搜索

x

留言板

尊敬的读者、作者、审稿人, 关于本刊的投稿、审稿、编辑和出版的任何问题, 您可以本页添加留言。我们将尽快给您答复。谢谢您的支持!

姓名
邮箱
手机号码
标题
留言内容
验证码

温稠密和热稠密极端条件下的物质黏性研究进展及数据评估

程宇清 刘海风 李琼 王帅创 王丽芳 方俊 高兴誉 孙博 宋海峰 王建国

引用本文:
Citation:

温稠密和热稠密极端条件下的物质黏性研究进展及数据评估

程宇清, 刘海风, 李琼, 王帅创, 王丽芳, 方俊, 高兴誉, 孙博, 宋海峰, 王建国
cstr: 32037.14.aps.74.20250861

Research progress and data assessment of shear viscosity under extreme conditions of warm and hot dense matters

CHENG Yuqing, LIU Haifeng, LI Qiong, WANG Shuaichuang, WANG Lifang, FANG Jun, GAO Xingyu, SUN Bo, SONG Haifeng, WANG Jianguo
cstr: 32037.14.aps.74.20250861
Article Text (iFLYTEK Translation)
PDF
HTML
导出引用
在线预览
  • 温稠密和热稠密极端条件下的物质黏性在诸多场景有着重要应用, 例如: 惯性约束聚变靶丸设计、天体结构演化研究、极端条件下界面不稳定性和混合发展规律研究等. 由于黏性实验技术能够达到的温压范围非常有限, 因而, 极端条件下物质黏性数据的获取方式主要是通过理论计算. 本文阐述了计算温稠密和热稠密极端条件下物质黏性的多种理论方法, 包括以量子分子动力学模拟(QMD)为代表的数值模拟方法和以随机游走屏蔽势黏性模型(RWSP-VM)为代表的解析公式. 通过评估从低原子序数到高原子序数的多种单质(H, C, Al, Fe, Ge, W, U)的黏性数据, 讨论了各种方法的适用条件, 评估了各种解析公式的可靠性和适用范围. 可以看到, 数值模拟方法获得的数据量以及覆盖范围仍然有限, 不同的数值模拟方法之间还存在一定分歧, 解析公式仍然是快速获取大量黏性数据的可靠方式. 基于物理建模和模拟数据的拟合公式, 例如单质等离子体(OCP)模型、集成的Yukawa黏性模型(IYVM)等, 兼顾了模拟数据的精度和解析计算的效率. 基于物理建模的RWSP-VM, 不依赖于模拟数据, 却在较宽温压范围内具有与模拟数据相当的精度, 是获取温稠密和热稠密物质黏性数据的高效方法. 本文数据集可在https://doi.org/10.57760/sciencedb.j00213.00180访问获取.
    The viscosities of matters under extreme conditions, i.e. warm dense matter (WDM) and hot dense matter (HDM), have significant applications in various fields, such as the design of inertial confinement fusion targets, the astrophysical structure evolution, and the interfacial instability and mixing development under extreme conditions. Since the temperature and pressure ranges accessible by experimental techniques for viscosity measurement are very limited, the acquisition of viscosity data under extreme conditions mainly relies on theoretical calculations. This work introduces a variety of molecular dynamics (MD) methods and models for calculating the viscosities of WDM and HDM, they being quantum MD (QMD), orbital-free MD (OFMD), average atom model combined with hypernetted chain (AAHNC), effective potential theory combined with average atom model (EPT+AA), hybrid kinetics MD (KMD), integrated Yukawa viscosity model (IYVM), Stanton-Murillo transport model (SMT), pseudo-ion in jellium (PIJ), one-component plasma model (OCP), and random-walk shielding-potential viscosity model (RWSP-VM). Simultaneously, the viscosities of various elements obtained by these methods are shown, ranging from low to high atomic number (Z), i.e., H, C, Al, Fe, Ge, W, and U. The accuracy and the applicability of each method are analyzed in detail by comparison. RWSP-VM, which is based on physical modeling and independent of MD data, has comparable accuracy to simulation data over a wide range of temperature and pressure, and is an efficient method of obtaining viscosity data of WDM and HDM. This work will pave the way for calculating the shear viscosities under extreme conditions, and may play an important role in promoting the relevant applications. The data calculated from RWSP-VM in this work are openly available at https://doi.org/10.57760/sciencedb.j00213.00180.
      通信作者: 李琼, li_qiong@iapcm.ac.cn
    • 基金项目: 计算物理全国重点实验室基金资助的课题.
      Corresponding author: LI Qiong, li_qiong@iapcm.ac.cn
    • Funds: Project supported by the Funding of National Key Laboratory of Computational Physics, China.
    [1]

    Dornheim T, Groth S, Bonitz M 2018 Phys. Rep. 744 1Google Scholar

    [2]

    Karasiev V V, Sjostrom T, Chakraborty D, Dufty J W, Runge K, Harris F E, Trickey S B 2014 Frontiers and Challenges in Warm Dense Matter (Cham: Springer International Publishing) pp61–85

    [3]

    Graziani F R, Bauer J D, Murillo M S 2014 Phys. Rev. E 90 033104Google Scholar

    [4]

    Regan S, Goncharov V, Sangster T, et al. 2018 Nucl. Fusion 59 032007Google Scholar

    [5]

    Bruno D, Catalfamo C, Capitelli M, Colonna G, De Pascale O, Diomede P, Gorse C, Laricchiuta A, Longo S, Giordano D, Pirani F 2010 Phys. Plasmas 17 112315Google Scholar

    [6]

    殷建伟, 潘昊, 吴子辉, 郝鹏程, 段卓平, 胡晓棉 2017 物理学报 66 204701Google Scholar

    Yin J W, Pan H, Wu Z H, Hao P C, Duan Z P, Hu X M 2017 Acta Phys. Sin. 66 204701Google Scholar

    [7]

    Allen M P, Tildesley D J 1989 Computer Simulation of Liquids (Oxford: Clarendon Press) pp60, 61

    [8]

    Alfè D, Gillan M J 1998 Phys. Rev. Lett. 81 5161Google Scholar

    [9]

    Wang S C, Liu H 2017 Computational Science and its Applications—ICCSA 2017 (Cham: Springer International Publishing) pp787–795

    [10]

    Wang S C, Zhang G, Sun B, Song H, Tian M, Fang J, Liu H 2019 Chin. J. Comput. Phys. 36 253Google Scholar

    [11]

    Wang C, Long Y, Tian M F, He X T, Zhang P 2013 Phys. Rev. E 87 043105Google Scholar

    [12]

    Wang C, Wang Z B, Chen Q F, Zhang P 2014 Phys. Rev. E 89 023101Google Scholar

    [13]

    Li D F, Wang C, Kang W, Yan J, Zhang P 2015 Phys. Rev. E 92 043108Google Scholar

    [14]

    Li Z G, Zhang W, Fu Z J, Dai J Y, Chen Q F, Chen X R 2017 Phys. Plasmas 24 052903Google Scholar

    [15]

    Wang Z Q, Tang J, Hou Y, Chen Q F, Chen X R, Dai J Y, Meng X J, Gu Y J, Liu L, Li G J, Lan Y S, Li Z G 2020 Phys. Rev. E 101 023302Google Scholar

    [16]

    Cheng Y Q, Wang H, Wang S, Gao X, Li Q, Fang J, Song H, Chu W, Zhang G, Song H, Liu H 2021 AIP Adv. 11 015043Google Scholar

    [17]

    Hou Y, Bredow R, Yuan J, Redmer R 2015 Phys. Rev. E 91 033114Google Scholar

    [18]

    Hou Y, Jin F, Yuan J 2006 Phys. Plasmas 13 093301Google Scholar

    [19]

    Hou Y, Jin F, Yuan J 2007 J. Phys.: Condens. Matter 19 425204Google Scholar

    [20]

    van Leeuwen J, Groeneveld J, de Boer J 1959 Physica 25 792Google Scholar

    [21]

    de Boer J, Van Leeuwen J, Groeneveld J 1964 Physica 30 2265Google Scholar

    [22]

    Wünsch K, Hilse P, Schlanges M, Gericke D O 2008 Phys. Rev. E 77 056404Google Scholar

    [23]

    Lambert F, Clérouin J, Zérah G 2006 Phys. Rev. E 73 016403Google Scholar

    [24]

    Blanchet A, Torrent M, Clérouin J 2020 Phys. Plasmas 27 122706Google Scholar

    [25]

    Lambert F, Clérouin J, Mazevet S, Gilles D 2007 Contrib. Plasma Phys. 47 272Google Scholar

    [26]

    Brack M, Bhaduri R K 2003 Semiclassical Physics (Boulder: Westview Press) pp155–175

    [27]

    Daligault J, Baalrud S D, Starrett C E, Saumon D, Sjostrom T 2016 Phys. Rev. Lett. 116 075002Google Scholar

    [28]

    Starrett C E, Saumon D 2013 Phys. Rev. E 87 013104Google Scholar

    [29]

    Starrett C E, Saumon D, Daligault J, Hamel S 2014 Phys. Rev. E 90 033110Google Scholar

    [30]

    Baalrud S D, Daligault J 2013 Phys. Rev. Lett. 110 235001Google Scholar

    [31]

    Baalrud S D, Daligault J 2015 Phys. Rev. E 91 063107Google Scholar

    [32]

    Haxhimali T, Rudd R E, Cabot W H, Graziani F R 2015 Phys. Rev. E 92 053110Google Scholar

    [33]

    Chapman S, Cowling T G 1970 The Mathematical Theory of Non-Uniform Gases (Cambridge: Cambridge University Press) pp179–196

    [34]

    Murillo M S 2008 High Energy Density Phys. 4 49Google Scholar

    [35]

    Johnson Z A, Silvestri L G, Petrov G M, Stanton L G, Murillo M S 2024 Phys. Plasmas 31 082701Google Scholar

    [36]

    Stanton L G, Murillo M S 2016 Phys. Rev. E 93 043203Google Scholar

    [37]

    Arnault P 2013 High Energy Density Phys. 9 711Google Scholar

    [38]

    Daligault J, Rasmussen K O, Baalrud S D 2014 Phys. Rev. E 90 033105Google Scholar

    [39]

    Cheng Y Q, Liu H, Hou Y, Meng X, Li Q, Liu Y, Gao X, Yuan J, Song H, Wang J 2022 Phys. Rev. E 106 014142Google Scholar

    [40]

    Cheng Y Q, Gao X, Li Q, Liu Y, Song H, Liu H 2023 arXiv: 2305.16551 [cond-mat.stat-mech]

    [41]

    Thomas L H 1927 Math. Proc. Cambridge Philos. Soc. 23 542Google Scholar

    [42]

    More R M 1985 Adv. At. Mol. Phys. 21 305Google Scholar

    [43]

    Vanderbilt D 1990 Phys. Rev. B 41 7892Google Scholar

    [44]

    Danel J F, Kazandjian L, Zérah G 2012 Phys. Rev. E 85 066701Google Scholar

    [45]

    Gordon R G, Kim Y S 1972 J. Chem. Phys. 56 3122Google Scholar

    [46]

    Kim Y S, Gordon R G 1974 Phys. Rev. B 9 3548Google Scholar

    [47]

    Hou Y, Fu Y, Bredow R, Kang D, Redmer R, Yuan J 2017 High Energy Density Phys. 22 21Google Scholar

    [48]

    Hou Y, Jin Y, Zhang P, Kang D, Gao C, Redmer R, Yuan J 2021 Matter Radiat. Extrem. 6 026901Google Scholar

    [49]

    Ornstein L, Zernike F 1914 Proc. K. Ned. Akad. Wet. 17 793

    [50]

    Rosenfeld Y 1986 J. Stat. Phys. 42 437Google Scholar

    [51]

    Decoster A, Raviart P A, Markowich P A, Perthame B 1998 Modeling of Collisions (Paris: Gauthier-Villars

    [52]

    Bastea S 2005 Phys. Rev. E 71 056405Google Scholar

    [53]

    Baus M, Hansen J P 1980 Phys. Rep. 59 1Google Scholar

    [54]

    Grabowski P, Hansen S, Murillo M, et al. 2020 High Energy Density Phys. 37 100905Google Scholar

    [55]

    Sun H, Kang D, Hou Y, Dai J 2017 Matter Radiat. Extrem. 2 287Google Scholar

    [56]

    Clérouin J, Arnault P, Ticknor C, Kress J D, Collins L A 2016 Phys. Rev. Lett. 116 115003Google Scholar

    [57]

    Kress J, Cohen J S, Kilcrease D, Horner D, Collins L 2011 High Energy Density Phys. 7 155Google Scholar

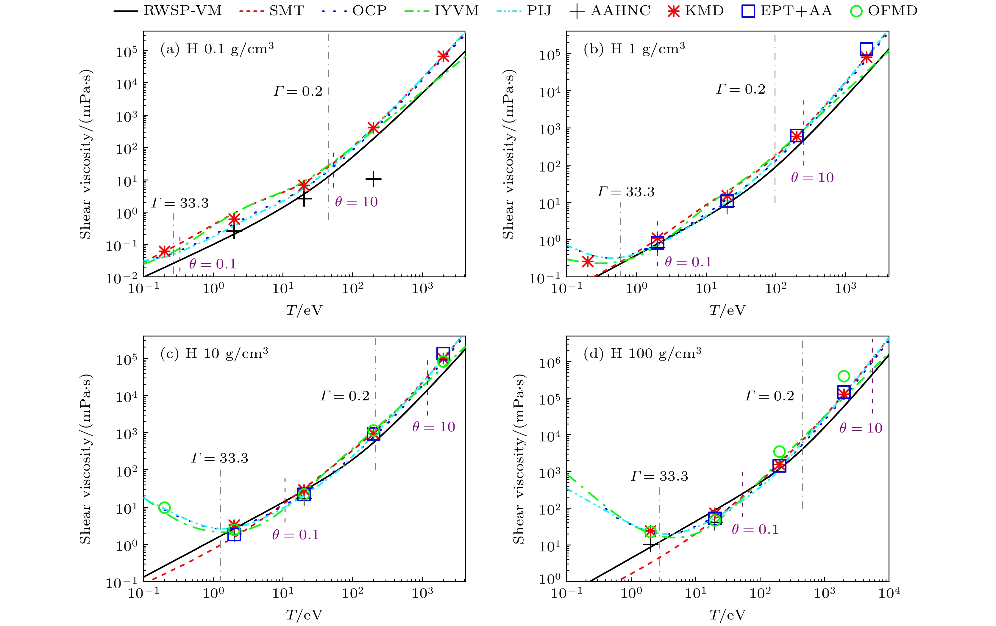
  • 图 1  H的黏性 (a)—(d)密度分别为0.1, 1, 10, 100 g/cm3. 黑色实线、红色虚线、蓝色点线、绿色虚点线和青色虚点点线分别为模型RWSP-VM, SMT, OCP, IYVM和PIJ由公式计算的结果. 黑色十字、红色星号、蓝色方块和绿色圆圈分别为AAHNC, KMD, EPT+AA和OFMD的计算结果, 数据来源于文献[54]

    Fig. 1.  Shear viscosity of H. Panels (a)–(d) stand for the densities of 0.1, 1, 10, 100 g/cm3, respectively. Black solid, red dashed, blue dotted, and green dash-dot, and cyan dash-dot-dot curves stand for the results of RWSP-VM, SMT, OCP, IYVM, and PIJ respectively. Black crosses, red stars, blue squares, and green circles stand for the results of AAHNC, KMD, EPT+AA, and OFMD, respectively, which are from Ref. [54].

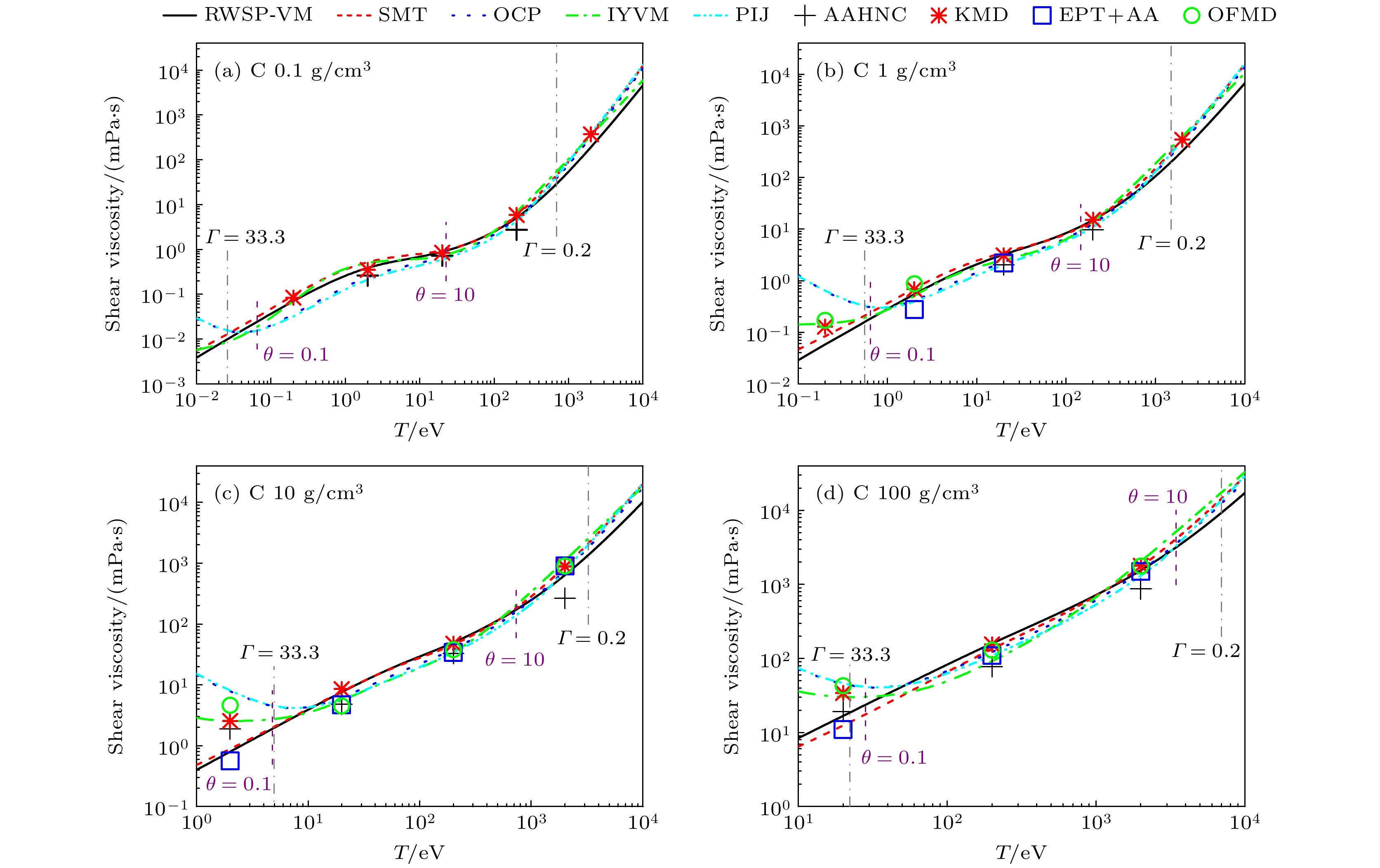
    图 2  C的黏性 (a)—(d) 密度分别为0.1, 1, 10, 100 g/cm3. 图例与图 1一致. AAHNC, KMD, EPT+AA和OFMD的数据来源于文献[54]

    Fig. 2.  Shear viscosity of C. Panels (a)–(d) stand for the densities of 0.1, 1, 10, 100 g/cm3, respectively. The legends are the same as Fig. 1. The results of AAHNC, KMD, EPT+AA, and OFMD are from Ref. [54].

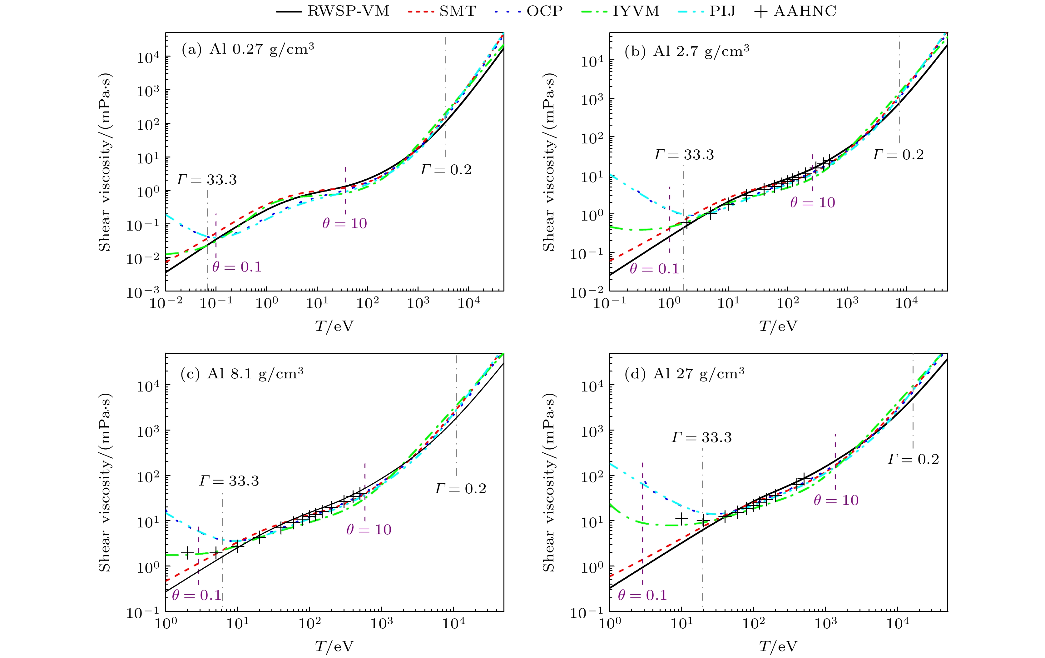
    图 3  Al的黏性 (a)—(d)密度分别为0.27, 2.7, 8.1, 27 g/cm3. 黑色实线、红色虚线、蓝色点线、绿色虚点线和青色虚点点线分别为模型RWSP-VM, SMT, OCP, IYVM和PIJ由公式计算的结果. 黑色十字为AAHNC (CMD)的计算结果, 数据来源于文献[47]

    Fig. 3.  Shear viscosity of Al. Panels (a)–(d) stand for the densities of 0.27, 2.7, 8.1, and 27 g/cm3, respectively. Black solid, red dashed, blue dotted, green dash-dot, and cyan dash-dot-dot curves stand for the results of RWSP-VM, SMT, OCP, IYVM, and PIJ, respectively. Black crosses stand for the results of AAHNC (CMD), which are from Ref. [47].

    图 4  Fe的黏性 (a)—(f) 密度分别为1.6, 4.0, 7.9, 16, 32, 40 g/cm3. 曲线图例与图 3一致, 除了橙色实线代表EPT+AA[27], 红色圆圈、蓝色方块和黑色十字分别为OFMD1[55], OFMD2[27]和AAHNC (CMD)[39]的计算结果

    Fig. 4.  Shear viscosity of Fe. Panels (a)–(f) stand for the densities of 1.6, 4.0, 7.9, 16, 32, and 40 g/cm3, respectively. The legends of the curves are the same as Fig. 3. Orange solid stands for the results of EPT+AA[27]. Red circles, blue squares, and black crosses stand for the results of OFMD1[55], OFMD2[27], and AAHNC (CMD)[39], respectively.

    图 5  Ge的黏性 (a)—(c)密度分别为0.53, 5.3, 53 g/cm3. 曲线图例与图 3一致. 红色十字为OFMD的计算结果[56]

    Fig. 5.  Shear viscosity of Ge. Panels (a)–(c) stand for the densities of 0.53, 5.3, and 53 g/cm3, respectively. The legends of the curves are the same as Fig. 3. Red crosses stand for the results of OFMD[56].

    图 6  W的黏性 (a)—(c) 密度分别为2.0, 40, 200 g/cm3. 图例与图5一致, 紫色虚线表示$ \theta = 10 $对应的温度. OFMD数据来源于文献[56]

    Fig. 6.  Shear viscosity of W. Panels (a)–(c) stand for the densities of 2.0, 40, and 200 g/cm3, respectively. The legends are the same as Fig. 5. The results of OFMD are from Ref. [56].

    图 7  U的黏性. (a)—(i) 密度分别为$ \rho_0 $的0.1, 1, 2, 3, 4, 5, 6, 8, 10倍, 其中$ \rho_0 = 18.93\ {\rm{g}}/{\rm{cm}}^3 $. 曲线的图例与图 3一致. 黑色圆圈, 红色十字和蓝色叉分别为OFMD[57], AAHNC (CMD)和AAHNC (LMD)[48]的计算结果. (j), (k), (l)分别为(a), (b), (f)的放大图

    Fig. 7.  Shear viscosity of U. Panels (a)–(i) stand for the densities of (0.1, 1, 2, 3, 4, 5, 6, 8, and 10)$ \rho_0 $, where $ \rho_0 = 18.93\ {\rm{g}}/{\rm{cm}}^3 $. The legends of the curves are the same as Fig. 3. Black circles, red crosses (+), and blue crosses (×) stand for the results of OFMD[57], AAHNC (CMD), and AAHNC (LMD)[48], respectively. Panels (j), (k), (l) represent the zoom of panels (a), (b), (f), respectively.

    表 1  约化的碰撞积分(28)式和(29)式在(2, 2)阶的拟合系数[36]

    Table 1.  Coefficients for Eqs. (28), (29) of the reduced collision integrals at index pair of (2, 2)[36]

    $ a_1 $ $ a_2 $ $ a_3 $ $ a_4 $ $ a_5 $
    0.85401 –0.22898 –0.60059 0.80591 –0.30555
    $ b_0 $ $ b_1 $ $ b_2 $ $ b_3 $ $ b_4 $
    0.43475 –0.21147 0.11116 0.19665 0.15195
    下载: 导出CSV

    表 2  (33a)式的拟合系数[38]

    Table 2.  Coefficients for Eq. (33a)[38]

    $ a_0 $ $ a_1 $ $ a_2 $ $ a_3 $
    0.794811 0.0425698 0.00205782 7.03658×10–5
    $ b_0 $ $ b_1 $ $ b_2 $ $ b_3 $ $ b_4 $
    0.862151 0.0429942 –0.000270798 3.25441×10–6 –1.15019×10–8
    下载: 导出CSV

    表 B1  本文使用的基本物理常量以及物质的一些基本物理量

    Table B1.  Fundamental physical constants and some basic physical quantities of the materials used in this work.

    符号 物理量 表达式
    e 元电荷
    $ k_{\rm{B}} $ 玻尔兹曼常量
    $ \hbar $ 约化普朗克常量
    $ m_{\mathrm{e}} $ 电子质量
    $ \varepsilon_0 $ 真空电导率
    $ a_{\rm{ws}} $ Wigner-Seitz半径 $ (4text{π} n/3)^{-1/3} $
    $ E_{\rm{F}} $ 费米能量 $ \hbar^2(3 text{π}^2 n_{\mathrm{e}})^{2/3}/(2 m_{\mathrm{e}}) $
    m 离子质量
    n 离子数密度
    $ n_{\mathrm{e}} $ 电离的电子数密度 $ \overline{Z}n $
    $ q^2 $ 电荷平方 $ (\overline{Z}e)^2/(4 text{π} \varepsilon_0) $
    T 温度
    Z 原子序数
    $ \overline{Z} $ 平均电离度
    $ \overline{Z^2} $ 电离度方均值
    Γ 耦合参数 $ q^2/(a_{\rm{ws}} k_{\rm{B}} T) $
    θ 电子简并参数 $ k_{\rm{B}} T/E_{\mathrm{F}} $
    κ 屏蔽参数 $ a_{\rm{ws}}/\lambda $
    λ 屏蔽距离 根据模型需要取值
    $ \omega_{\rm{p}} $ 等离子体频率 $ \sqrt{4text{π} q^2 n/m} $
    下载: 导出CSV
  • [1]

    Dornheim T, Groth S, Bonitz M 2018 Phys. Rep. 744 1Google Scholar

    [2]

    Karasiev V V, Sjostrom T, Chakraborty D, Dufty J W, Runge K, Harris F E, Trickey S B 2014 Frontiers and Challenges in Warm Dense Matter (Cham: Springer International Publishing) pp61–85

    [3]

    Graziani F R, Bauer J D, Murillo M S 2014 Phys. Rev. E 90 033104Google Scholar

    [4]

    Regan S, Goncharov V, Sangster T, et al. 2018 Nucl. Fusion 59 032007Google Scholar

    [5]

    Bruno D, Catalfamo C, Capitelli M, Colonna G, De Pascale O, Diomede P, Gorse C, Laricchiuta A, Longo S, Giordano D, Pirani F 2010 Phys. Plasmas 17 112315Google Scholar

    [6]

    殷建伟, 潘昊, 吴子辉, 郝鹏程, 段卓平, 胡晓棉 2017 物理学报 66 204701Google Scholar

    Yin J W, Pan H, Wu Z H, Hao P C, Duan Z P, Hu X M 2017 Acta Phys. Sin. 66 204701Google Scholar

    [7]

    Allen M P, Tildesley D J 1989 Computer Simulation of Liquids (Oxford: Clarendon Press) pp60, 61

    [8]

    Alfè D, Gillan M J 1998 Phys. Rev. Lett. 81 5161Google Scholar

    [9]

    Wang S C, Liu H 2017 Computational Science and its Applications—ICCSA 2017 (Cham: Springer International Publishing) pp787–795

    [10]

    Wang S C, Zhang G, Sun B, Song H, Tian M, Fang J, Liu H 2019 Chin. J. Comput. Phys. 36 253Google Scholar

    [11]

    Wang C, Long Y, Tian M F, He X T, Zhang P 2013 Phys. Rev. E 87 043105Google Scholar

    [12]

    Wang C, Wang Z B, Chen Q F, Zhang P 2014 Phys. Rev. E 89 023101Google Scholar

    [13]

    Li D F, Wang C, Kang W, Yan J, Zhang P 2015 Phys. Rev. E 92 043108Google Scholar

    [14]

    Li Z G, Zhang W, Fu Z J, Dai J Y, Chen Q F, Chen X R 2017 Phys. Plasmas 24 052903Google Scholar

    [15]

    Wang Z Q, Tang J, Hou Y, Chen Q F, Chen X R, Dai J Y, Meng X J, Gu Y J, Liu L, Li G J, Lan Y S, Li Z G 2020 Phys. Rev. E 101 023302Google Scholar

    [16]

    Cheng Y Q, Wang H, Wang S, Gao X, Li Q, Fang J, Song H, Chu W, Zhang G, Song H, Liu H 2021 AIP Adv. 11 015043Google Scholar

    [17]

    Hou Y, Bredow R, Yuan J, Redmer R 2015 Phys. Rev. E 91 033114Google Scholar

    [18]

    Hou Y, Jin F, Yuan J 2006 Phys. Plasmas 13 093301Google Scholar

    [19]

    Hou Y, Jin F, Yuan J 2007 J. Phys.: Condens. Matter 19 425204Google Scholar

    [20]

    van Leeuwen J, Groeneveld J, de Boer J 1959 Physica 25 792Google Scholar

    [21]

    de Boer J, Van Leeuwen J, Groeneveld J 1964 Physica 30 2265Google Scholar

    [22]

    Wünsch K, Hilse P, Schlanges M, Gericke D O 2008 Phys. Rev. E 77 056404Google Scholar

    [23]

    Lambert F, Clérouin J, Zérah G 2006 Phys. Rev. E 73 016403Google Scholar

    [24]

    Blanchet A, Torrent M, Clérouin J 2020 Phys. Plasmas 27 122706Google Scholar

    [25]

    Lambert F, Clérouin J, Mazevet S, Gilles D 2007 Contrib. Plasma Phys. 47 272Google Scholar

    [26]

    Brack M, Bhaduri R K 2003 Semiclassical Physics (Boulder: Westview Press) pp155–175

    [27]

    Daligault J, Baalrud S D, Starrett C E, Saumon D, Sjostrom T 2016 Phys. Rev. Lett. 116 075002Google Scholar

    [28]

    Starrett C E, Saumon D 2013 Phys. Rev. E 87 013104Google Scholar

    [29]

    Starrett C E, Saumon D, Daligault J, Hamel S 2014 Phys. Rev. E 90 033110Google Scholar

    [30]

    Baalrud S D, Daligault J 2013 Phys. Rev. Lett. 110 235001Google Scholar

    [31]

    Baalrud S D, Daligault J 2015 Phys. Rev. E 91 063107Google Scholar

    [32]

    Haxhimali T, Rudd R E, Cabot W H, Graziani F R 2015 Phys. Rev. E 92 053110Google Scholar

    [33]

    Chapman S, Cowling T G 1970 The Mathematical Theory of Non-Uniform Gases (Cambridge: Cambridge University Press) pp179–196

    [34]

    Murillo M S 2008 High Energy Density Phys. 4 49Google Scholar

    [35]

    Johnson Z A, Silvestri L G, Petrov G M, Stanton L G, Murillo M S 2024 Phys. Plasmas 31 082701Google Scholar

    [36]

    Stanton L G, Murillo M S 2016 Phys. Rev. E 93 043203Google Scholar

    [37]

    Arnault P 2013 High Energy Density Phys. 9 711Google Scholar

    [38]

    Daligault J, Rasmussen K O, Baalrud S D 2014 Phys. Rev. E 90 033105Google Scholar

    [39]

    Cheng Y Q, Liu H, Hou Y, Meng X, Li Q, Liu Y, Gao X, Yuan J, Song H, Wang J 2022 Phys. Rev. E 106 014142Google Scholar

    [40]

    Cheng Y Q, Gao X, Li Q, Liu Y, Song H, Liu H 2023 arXiv: 2305.16551 [cond-mat.stat-mech]

    [41]

    Thomas L H 1927 Math. Proc. Cambridge Philos. Soc. 23 542Google Scholar

    [42]

    More R M 1985 Adv. At. Mol. Phys. 21 305Google Scholar

    [43]

    Vanderbilt D 1990 Phys. Rev. B 41 7892Google Scholar

    [44]

    Danel J F, Kazandjian L, Zérah G 2012 Phys. Rev. E 85 066701Google Scholar

    [45]

    Gordon R G, Kim Y S 1972 J. Chem. Phys. 56 3122Google Scholar

    [46]

    Kim Y S, Gordon R G 1974 Phys. Rev. B 9 3548Google Scholar

    [47]

    Hou Y, Fu Y, Bredow R, Kang D, Redmer R, Yuan J 2017 High Energy Density Phys. 22 21Google Scholar

    [48]

    Hou Y, Jin Y, Zhang P, Kang D, Gao C, Redmer R, Yuan J 2021 Matter Radiat. Extrem. 6 026901Google Scholar

    [49]

    Ornstein L, Zernike F 1914 Proc. K. Ned. Akad. Wet. 17 793

    [50]

    Rosenfeld Y 1986 J. Stat. Phys. 42 437Google Scholar

    [51]

    Decoster A, Raviart P A, Markowich P A, Perthame B 1998 Modeling of Collisions (Paris: Gauthier-Villars

    [52]

    Bastea S 2005 Phys. Rev. E 71 056405Google Scholar

    [53]

    Baus M, Hansen J P 1980 Phys. Rep. 59 1Google Scholar

    [54]

    Grabowski P, Hansen S, Murillo M, et al. 2020 High Energy Density Phys. 37 100905Google Scholar

    [55]

    Sun H, Kang D, Hou Y, Dai J 2017 Matter Radiat. Extrem. 2 287Google Scholar

    [56]

    Clérouin J, Arnault P, Ticknor C, Kress J D, Collins L A 2016 Phys. Rev. Lett. 116 115003Google Scholar

    [57]

    Kress J, Cohen J S, Kilcrease D, Horner D, Collins L 2011 High Energy Density Phys. 7 155Google Scholar

  • [1] 沈绪, 付涛, 王世怡, 胡浩, 翁莎缘, 彭向和. 复杂应力状态下单硼化铬的力学响应及微结构演化的第一性原理研究. 物理学报, 2026, 75(5): . doi: 10.7498/aps.75.20251295
    [2] 李祗烁, 曹欣睿, 吴顺情, 吴建洋, 文玉华, 朱梓忠. 单层Janus MoSSe在不同手性角单轴拉伸应变下力学性质的第一性原理研究. 物理学报, 2025, 74(16): 166201. doi: 10.7498/aps.74.20250437
    [3] 陈贝, 王小云, 刘涛, 高明, 文大东, 邓永和, 彭平. Pd-Si非晶合金动力学非均匀性的对称与有序. 物理学报, 2024, 73(24): 246102. doi: 10.7498/aps.73.20241051
    [4] 白璞, 王登甲, 刘艳峰. 润湿性影响薄液膜沸腾传热的分子动力学研究. 物理学报, 2024, 73(9): 090201. doi: 10.7498/aps.73.20232026
    [5] 胡庭赫, 李直昊, 张千帆. 元素掺杂对储氢容器用高强钢性能影响的第一性原理和分子动力学模拟. 物理学报, 2024, 73(6): 067101. doi: 10.7498/aps.73.20231735
    [6] 章其林, 王瑞丰, 周同, 王允杰, 刘琪. 一维有序单链水红外吸收光谱的分子动力学模拟. 物理学报, 2023, 72(8): 084207. doi: 10.7498/aps.72.20222031
    [7] 卢欣, 谢孟琳, 刘景, 金蔚, 李春, GeorgiosLefkidis, WolfgangHübner. FemB20 (m = 1, 2)团簇中超快自旋动力学的第一性原理研究. 物理学报, 2021, 70(12): 127505. doi: 10.7498/aps.70.20210056
    [8] 陈玉江, 江五贵, 林演文, 郑盼. 一种新型的三壁碳纳米管螺旋振荡器:分子动力学模拟. 物理学报, 2020, 69(22): 228801. doi: 10.7498/aps.69.20200821
    [9] 范航, 何冠松, 杨志剑, 聂福德, 陈鹏万. 三氨基三硝基苯基高聚物粘结炸药热力学性质的理论计算研究. 物理学报, 2019, 68(10): 106201. doi: 10.7498/aps.68.20190075
    [10] 鲁桃, 王瑾, 付旭, 徐彪, 叶飞宏, 冒进斌, 陆云清, 许吉. 采用密度泛函理论与分子动力学对聚甲基丙烯酸甲酯双折射性的理论计算. 物理学报, 2016, 65(21): 210301. doi: 10.7498/aps.65.210301
    [11] 罗明海, 黎明锴, 朱家昆, 黄忠兵, 杨辉, 何云斌. CdxZn1-xO合金热力学性质的第一性原理研究. 物理学报, 2016, 65(15): 157303. doi: 10.7498/aps.65.157303
    [12] 陈基, 冯页新, 李新征, 王恩哥. 基于路径积分分子动力学与热力学积分方法的高压氢自由能计算. 物理学报, 2015, 64(18): 183101. doi: 10.7498/aps.64.183101
    [13] 李源, 罗喜胜. 黏性、表面张力和磁场对Rayleigh-Taylor不稳定性气泡演化影响的理论分析. 物理学报, 2014, 63(8): 085203. doi: 10.7498/aps.63.085203
    [14] 唐翠明, 赵锋, 陈晓旭, 陈华君, 程新路. Al与α-Fe2O3纳米界面铝热反应的从头计算分子动力学研究. 物理学报, 2013, 62(24): 247101. doi: 10.7498/aps.62.247101
    [15] 周化光, 林鑫, 王猛, 黄卫东. Cu固液界面能的分子动力学计算. 物理学报, 2013, 62(5): 056803. doi: 10.7498/aps.62.056803
    [16] 李雪梅, 韩会磊, 何光普. LiNH2 的晶格动力学、介电性质和热力学性质第一性原理研究. 物理学报, 2011, 60(8): 087104. doi: 10.7498/aps.60.087104
    [17] 忻晓桂, 陈香, 周晶晶, 施思齐. LiFePO4 晶格动力学性质的第一性原理研究. 物理学报, 2011, 60(2): 028201. doi: 10.7498/aps.60.028201
    [18] 王晓中, 林理彬, 何捷, 陈军. 第一性原理方法研究He掺杂Al晶界力学性质. 物理学报, 2011, 60(7): 077104. doi: 10.7498/aps.60.077104
    [19] 李沛娟, 周薇薇, 唐元昊, 张华, 施思齐. CeO2的电子结构,光学和晶格动力学性质:第一性原理研究. 物理学报, 2010, 59(5): 3426-3431. doi: 10.7498/aps.59.3426
    [20] 赵 瑞, 徐荣青, 沈中华, 陆 建, 倪晓武. 黏性液体中激光空泡脉动特性的理论和实验研究. 物理学报, 2006, 55(9): 4783-4788. doi: 10.7498/aps.55.4783
计量
  • 文章访问数:  1149
  • PDF下载量:  47
  • 被引次数: 0
出版历程
  • 收稿日期:  2025-07-01
  • 修回日期:  2025-09-06
  • 上网日期:  2025-10-11
  • 刊出日期:  2025-12-20

/

返回文章
返回