其均匀性. 结果表明, 在合适的运行条件参数下, 可产生尺寸为1120 mm的宽幅均匀稳定等离子体. 增大电压幅值使放电强度和粒子活性提升, 但放电均匀性和稳定性会显著降低; 增大工作气体流速虽可同时提升粒子活性、放电均匀性和稳定性, 但提升幅度较小. 在电压幅值为12 kV、工作气体流速为10 L/min条件下处理10 min后, 环氧(EP)材料表面的水接触角从67°均匀提升至144°, 波动幅度低于6%. 本文所报道的米量级宽幅间接DBD电极可为大尺度等离子体材料改性技术工业应用提供参考和依据.A meter-scale wide indirect dielectric barrier discharge (DBD) for treating large-scale and irregular-shaped materials is reported in this study. The structure of the modular-graded gas path is designed, and the influence of gas hole density on the flow field is simulated. It is confirmed that 8 subdividing (40 holes uniformly distributed) structure can effectively improve the uniformity of the gas flow rate distribution in the discharge area and on the treated material surface compared with 0 subdividing structure. Based on this structure, Ar is employed as the discharge gas and hexamethyldisilane as the precursor to generate meter-scale wide plasma under the excitation of a nanosecond pulsed power supply. Particle activity, discharge uniformity and stability under different operating parameters are evaluated by measuring voltage-current waveforms, emission spectra, luminescence images and temperatures at different electrode positions. The treatment effect and uniformity are verified by measuring the water contact angle (WCA) of epoxy (EP) material. The results show that a uniform and stable plasma with a width of 1120 mm is generated under suitable operating parameters. By increasing the voltage amplitude, both the discharge intensity and particle activity are improved, while the discharge uniformity and stability are significantly reduced. By increasing the discharge gas flow rate, the particle activity, discharge uniformity, and stability can be improved simultaneously but slightly. The WCA on the EP surface is uniformly increased from 67° to 144° with a variation of less than 6% after 10-min treatment at a voltage amplitude of 12 kV and a discharge gas flow rate of 10 L/min. The meter-scale wide indirect DBD electrode in this work can provide reference and basis for the industrial application of large-scale plasma material modification technology.
-
Keywords:
- meter-scale wide electrode /
- indirect dielectric barrier discharge /
- material modification /
- discharge characteristics /
- water contact angle
[1] Jaiswal M, Srivastava B 2025 Postharvest Biol. Technol. 229 113681
Google Scholar
[2] Wirth P, Oberste-Beulmann C, Nitsche T, Muhler M, Awakowicz P 2024 Chem. Ing. Tech. 96 1237
Google Scholar
[3] Arora G, Hoffer P, Prukner V, Bílek P, Šimek M 2024 Plasma Sources Sci. Technol. 33 025025
Google Scholar
[4] 徐雨, 王超梁, 覃思成, 张宇, 何涛, 郭颖, 丁可, 张钰如, 杨唯, 石建军, 杜诚然, 张菁 2021 物理学报 70 099401
Google Scholar
Xu Y, Wang Z L, Qin S C, Zhang Y, He T, Guo Y, Ding L, Zhang Y R, Yang W, Shi J J, Du C R, Zhang J 2021 Acta Phys. Sin. 70 099401
Google Scholar
[5] Yi T C, Sun C L, Dong J C, Han D D, Bao L, Wang Z W, Cai Y M, Zhang X 2025 IEEE Electron. Device Lett. 46 757
Google Scholar
[6] Pernica R, Klima M, Fiala P 2024 Meas. Sci. Rev. 24 215
Google Scholar
[7] 李雪辰, 常媛媛, 刘润甫, 赵欢欢, 狄聪 2013 物理学报 62 165205
Google Scholar
Li X C, Chang Y Y, Liu R P, Zhao H H, Di C 2013 Acta Phys. Sin. 62 165205
Google Scholar
[8] Sony F L, Li F, Zhu M D, Wang L, Gong H, Gan Y Q, Jin X 2017 Plasma Sci. Technol. 20 014013
Google Scholar
[9] Motrescu I, Ciolan M A, Sugiyama K, Kawamura N, Nagatsu M 2018 Plasma Sources Sci. T. 27 115005
Google Scholar
[10] Zhu X, Li F S, Guan X H, Xu J G, Cui X L, Huang J L, Liu F, Fang Z 2022 Eur. Polym. J. 181 111656
Google Scholar
[11] Zeniou A, Puač N, Škoro N, Selaković N, Dimitrakellis P, Gogolides E, Petrović Z L 2017 J. Phys. D: Appl. Phys. 50 135204
Google Scholar
[12] Hasan M I, Walsh J L 2017 Appl. Phys. Lett. 110 134102
Google Scholar
[13] Rhouma S, Megriche A, Souidi E, Said S, Autret-Lambert C 2025 J. Mater. Sci. Mater. 36 1
Google Scholar
[14] 王江琼, 李维康, 张文业, 万宝全, 查俊伟 2024 物理学报 73 078801
Google Scholar
Wang H Q, Li W K, Zhang W Y, Wang B Q, Cha J W 2024 Acta Phys. Sin. 73 078801
Google Scholar
[15] Resner L, Lesiak P, Taraghi I, Kochmanska A, Figiel P, Piesowicz E, Zenker M, Paszkiewicz S 2022 Polymers. 14 3444
Google Scholar
[16] Peters F, Hünnekens B, Wieneke S, Militz H, Ohms G, Viöl W 2017 J. Phys. D: Appl. Phys. 50 475206
Google Scholar
[17] 韩国新, 武珈存, 贾焓潇, 王雪芳, 贾鹏英 2023 河北大学学报 43 369
Han G X, Wu J C, Jia Y X, Wang X F, Jia P Y 2023 J. Hebei Univ. 43 369
[18] Stancu E C, Ionita M D, Ionita E R, Teodorescu M, Radu M T, Dinescu G 2018 Rom. J. Phys. 63 705
[19] Kang W S, Kim H S, Hong S H 2010 Thin Solid Films 518 6578
Google Scholar
[20] Portugal S, Choudhury B , Cardenas D 2022 Front. Phys. 10 797
Google Scholar
[21] 刘坤, 左杰, 周雄峰, 冉从福, 杨明昊, 耿文强 2023 物理学报 72 055201
Google Scholar
Liu K, Zuo J, Zhou X F, Ran C F, Yang M H, Geng W Q 2023 Acta Phys. Sin. 72 055201
Google Scholar
[22] 田爽, 张寒, 张喜, 张雪雪, 李雪辰, 李庆, 冉俊霞 2025 物理学报 74 115202
Google Scholar
Tian S, Zhang H, Zhang X, Zhang X X, Li X C, Li Q, Ran J X 2025 Acta Phys. Sin. 74 115202
Google Scholar
[23] Zhang C, Huang B D, Luo Z B, Che X K, Yan P, Shao T 2019 Plasma Sources Sci. Technol. 28 064001
Google Scholar
[24] Neretti G, Popoli A, Scaltriti S G, Cristofolini A 2022 Electronics 11 1536
Google Scholar
[25] Alves L L, Bogaerts A, Guerra V, Turner M M 2018 Plasma Sources Sci. Technol. 27 023002
Google Scholar
[26] Pourali N, Sarafraz M M, Hessel V, Rebrov E V 2021 Phys. Plasmas 28 013502
Google Scholar
[27] Xu Z, Pillai K M 2016 Numer. Heat Tr. A-Appl. 70 1213
Google Scholar
[28] Zhu X, Guan X H, Luo Z R, Wang L Y, Dai L Y, Wu Z X, Fang Z J, Cui X L, Akram X, Fang Z 2024 J. Phys. D Appl. Phys. 57 275203
Google Scholar
[29] Zhang J L, Sun J, Wang D Z, Wang X G 2006 Thin Solid Films 506 404
Google Scholar
[30] 张龙龙, 崔行磊, 刘峰, 方志 2021 电工技术学报 36 3135
Zhang L L, Cui X, Liu F, Fang Z 2021 Trans. China Electrotechn. Soc. 36 3135
[31] Chen Z C, Cheng Y, Lin C C, Li C S, Hsu C C, Chen J Z, Cheng I C 2019 Appl. Surf. Sci. 473 468
Google Scholar
[32] Deng X T, Kong M G 2004 IEEE Trans. Plasma Sci. 32 1709
Google Scholar
[33] Liu F, Chu H J, Zhuang Y, Fang Z, Zhou R W, Cullen P J, Ostrikov K K 2021 J. Appl. Phys. 129 033302
Google Scholar
[34] Zhou W H, Zhang D, Duan X, Zhu X, Liu F, Fang Z 2024 Plasma Sci Techno. 26 094008
Google Scholar
[35] Chen S L, Wang S, Wang Y B, Guo B H, Li G Q, Chang Z S, Zhang G J 2017 Appl. Surf. Sci. 414 107
Google Scholar
[36] Yambe K, Taka S, Ogura K 2014 IEEJ Trans. Electr. Electron. Eng. 9 S13
Google Scholar
[37] Li J Z, Xu J G, Liu F, Fang Z 2022 IEEE Trans. Plasma Sci. 50 1823
Google Scholar
[38] Jin S B, Lee J S, Choi Y S, Choi I S, Han J G 2011 Thin Solid Films 519 6334
Google Scholar
[39] Zhang X Y, Chen L, Guan T Y, Wang B H, Wang S A, Yang H Y, Song P 2024 Phys. Scr. 99 025606
Google Scholar
[40] Uchida G, Nakajima A, Takenaka K, Koga K, Shiratani M, Setsuhara Y 2015 IEEE Trans. Plasma Sci. 43 4081
Google Scholar
[41] 邵先军, 张冠军, 詹江杨, 李娅西, 张增辉, 彭兆裕 2011 高电压技术 37 1499
Shao X J, Zhang G J, Zhan J Y 2011 High Volt. Eng. 37 1499
[42] Demirskyi D, Sepehri-Amin H, Vasylkiv O O 2025 Int. J. Appl. Ceram. Tec. 22 e14967.
Google Scholar
[43] Cui X L, Li L, Xu Z B, Zhu X, Akram S, Fang Z 2024 J. Vac. Sci. Technol. A 42 043005
Google Scholar
[44] Liang F W, Luo H H, Zhuang W J, Liang Z D, Fan X H, Chen S, Sun Q Q 2025 J. Phys. D Appl. Phys. 58 185501
Google Scholar
-
图 2 米量级宽幅间接DBD电极流场仿真 (a) 不同结构下工作气体流速的流线; (b), (c) 不同结构下处理材料表面流速分布; (d) 不同工作气体流速下的放电区域和材料表面流速分布
Fig. 2. Flow field simulation of the meter-scale wide indirect DBD: (a) Ar flow streamlines of gas flow rate under different structures; (b), (c) flow rate distributions on the treated material surface for different structures; (d) flow rate distributions in the discharge region and on the material surface for different total gas flow rates.
-
[1] Jaiswal M, Srivastava B 2025 Postharvest Biol. Technol. 229 113681
Google Scholar
[2] Wirth P, Oberste-Beulmann C, Nitsche T, Muhler M, Awakowicz P 2024 Chem. Ing. Tech. 96 1237
Google Scholar
[3] Arora G, Hoffer P, Prukner V, Bílek P, Šimek M 2024 Plasma Sources Sci. Technol. 33 025025
Google Scholar
[4] 徐雨, 王超梁, 覃思成, 张宇, 何涛, 郭颖, 丁可, 张钰如, 杨唯, 石建军, 杜诚然, 张菁 2021 物理学报 70 099401
Google Scholar
Xu Y, Wang Z L, Qin S C, Zhang Y, He T, Guo Y, Ding L, Zhang Y R, Yang W, Shi J J, Du C R, Zhang J 2021 Acta Phys. Sin. 70 099401
Google Scholar
[5] Yi T C, Sun C L, Dong J C, Han D D, Bao L, Wang Z W, Cai Y M, Zhang X 2025 IEEE Electron. Device Lett. 46 757
Google Scholar
[6] Pernica R, Klima M, Fiala P 2024 Meas. Sci. Rev. 24 215
Google Scholar
[7] 李雪辰, 常媛媛, 刘润甫, 赵欢欢, 狄聪 2013 物理学报 62 165205
Google Scholar
Li X C, Chang Y Y, Liu R P, Zhao H H, Di C 2013 Acta Phys. Sin. 62 165205
Google Scholar
[8] Sony F L, Li F, Zhu M D, Wang L, Gong H, Gan Y Q, Jin X 2017 Plasma Sci. Technol. 20 014013
Google Scholar
[9] Motrescu I, Ciolan M A, Sugiyama K, Kawamura N, Nagatsu M 2018 Plasma Sources Sci. T. 27 115005
Google Scholar
[10] Zhu X, Li F S, Guan X H, Xu J G, Cui X L, Huang J L, Liu F, Fang Z 2022 Eur. Polym. J. 181 111656
Google Scholar
[11] Zeniou A, Puač N, Škoro N, Selaković N, Dimitrakellis P, Gogolides E, Petrović Z L 2017 J. Phys. D: Appl. Phys. 50 135204
Google Scholar
[12] Hasan M I, Walsh J L 2017 Appl. Phys. Lett. 110 134102
Google Scholar
[13] Rhouma S, Megriche A, Souidi E, Said S, Autret-Lambert C 2025 J. Mater. Sci. Mater. 36 1
Google Scholar
[14] 王江琼, 李维康, 张文业, 万宝全, 查俊伟 2024 物理学报 73 078801
Google Scholar
Wang H Q, Li W K, Zhang W Y, Wang B Q, Cha J W 2024 Acta Phys. Sin. 73 078801
Google Scholar
[15] Resner L, Lesiak P, Taraghi I, Kochmanska A, Figiel P, Piesowicz E, Zenker M, Paszkiewicz S 2022 Polymers. 14 3444
Google Scholar
[16] Peters F, Hünnekens B, Wieneke S, Militz H, Ohms G, Viöl W 2017 J. Phys. D: Appl. Phys. 50 475206
Google Scholar
[17] 韩国新, 武珈存, 贾焓潇, 王雪芳, 贾鹏英 2023 河北大学学报 43 369
Han G X, Wu J C, Jia Y X, Wang X F, Jia P Y 2023 J. Hebei Univ. 43 369
[18] Stancu E C, Ionita M D, Ionita E R, Teodorescu M, Radu M T, Dinescu G 2018 Rom. J. Phys. 63 705
[19] Kang W S, Kim H S, Hong S H 2010 Thin Solid Films 518 6578
Google Scholar
[20] Portugal S, Choudhury B , Cardenas D 2022 Front. Phys. 10 797
Google Scholar
[21] 刘坤, 左杰, 周雄峰, 冉从福, 杨明昊, 耿文强 2023 物理学报 72 055201
Google Scholar
Liu K, Zuo J, Zhou X F, Ran C F, Yang M H, Geng W Q 2023 Acta Phys. Sin. 72 055201
Google Scholar
[22] 田爽, 张寒, 张喜, 张雪雪, 李雪辰, 李庆, 冉俊霞 2025 物理学报 74 115202
Google Scholar
Tian S, Zhang H, Zhang X, Zhang X X, Li X C, Li Q, Ran J X 2025 Acta Phys. Sin. 74 115202
Google Scholar
[23] Zhang C, Huang B D, Luo Z B, Che X K, Yan P, Shao T 2019 Plasma Sources Sci. Technol. 28 064001
Google Scholar
[24] Neretti G, Popoli A, Scaltriti S G, Cristofolini A 2022 Electronics 11 1536
Google Scholar
[25] Alves L L, Bogaerts A, Guerra V, Turner M M 2018 Plasma Sources Sci. Technol. 27 023002
Google Scholar
[26] Pourali N, Sarafraz M M, Hessel V, Rebrov E V 2021 Phys. Plasmas 28 013502
Google Scholar
[27] Xu Z, Pillai K M 2016 Numer. Heat Tr. A-Appl. 70 1213
Google Scholar
[28] Zhu X, Guan X H, Luo Z R, Wang L Y, Dai L Y, Wu Z X, Fang Z J, Cui X L, Akram X, Fang Z 2024 J. Phys. D Appl. Phys. 57 275203
Google Scholar
[29] Zhang J L, Sun J, Wang D Z, Wang X G 2006 Thin Solid Films 506 404
Google Scholar
[30] 张龙龙, 崔行磊, 刘峰, 方志 2021 电工技术学报 36 3135
Zhang L L, Cui X, Liu F, Fang Z 2021 Trans. China Electrotechn. Soc. 36 3135
[31] Chen Z C, Cheng Y, Lin C C, Li C S, Hsu C C, Chen J Z, Cheng I C 2019 Appl. Surf. Sci. 473 468
Google Scholar
[32] Deng X T, Kong M G 2004 IEEE Trans. Plasma Sci. 32 1709
Google Scholar
[33] Liu F, Chu H J, Zhuang Y, Fang Z, Zhou R W, Cullen P J, Ostrikov K K 2021 J. Appl. Phys. 129 033302
Google Scholar
[34] Zhou W H, Zhang D, Duan X, Zhu X, Liu F, Fang Z 2024 Plasma Sci Techno. 26 094008
Google Scholar
[35] Chen S L, Wang S, Wang Y B, Guo B H, Li G Q, Chang Z S, Zhang G J 2017 Appl. Surf. Sci. 414 107
Google Scholar
[36] Yambe K, Taka S, Ogura K 2014 IEEJ Trans. Electr. Electron. Eng. 9 S13
Google Scholar
[37] Li J Z, Xu J G, Liu F, Fang Z 2022 IEEE Trans. Plasma Sci. 50 1823
Google Scholar
[38] Jin S B, Lee J S, Choi Y S, Choi I S, Han J G 2011 Thin Solid Films 519 6334
Google Scholar
[39] Zhang X Y, Chen L, Guan T Y, Wang B H, Wang S A, Yang H Y, Song P 2024 Phys. Scr. 99 025606
Google Scholar
[40] Uchida G, Nakajima A, Takenaka K, Koga K, Shiratani M, Setsuhara Y 2015 IEEE Trans. Plasma Sci. 43 4081
Google Scholar
[41] 邵先军, 张冠军, 詹江杨, 李娅西, 张增辉, 彭兆裕 2011 高电压技术 37 1499
Shao X J, Zhang G J, Zhan J Y 2011 High Volt. Eng. 37 1499
[42] Demirskyi D, Sepehri-Amin H, Vasylkiv O O 2025 Int. J. Appl. Ceram. Tec. 22 e14967.
Google Scholar
[43] Cui X L, Li L, Xu Z B, Zhu X, Akram S, Fang Z 2024 J. Vac. Sci. Technol. A 42 043005
Google Scholar
[44] Liang F W, Luo H H, Zhuang W J, Liang Z D, Fan X H, Chen S, Sun Q Q 2025 J. Phys. D Appl. Phys. 58 185501
Google Scholar
计量
- 文章访问数: 1206
- PDF下载量: 46
- 被引次数: 0








下载: