-
量子光-物质相互作用系统的非平衡热能输运近来引起密切关注. 本文研究非平衡各向异性Dicke模型中的量子热流及热整流行为. 通过引入量子缀饰态主方程处理光子-量子比特强耦合. 研究结果表明, 各向异性光子-量子比特强耦合能有效调节热流. 量子比特数增多有利于增强热流. 在热力学极限近似和极限各向异性系数下, 得到热流的解析表达式. 该热流解析式为有限尺寸各向异性Dicke模型的热流上限. 较大的各向异性系数和光子-量子比特非弱耦合有助于实现显著的热整流效应. 希望这些结果能够加深对各向异性光-物质相互作用系统中非平衡热能输运的理解.
-
关键词:
- 量子光-物质相互作用 /
- 量子输运 /
- 开放量子系统
Nonequilibrium heat transport and quantum thermodynamics in quantum light-matter interacting systems have received increasing attention. Consequently, quantum thermal devices, such as heat valve and head diode, have been realized. Recently, it has been discovered that the anisotropic light-matter interactions can greatly modify the eigenvalues and corresponding eigenvectors of hybrid quantum systems, leading to nontrivial quantum phase transitions, quantum metrology, and nonclassicality of photons. To explore the influences of anisotropic light-matter interactions on quantum transport, we investigate heat flow in the nonequilibrium anisotropic Dicke model. In this model, an ensemble of qubits collectively interacts with an anisotropic photon field. Moreover, each component interacts with bosonic thermal reservoirs. The quantum dressed master equation (DME) is included to properly study dissipative dynamics of the anisotropic Dicke model. Within the eigenbasis of the reduced anisotropic Dicke system, the strong qubit-photon couplings can be properly handled. Our results demonstrate that anisotropic qubit-photon interactions are crucial for modulating steady-state heat flow. In particular, it is found that under strong coupling the heat flow is dramatically suppressed by a large anisotropic qubit-photon factor. While under moderate coupling, the anisotropic qubit-photon interactions enhance the heat flow. Moreover, the increase in the number of qubits amplifies the flow characteristics, with the peaks increasing and the valleys decreasing. Besides, we derive two analytical expressions of heat flows in the thermodynamic limit approximation with limiting anisotropic factors. These heat currents exhibit the cotunneling heat transport pictures. They also serve as the upper boundaries for the heat flows in the anisotropic Dicke model with finite qubit numbers. We also analyze the thermal rectification effect in the anisotropic Dicke model. It is found that a large temperature bias, a large anisotropic qubit-photon factor, and nonweak qubit-photon coupling are helpful in achieving the giant thermal rectification factor. We hope that these results can deepen the understanding of quantum heat transport in the anisotropic quantum light-matter interacting systems.[1] Cohen-Tannoudji C, Dupont-Roc J, Grynberg G 1998 Atom-Photon Interactions: Basic Processes and Applications (New Jersey: Wiley-VCH) pp15–19
[2] Scully M O, Zubairy M S 1997 Quantum Optics (Cambridge: Cambridge University Press) pp193–219
[3] Haroche S, Brune M, Raimond J M 2020 Nat. Phys. 16 243
Google Scholar
[4] Kurizki G, Bertet P, Kubo Y, Molmer K, Petrosyan D, Rabl P, Schmiedmayer J 2015 PNAS 112 3866
Google Scholar
[5] Gonzalez-Tudela A, Reiserer A, Garcia-Ripoll J J, Garcia-Vidal F J 2024 Nat. Rev. Phys. 6 166
Google Scholar
[6] Ronzani A, Karimi B, Senior J, Chang Y C, Peltonen J T, Chen C D, Pekola J P 2018 Nat. Phys. 14 991
Google Scholar
[7] Pekola J P, Karimi B 2021 Rev. Mod. Phys. 93 041001
Google Scholar
[8] Jaynes E T, Cummings F W 1963 Proc. IEEE 51 89
Google Scholar
[9] Greentree A D, Koch J, Larson J 2013 J. Phys. B 46 220201
Google Scholar
[10] Blais A, Girvin S M, Oliver W D 2020 Nat. Phys. 16 247
Google Scholar
[11] Blais A, Grimsmo A L, Girvin S M, Wallraff A 2021 Rev. Mod. Phys. 93 025005
Google Scholar
[12] Petersson K D, McFaul L W, Schroer M D, Jung M, Taylor J M, Houck A A, Petta J R 2012 Nature 490 380
Google Scholar
[13] Lin T, Li H O, Cao G, Guo G P 2023 Chin. Phys. B 32 070307
Google Scholar
[14] Jaako T, Garcia-Ripoll J J, Rabl P 2020 Adv. Quantum Technol. 3 1900125
Google Scholar
[15] Cai M L, Liu Z D, Zhao W D, Wu Y K, Mei Q X, Jiang Y, He L, Zhang X, Zhou Z C, Duan L M 2021 Nat. Commun. 12 1126
Google Scholar
[16] Rabi I I 1936 Phys. Rev. 49 324
Google Scholar
[17] Rabi I I 1937 Phys. Rev. 51 652
Google Scholar
[18] Braak D 2011 Phys. Rev. Lett. 107 100401
Google Scholar
[19] Braak D, Chen Q H, Batchelor M T, Solano E 2016 J. Phys. A 49 300301
Google Scholar
[20] Xie Q T, Cui S, Cao J P, Amico L, Fan H 2014 Phys. Rev. X 4 021046
Google Scholar
[21] Lyu G T, Kottmann K, Plenio M B, Myung-Joong H 2024 Phys. Rev. Res. 6 033075
Google Scholar
[22] Lu J H, Ning W, Zhu X, Wu F, Shen L T, Yang Z B, Zheng S B 2022 Phys. Rev. A 106 062616
Google Scholar
[23] Zhu X, Lu J H, Ning W, Wu F, Shen L T, Yang Z B, Zheng S B 2023 Sci. China Phys. Mech. Astron. 66 250313
Google Scholar
[24] Chen Z H, Che H X, Chen Z K, Wang C, Ren J 2022 Phys. Rev. Res. 4 013152
Google Scholar
[25] Ye T, Wang C, Chen Q H 2023 Physica A 609 128364
Google Scholar
[26] Ye T, Wang C, Chen Q H 2024 Opt. Express 32 33483
Google Scholar
[27] Zhang Y Y, Chen X Y 2017 Phys. Rev. A 96 063821
Google Scholar
[28] Dicke R H 1954 Phys. Rev. 93 99
Google Scholar
[29] Kirton P, Roses M M, Keeling J, Dalla Torre E G 2019 Adv. Quantum Technol. 2 1970013
Google Scholar
[30] Emary C, Brandes T 2003 Phys. Rev. Lett. 90 044101
Google Scholar
[31] Lambert N, Emary C, Brandes T 2004 Phys. Rev. Lett. 92 073602
Google Scholar
[32] 俞立先, 梁奇锋, 汪丽蓉, 朱士群 2014 物理学报 63 134204
Google Scholar
Yu L X, Liang Q F, Wang L R, Zhu S Q 2014 Acta Phys. Sin. 63 134204
Google Scholar
[33] 赵秀琴, 张文慧, 王红梅 2024 物理学报 73 160302
Google Scholar
Zhao X Q, Zhang W H, Wang H M 2024 Acta Phys. Sin. 73 160302
Google Scholar
[34] Gyhm J Y, Safranek D, Rosa D 2022 Phys. Rev. Lett. 128 140501
Google Scholar
[35] Dou F Q, Lu Y Q, Wang Y J, Sun J A 2022 Phys. Rev. A 106 032212
Google Scholar
[36] 黄彬源, 贺志, 陈雨 2023 物理学报 72 180301
Google Scholar
Huang B Y, He Z, Chen Y 2023 Acta Phys. Sin. 72 180301
Google Scholar
[37] Seidov S S, Mukhin S I 2024 Phys. Rev. A 109 022210
Google Scholar
[38] Weiss U 1999 Quantum Dissipative Systems (Singapore: World Scientific) pp250, 251
[39] Chiacchio1 E I R, Nunnenkamp A, Brunelli M 2023 Phys. Rev. Lett. 131 113602
Google Scholar
[40] Mivehvar F 2024 Phys. Rev. Lett. 132 073602
Google Scholar
[41] Vivek G, Mondal D, Chakraborty S, Sinha S 2025 Phys. Rev. Lett. 134 113404
Google Scholar
[42] Gong Z P, Hamazaki R, Ueda M 2018 Phys. Rev. Lett. 120 040404
Google Scholar
[43] Jager S B, Giesen J M, Schneider I, Eggert S 2024 Phys. Rev. A 110 L010202
Google Scholar
[44] Kirton P, Keeling J 2018 New J. Phys. 20 015009
Google Scholar
[45] Strashko A, Kirton P, Keeling J 2018 Phys. Rev. Lett. 121 193601
Google Scholar
[46] Das P, Bhakuni D S, Sharma A 2023 Phys. Rev. A 107 043706
Google Scholar
[47] Chen X Y, Zhang Y Y, Chen Q H, Lin H Q 2024 Phys. Rev. A 110 063722
Google Scholar
[48] Buijsman1 W, Gritsev V, Sprik R 2017 Phys. Rev. Lett. 118 080601
Google Scholar
[49] Zhu X, Lu J H, Ning W, Shen L T, Wu F, Yang Z B 2024 Phys. Rev. A 109 052621
Google Scholar
[50] Senior J, Gubaydullin A, Karimi B, Peltonen J T, Ankerhold J, Pekola J P 2020 Commun. Phys. 3 40
Google Scholar
[51] Gubaydullin A, Thomas G, Golubev D S, Lvov D, Peltonen J T, Pekola J P 2022 Nat. Commun. 13 1552
Google Scholar
[52] Liu Y Q, Yang Y J, Yu C S, 2023 Phys. Rev. E 107 044121
Google Scholar
[53] Zhao X D, Xing Y, Cao J, Liu S T, Cui W X, Wang H F, 2023 npj Quantum Inf. 9 59
Google Scholar
[54] Lu J C, Wang R Q, Ren J, Kulkarni M, Jiang J H 2019 Phys. Rev. B 99 035129
Google Scholar
[55] Majland M, Christensen K S, Zinner N T 2020 Phys. Rev. B 101 184510
Google Scholar
[56] Wang C, Chen H, Liao J Q 2021 Phys. Rev. A 104 033701
Google Scholar
[57] Andolina G M, Erdman P A, Noe F, Pekola J, Schiro M 2024 Phys. Rev. Res. 6 043128
Google Scholar
[58] Beaudoin F, Gambetta J M, Blais A 2011 Phys. Rev. A 84 043832
Google Scholar
[59] Altintas F, Eryigit R 2013 Phys. Rev. A 87 022124
Google Scholar
[60] Le Boite A 2020 Adv. Quantum Technol. 3 1900140
Google Scholar
[61] Emary C, Brandes T 2003 Phys. Rev. E 67 066203
Google Scholar
[62] Li N B, Ren J, Wang L, Zhang G, Hanggi P, Li B 2012 Rev. Mod. Phys. 84 1045
Google Scholar
[63] Li B, Wang L, Casati G 2004 Phys. Rev. Lett. 93 184301
Google Scholar
[64] Zhang L F, Yan Y H, Wu C Q, Wang J S, Li B W 2009 Phys. Rev. B 80 172301
Google Scholar
-
图 1 (a), (b)各向异性Dicke模型和耦合谐振子模型的示意图, 其中光子和量子比特分别与各自热库相互作用; (c)方程(3)处的耦合振子哈密顿量在参数$ \omega_{\mathrm{a}}=1 $, $ \varepsilon=0.8\omega_{\mathrm{a}} $下的两个本征模; (d)在本征基矢下耦合振子系统与热库之间的非相干能量交换过程
Fig. 1. A schematic description of (a) anisotropic Dicke model and (b) two-coupled-oscillator model, of which these quantum components, i.e., qubits and photons, individually interact with bosonic thermal reservoirs. (c) Two eigenmodes of two-coupled-oscillator Hamiltonian at Eq. (3) with $ \omega_{\mathrm{a}}=1 $, $ \varepsilon=0.8\omega_{\mathrm{a}} $. (d) Incoherent energy exchange processes between the two-coupled-oscillator system in the eigen-basis and the thermal reservoirs.
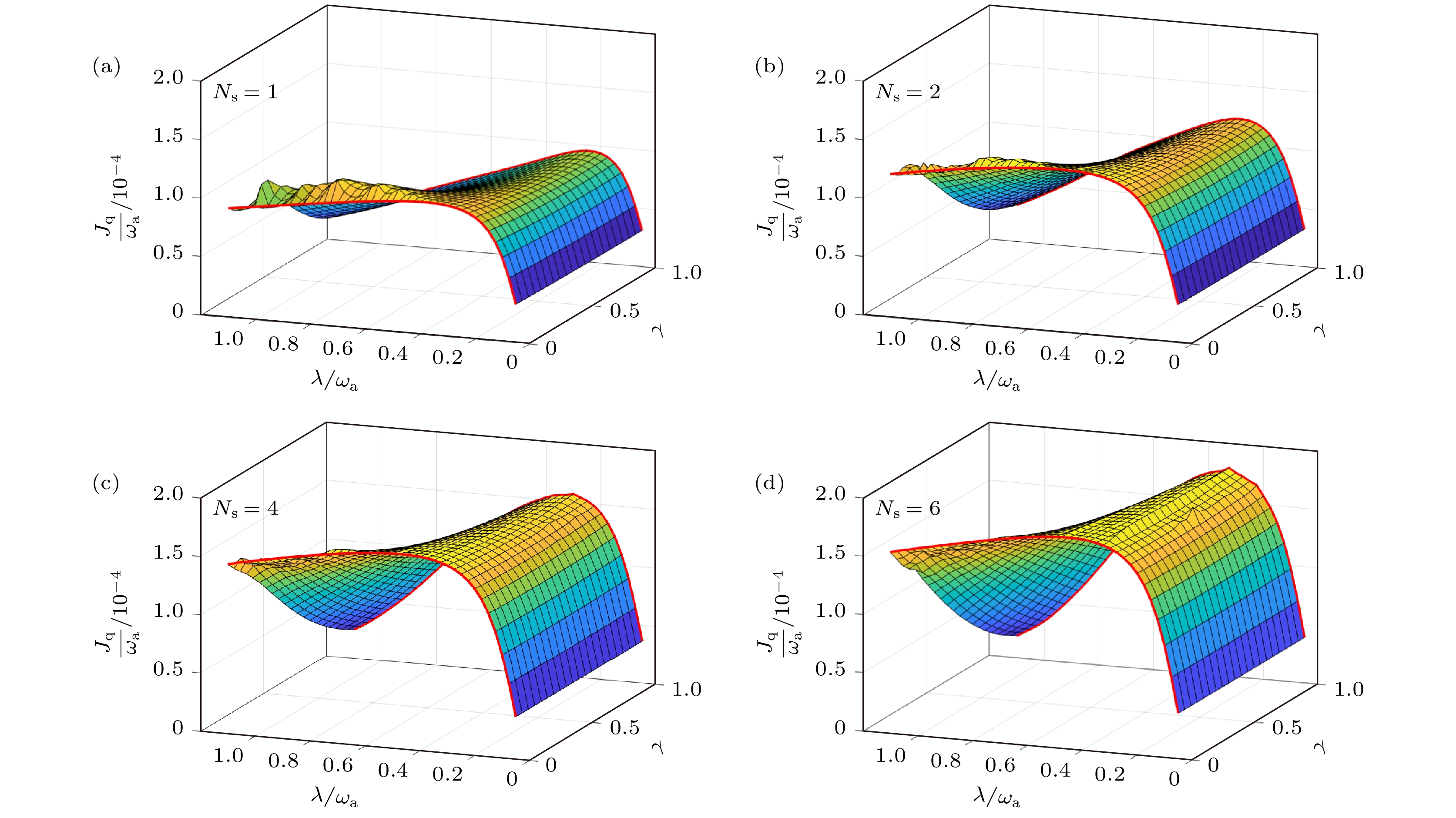
图 2 光子-量子比特耦合强度λ和各向异性系数γ对热流$ J_{\mathrm{q}} $的影响 (a) 单量子比特极限, 即$N_{\mathrm{s}}=1 $; (b) $ N_{\mathrm{s}}=2 $; (c) $ N_{\mathrm{s}}=4 $; (d) $ N_{\mathrm{s}}=6 $. 图中的红色线条代表$ \gamma=0 $与$ \gamma=1 $下的热流行为; 其他系统参数为$ \omega_{\mathrm{a}}=1 $, $ \varepsilon=0.8\omega_{\mathrm{a}} $, $ \omega_{\mathrm{c}}= 20\omega_{\mathrm{a }}$, $ \alpha_{\mathrm{r}}=\alpha_{\mathrm{q}}= $$ 0.001\omega_{\mathrm{a}} $, $ T_{\mathrm{r}}=1.2\omega_{\mathrm{a }}$和$ T_{\mathrm{q}}=0.6\omega_{\mathrm{a}} $
Fig. 2. Influences of qubit-photon coupling strength λ and anisotropic factor γ on steady state heat flow $ J_{\mathrm{q}} $ in (a) $ N_{\mathrm{s}}=1 $, and finite numbers of qubits (b) $ N_{\mathrm{s}}=2 $, (c) $ N_{\mathrm{s}}=4 $, and (d) $ N_{\mathrm{s}}=6 $. The redlines denote heat flows at $ \gamma=0 $ and $ \gamma=1 $ limiting cases. System parameters are given by $ \omega_{\mathrm{a}}=1 $, $ \varepsilon=0.8\omega_{\mathrm{a}} $, $ \omega_{\mathrm{c}}=20\omega_{\mathrm{a}} $, $ \alpha_{\mathrm{r}}=\alpha_{\mathrm{q}}=0.001\omega_{\mathrm{a }}$, $ T_{\mathrm{r}}=1.2\omega_{\mathrm{a}} $, and $ T_{\mathrm{q}}=0.6\omega_{\mathrm{a}} $.
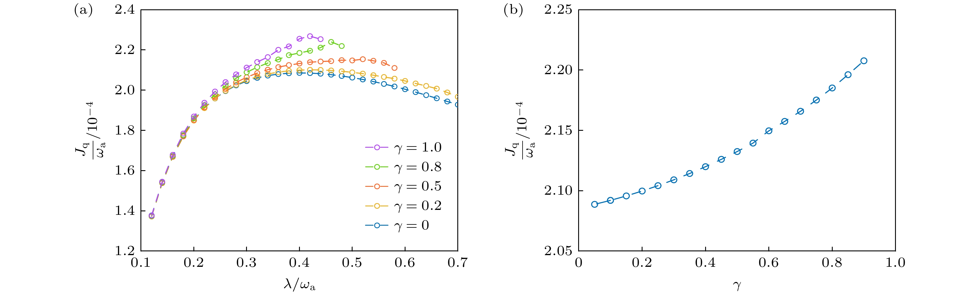
图 3 (a)非平衡耦合谐振子中热流在各向异性系数下的行为; (b)各向异性系数在$ \lambda/\omega_{\mathrm{a}}=0.4 $时对热流的影响. 其他系统参数为$ \omega_{\mathrm{a}}=1 $, $ \varepsilon=0.8\omega_{\mathrm{a}} $, $ \omega_{\mathrm{c}}=20\omega_{\mathrm{a }}$, $ \alpha_{\mathrm{r}}=\alpha_{\mathrm{q}}=0.001\omega_{\mathrm{a}} $, $ T_{\mathrm{r}}=1.2\omega_{\mathrm{a}} $和$ T_{\mathrm{q}}=0.6\omega_{\mathrm{a }}$
Fig. 3. (a) Steady-state heat flow of the nonequilibrium two-coupled-oscillator model by tuning the qubit-photon interaction strength with various anisotropic factors; (b) the influence of anisotropic factor on the heat flow at $ \lambda/\omega_{\rm a}=0.4 $. Other system parameters are given by $ \omega_{\mathrm{a}}=1 $, $ \varepsilon=0.8\omega_{\mathrm{a}} $, $ \omega_{\mathrm{c}}=20\omega_{\mathrm{a }}$, $ \alpha_{\mathrm{r}}=\alpha_{\mathrm{q}}=0.001\omega_{\mathrm{a}} $, $ T_{\mathrm{r}}=1.2\omega_{\mathrm{a}} $, and $ T_{\mathrm{q}}=0.6\omega_{\mathrm{a }}$.
图 4 $ N_{\mathrm{s}}=2 $时, (a) $ \gamma=0.2 $, (b) $ \gamma=0.5 $和(c) $ \gamma=0.8 $下量子比特-光子耦合强度λ和温度偏差$ \varDelta{T} $对热整流因子$ {\cal{R}} $的影响. $ T_{\mathrm{r}}=T_0+{\varDelta}T/2 $, $ T_{\mathrm{q}}=T_0-{\varDelta}T/2 $且$ T_0=\omega_{\mathrm{a}} $. 在(d) $ N_{\mathrm{s}}=2 $, (e) $ N_{\mathrm{s}}=4 $和(f)$ N_{\mathrm{s}}=6 $下$ {\cal{R}} $的最大值与λ和γ的关系. 其他系统参数为$ \omega_{\mathrm{a}}=1 $, $ \varepsilon=0.8\omega_{\mathrm{a }}$, $ \omega_{\mathrm{c}}=20\omega_{\mathrm{a}} $和$ \alpha_{\mathrm{r}}=\alpha_{\mathrm{q}}=0.001\omega_{\mathrm{a}} $
Fig. 4. Thermal rectification factor $ {\cal{R}} $ by tuning qubit-photon coupling strength λ and temperature bias $ \varDelta{T} $ ($ T_{\mathrm{r}}=T_0+{\varDelta}T/2 $, $ T_{\mathrm{q}}=T_0-{\varDelta}T/2 $, and $ T_0=\omega_{\mathrm{a}} $) with $ N_{\mathrm{s}}=2 $ at (a) $ \gamma=0.2 $, (b) $ \gamma=0.5 $, and (c) $ \gamma=0.8 $. Maximal value of $ {\cal{R}} $ by searching over the temperature bias as a function of λ and γ with (d) $ N_{\mathrm{s}}=2 $, (e) $ N_{\mathrm{s}}=4 $, and (f) $ N_{\mathrm{s}}=6 $. Other system parameters are given by $ \omega_{\mathrm{a}}=1 $, $ \varepsilon=0.8\omega_{\mathrm{a}} $, $ \omega_{\mathrm{c}}=20\omega_{\mathrm{a}} $, and $ \alpha_{\mathrm{r}}=\alpha_{\mathrm{q}}=0.001\omega_{\mathrm a} $.
-
[1] Cohen-Tannoudji C, Dupont-Roc J, Grynberg G 1998 Atom-Photon Interactions: Basic Processes and Applications (New Jersey: Wiley-VCH) pp15–19
[2] Scully M O, Zubairy M S 1997 Quantum Optics (Cambridge: Cambridge University Press) pp193–219
[3] Haroche S, Brune M, Raimond J M 2020 Nat. Phys. 16 243
Google Scholar
[4] Kurizki G, Bertet P, Kubo Y, Molmer K, Petrosyan D, Rabl P, Schmiedmayer J 2015 PNAS 112 3866
Google Scholar
[5] Gonzalez-Tudela A, Reiserer A, Garcia-Ripoll J J, Garcia-Vidal F J 2024 Nat. Rev. Phys. 6 166
Google Scholar
[6] Ronzani A, Karimi B, Senior J, Chang Y C, Peltonen J T, Chen C D, Pekola J P 2018 Nat. Phys. 14 991
Google Scholar
[7] Pekola J P, Karimi B 2021 Rev. Mod. Phys. 93 041001
Google Scholar
[8] Jaynes E T, Cummings F W 1963 Proc. IEEE 51 89
Google Scholar
[9] Greentree A D, Koch J, Larson J 2013 J. Phys. B 46 220201
Google Scholar
[10] Blais A, Girvin S M, Oliver W D 2020 Nat. Phys. 16 247
Google Scholar
[11] Blais A, Grimsmo A L, Girvin S M, Wallraff A 2021 Rev. Mod. Phys. 93 025005
Google Scholar
[12] Petersson K D, McFaul L W, Schroer M D, Jung M, Taylor J M, Houck A A, Petta J R 2012 Nature 490 380
Google Scholar
[13] Lin T, Li H O, Cao G, Guo G P 2023 Chin. Phys. B 32 070307
Google Scholar
[14] Jaako T, Garcia-Ripoll J J, Rabl P 2020 Adv. Quantum Technol. 3 1900125
Google Scholar
[15] Cai M L, Liu Z D, Zhao W D, Wu Y K, Mei Q X, Jiang Y, He L, Zhang X, Zhou Z C, Duan L M 2021 Nat. Commun. 12 1126
Google Scholar
[16] Rabi I I 1936 Phys. Rev. 49 324
Google Scholar
[17] Rabi I I 1937 Phys. Rev. 51 652
Google Scholar
[18] Braak D 2011 Phys. Rev. Lett. 107 100401
Google Scholar
[19] Braak D, Chen Q H, Batchelor M T, Solano E 2016 J. Phys. A 49 300301
Google Scholar
[20] Xie Q T, Cui S, Cao J P, Amico L, Fan H 2014 Phys. Rev. X 4 021046
Google Scholar
[21] Lyu G T, Kottmann K, Plenio M B, Myung-Joong H 2024 Phys. Rev. Res. 6 033075
Google Scholar
[22] Lu J H, Ning W, Zhu X, Wu F, Shen L T, Yang Z B, Zheng S B 2022 Phys. Rev. A 106 062616
Google Scholar
[23] Zhu X, Lu J H, Ning W, Wu F, Shen L T, Yang Z B, Zheng S B 2023 Sci. China Phys. Mech. Astron. 66 250313
Google Scholar
[24] Chen Z H, Che H X, Chen Z K, Wang C, Ren J 2022 Phys. Rev. Res. 4 013152
Google Scholar
[25] Ye T, Wang C, Chen Q H 2023 Physica A 609 128364
Google Scholar
[26] Ye T, Wang C, Chen Q H 2024 Opt. Express 32 33483
Google Scholar
[27] Zhang Y Y, Chen X Y 2017 Phys. Rev. A 96 063821
Google Scholar
[28] Dicke R H 1954 Phys. Rev. 93 99
Google Scholar
[29] Kirton P, Roses M M, Keeling J, Dalla Torre E G 2019 Adv. Quantum Technol. 2 1970013
Google Scholar
[30] Emary C, Brandes T 2003 Phys. Rev. Lett. 90 044101
Google Scholar
[31] Lambert N, Emary C, Brandes T 2004 Phys. Rev. Lett. 92 073602
Google Scholar
[32] 俞立先, 梁奇锋, 汪丽蓉, 朱士群 2014 物理学报 63 134204
Google Scholar
Yu L X, Liang Q F, Wang L R, Zhu S Q 2014 Acta Phys. Sin. 63 134204
Google Scholar
[33] 赵秀琴, 张文慧, 王红梅 2024 物理学报 73 160302
Google Scholar
Zhao X Q, Zhang W H, Wang H M 2024 Acta Phys. Sin. 73 160302
Google Scholar
[34] Gyhm J Y, Safranek D, Rosa D 2022 Phys. Rev. Lett. 128 140501
Google Scholar
[35] Dou F Q, Lu Y Q, Wang Y J, Sun J A 2022 Phys. Rev. A 106 032212
Google Scholar
[36] 黄彬源, 贺志, 陈雨 2023 物理学报 72 180301
Google Scholar
Huang B Y, He Z, Chen Y 2023 Acta Phys. Sin. 72 180301
Google Scholar
[37] Seidov S S, Mukhin S I 2024 Phys. Rev. A 109 022210
Google Scholar
[38] Weiss U 1999 Quantum Dissipative Systems (Singapore: World Scientific) pp250, 251
[39] Chiacchio1 E I R, Nunnenkamp A, Brunelli M 2023 Phys. Rev. Lett. 131 113602
Google Scholar
[40] Mivehvar F 2024 Phys. Rev. Lett. 132 073602
Google Scholar
[41] Vivek G, Mondal D, Chakraborty S, Sinha S 2025 Phys. Rev. Lett. 134 113404
Google Scholar
[42] Gong Z P, Hamazaki R, Ueda M 2018 Phys. Rev. Lett. 120 040404
Google Scholar
[43] Jager S B, Giesen J M, Schneider I, Eggert S 2024 Phys. Rev. A 110 L010202
Google Scholar
[44] Kirton P, Keeling J 2018 New J. Phys. 20 015009
Google Scholar
[45] Strashko A, Kirton P, Keeling J 2018 Phys. Rev. Lett. 121 193601
Google Scholar
[46] Das P, Bhakuni D S, Sharma A 2023 Phys. Rev. A 107 043706
Google Scholar
[47] Chen X Y, Zhang Y Y, Chen Q H, Lin H Q 2024 Phys. Rev. A 110 063722
Google Scholar
[48] Buijsman1 W, Gritsev V, Sprik R 2017 Phys. Rev. Lett. 118 080601
Google Scholar
[49] Zhu X, Lu J H, Ning W, Shen L T, Wu F, Yang Z B 2024 Phys. Rev. A 109 052621
Google Scholar
[50] Senior J, Gubaydullin A, Karimi B, Peltonen J T, Ankerhold J, Pekola J P 2020 Commun. Phys. 3 40
Google Scholar
[51] Gubaydullin A, Thomas G, Golubev D S, Lvov D, Peltonen J T, Pekola J P 2022 Nat. Commun. 13 1552
Google Scholar
[52] Liu Y Q, Yang Y J, Yu C S, 2023 Phys. Rev. E 107 044121
Google Scholar
[53] Zhao X D, Xing Y, Cao J, Liu S T, Cui W X, Wang H F, 2023 npj Quantum Inf. 9 59
Google Scholar
[54] Lu J C, Wang R Q, Ren J, Kulkarni M, Jiang J H 2019 Phys. Rev. B 99 035129
Google Scholar
[55] Majland M, Christensen K S, Zinner N T 2020 Phys. Rev. B 101 184510
Google Scholar
[56] Wang C, Chen H, Liao J Q 2021 Phys. Rev. A 104 033701
Google Scholar
[57] Andolina G M, Erdman P A, Noe F, Pekola J, Schiro M 2024 Phys. Rev. Res. 6 043128
Google Scholar
[58] Beaudoin F, Gambetta J M, Blais A 2011 Phys. Rev. A 84 043832
Google Scholar
[59] Altintas F, Eryigit R 2013 Phys. Rev. A 87 022124
Google Scholar
[60] Le Boite A 2020 Adv. Quantum Technol. 3 1900140
Google Scholar
[61] Emary C, Brandes T 2003 Phys. Rev. E 67 066203
Google Scholar
[62] Li N B, Ren J, Wang L, Zhang G, Hanggi P, Li B 2012 Rev. Mod. Phys. 84 1045
Google Scholar
[63] Li B, Wang L, Casati G 2004 Phys. Rev. Lett. 93 184301
Google Scholar
[64] Zhang L F, Yan Y H, Wu C Q, Wang J S, Li B W 2009 Phys. Rev. B 80 172301
Google Scholar
计量
- 文章访问数: 2240
- PDF下载量: 44
- 被引次数: 0








下载: