-
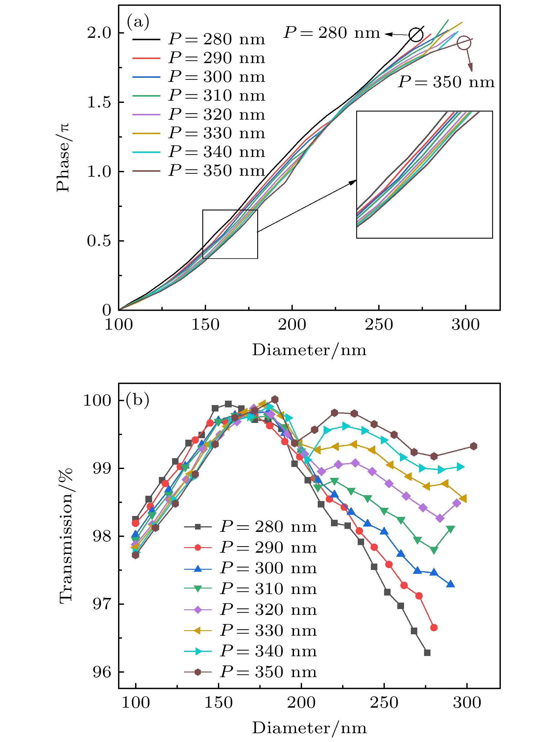
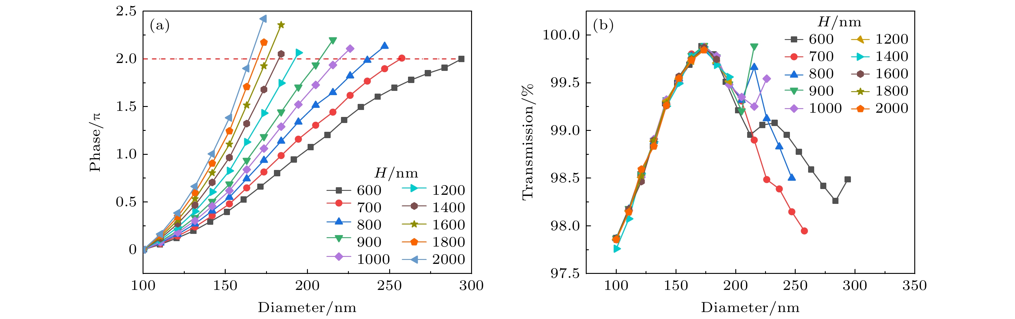
基于平面光学器件的超表面全息图因其在实现光学器件和系统微型化方面的潜力而受到广泛关注. 然而, 传统同轴全息术中固有的零级衍射和双像效应会显著降低成像质量, 限制其在实际应用中的推广. 相比之下, 离轴超表面全息成像具有显著优势. 在离轴超表面全息的设计过程中, 不同周期的单元结构会导致全息图在成像过程中产生图像位置偏移的现象. 为此, 本文研究了单元结构周期对离轴全息成像位置的影响. 采用高透过率的二氧化硅作为基底材料, 以二氧化钛作为相位调控单元, 设计工作波长为635 nm. 数值模拟结果表明, 随着单元结构周期的增加, 全息像的中心位置逐渐靠近成像面的中心区域. 在该设计方案中, 当周期设定为 324 nm时, 全息像能够成像于预设位置. 此外, 分别对不同离轴角度和单元结构高度构建的超表面全息图进行数值模拟分析发现, 成像位置均位于设计位置处, 说明成像位置主要受周期影响. 因此, 可以通过精确调控周期参数, 实现全息图像在预定位置的重建, 从而为高精度全息成像系统设计提供理论依据.Metasurface holography based on planar optical devices has attracted considerable attention due to its potential for miniaturizing optical components and systems. However, traditional on-axis holography has inherent zeroth-order diffraction and twin-image effects, which significantly degrade image quality and limit its practical applications. Off-axis metasurface holography, in contrast, provides a promising solution to overcoming these limitations. In this work, we design a metasurface hologram composed of titanium dioxide (TiO2) nanopillars on a silicon dioxide (SiO2) substrate, by using the high refractive index and low optical loss of TiO2 in the visible light range to achieve efficient phase control. The unit cell height is set to 600 nm to ensure sufficient phase accumulation, and the working wavelength is 635 nm. The hologram is constructed by mapping the continuous 0–2π phase distribution obtained from computational holography onto the unit cell array, and changing the nanopillar diameter to achieve full phase coverage. We systematically investigate the effect of the unit cell period on the imaging position in off-axis holography. Numerical simulations show that as the period increases from 280 nm to 350 nm, the center of the holographic image gradually shifts toward the center of the image plane. The optimal period is found to be 324 nm, at which the image is reconstructed precisely at the designed position. Further simulations using different off-axis angles (0°–45°) and nanopillar heights (600–2000 nm) confirm that the imaging position remains fixed at the target location, indicating that it is mainly determined by the unit cell period rather than other structural parameters. These results demonstrate that by carefully selecting the unit cell period, the holographic image can be accurately reconstructed at a predetermined positions with high image quality, providing theoretical guidance for designing high-precision off-axis metasurface holographic imaging systems.
-
Keywords:
- metasurface /
- off-axis hologram /
- unit cell period
[1] Thureja P, Shirmanesh G K, Fountaine K T, Sokhoyan R, Grajower M, Atwater H A 2020 ACS Nano 14 15042
Google Scholar
[2] Su D E, Wang X W, Shang G Y, Ding X M, Burokur S N, Liu J, Li H Y 2022 J. Phys. D: Appl. Phys. 23 5102
Google Scholar
[3] High A A, Devlin R C, Dibos A, Polking M, Wild D S, Perczel J, Leon N P, Lukin M D, Park H 2015 Nature 522 192
Google Scholar
[4] Wang Z H, Zhu Y C, Zhou S, Guo W H, Liu Y, He C, Bai M Y, Liu W G 2024 Infrared Phys. Techn. 142 105521
Google Scholar
[5] Yuan Y Y, Sun S, Chen Y, Zhang K, Ding X M, Ratni B, Wu Q, Burokur S N, Qiu C W 2020 Adv. Sci. 7 2001437
Google Scholar
[6] Yue Z, Li J T, Zheng C L, Li J, Chen M Y, Hao X R, Xu H, Wang Q, Zhang Y T, Yao J Q 2022 Chin. Opt. Lett. 20 043601
Google Scholar
[7] Yuan Y Y, Zhang K, Ratni B, Song Q H, Ding X M, Wu Q, Burokur S N, Genevet P 2020 Nat. Commun. 11 4186
Google Scholar
[8] 徐平, 肖钰斐, 黄海漩, 杨拓, 张旭琳, 袁霞, 李雄超, 王梦禹, 徐海东 2021 物理学报 70 084201
Google Scholar
Xu P, Xiao Y F, Huang H X, Yang T, Zhang X L, Yuan X, Li X C, Wang M Y, Xu H D 2021 Acta Phys. Sin. 70 084201
Google Scholar
[9] Ren H R, Fang X Y, Jang J, Bürger J, Rho J, Maier S A 2020 Nat. Nanotechnol. 15 948
Google Scholar
[10] Ni X J, Kildishev A V, Shalaev V M 2013 Nat. Commun. 4 2807
Google Scholar
[11] Ji R N, Zheng X R, Li Y L, Xie X, Lin F C, Liu C, Zheng Y W, Yu P Q, Li X R, Song K, Li Z F, Lu W, Zhang S, Wang S W, Wang D, Wang Q H 2025 Laser Photonics Rev. 19 e00398
Google Scholar
[12] Pu X X, Sun X P, Ge S B, Cheng J, Zhou S, Liu W G 2022 Micromachines-Basel. 13 1956
Google Scholar
[13] Wang Q, Zhang X Q, Xu Y H, Gu J Q, Li Y F, Tian Z, Singh R , Zhang S , Han J G, Zhang W L 2016 Sci. Rep 6 32867
Google Scholar
[14] Liu K F, Chen Q M, Liu Y L, Song S C, Zhang H M, Shi L T, He M Y, Xiao S Q, Xiao S M, Zhang X H 2024 Appl. Phys. Lett. 125 041703
Google Scholar
[15] Zhao W Y, Liu B Y, Jiang H, Song J, Pei Y B, Jiang Y Y 2016 Opt. Lett. 41 147
Google Scholar
[16] Li X, Chen L W, Li Y, Zhang X H, Pu M B, Zhao Z Y 2016 Sci. Adv. 2 e1600892
Google Scholar
[17] Li X, Chen L W, Li Y, Zhang X H, Pu M B, Zhao Z Y, Ma X I, Wang Y Q, Hong M H, Luo X A 2016 Sci. Adv. 2 e1601102
Google Scholar
[18] Malek S C, Ee H S, Agarwal R 2016 Nano Lett. 16 5053
Google Scholar
[19] Li Z, Kim I, Zhang L, Mehmood M Q, Anwar M S, Saleem M, Lee D, Nam K T, Zhang S, Luk’yanchuk B S, Wang Y, Zheng G X, Rho J, Qiu C W 2017 ACS Nano 11 9382
Google Scholar
[20] Zheng G X, Mühlenbernd H, Kenney M, Li G X, Zentgraf T, Zhang S 2015 Nat. Nanotechnol. 10 308
Google Scholar
[21] Gao F, Zhou X, Lu L T, Deng J, Yan B 2023 Results Phys. 52 106925
Google Scholar
[22] Bao Y J, Yu Y, Xu H F, Guo C, Li J T, Sun S, Zhou Z K, Qiu C W, Wang X H 2019 Light Sci. Appl. 8 95
Google Scholar
[23] Noh J, Kim J, Rho J 2024 Nano Lett. 25 11398
Google Scholar
[24] Gopakumar M, Lee G Y, Choi S, Chao B, Peng Y F, Kim J, Wetzstein G 2024 Nature 629 791
Google Scholar
[25] Guo W H, Pu X X, Zhu Y C, Wang Z H, Sun X P, Liu Y, Zhou S, Ge S B, Hang L Y, Liu W G 2025 Opt. Commun. 535 130015
Google Scholar
-
图 4 (a)—(h) 单元结构周期分别为280, 290, 300, 310, 320, 330, 340, 350 nm时的全息图数值模拟结果; (i) 不同周期对应的全息图像中心坐标; (j) 全息像中心坐标x和y与单元结构周期变化关系拟合曲线
Fig. 4. (a)—(h) Numerical simulation results of holography images with the unit cell periods of 280, 290, 300, 310, 320, 330, 340, and 350 nm; (i) centre coordinates of holographic images corresponding to different periods; (j) fitted curves of the dependence of the holographic image center coordinates x and y on the unit cell period.
图 5 (a)—(j) 单元结构周期分别为310, 312, 314, 316, 318, 320, 322, 324, 326, 328 nm时的全息图数值模拟结果; (k) 全息像中心坐标x和y与单元结构周期变化关系拟合曲线
Fig. 5. (a)—(j) Numerical simulation results of holography images with the unit cell periods of 310, 312, 314, 316, 318, 320, 322, 324, 326 and 328 nm; (k) fitted curves of the dependence of the holographic image center coordinates x and y on the unit cell period.
图 7 数值模拟单元结构周期P分别为310, 316, 324, 330 nm时的电场强度分布 (a)—(d) 纳米柱直径D = 100 nm; (e)—(h) 纳米柱满足2π相位时最大直径
Fig. 7. Electric field intensity distributions from numerical simulations for unit cell periods P = 310, 316, 324, and 330 nm: (a)–(d) The nanopillar diameter D = 100 nm; (e)–(h) the maximum nanopillar diameter at 2π phase.
-
[1] Thureja P, Shirmanesh G K, Fountaine K T, Sokhoyan R, Grajower M, Atwater H A 2020 ACS Nano 14 15042
Google Scholar
[2] Su D E, Wang X W, Shang G Y, Ding X M, Burokur S N, Liu J, Li H Y 2022 J. Phys. D: Appl. Phys. 23 5102
Google Scholar
[3] High A A, Devlin R C, Dibos A, Polking M, Wild D S, Perczel J, Leon N P, Lukin M D, Park H 2015 Nature 522 192
Google Scholar
[4] Wang Z H, Zhu Y C, Zhou S, Guo W H, Liu Y, He C, Bai M Y, Liu W G 2024 Infrared Phys. Techn. 142 105521
Google Scholar
[5] Yuan Y Y, Sun S, Chen Y, Zhang K, Ding X M, Ratni B, Wu Q, Burokur S N, Qiu C W 2020 Adv. Sci. 7 2001437
Google Scholar
[6] Yue Z, Li J T, Zheng C L, Li J, Chen M Y, Hao X R, Xu H, Wang Q, Zhang Y T, Yao J Q 2022 Chin. Opt. Lett. 20 043601
Google Scholar
[7] Yuan Y Y, Zhang K, Ratni B, Song Q H, Ding X M, Wu Q, Burokur S N, Genevet P 2020 Nat. Commun. 11 4186
Google Scholar
[8] 徐平, 肖钰斐, 黄海漩, 杨拓, 张旭琳, 袁霞, 李雄超, 王梦禹, 徐海东 2021 物理学报 70 084201
Google Scholar
Xu P, Xiao Y F, Huang H X, Yang T, Zhang X L, Yuan X, Li X C, Wang M Y, Xu H D 2021 Acta Phys. Sin. 70 084201
Google Scholar
[9] Ren H R, Fang X Y, Jang J, Bürger J, Rho J, Maier S A 2020 Nat. Nanotechnol. 15 948
Google Scholar
[10] Ni X J, Kildishev A V, Shalaev V M 2013 Nat. Commun. 4 2807
Google Scholar
[11] Ji R N, Zheng X R, Li Y L, Xie X, Lin F C, Liu C, Zheng Y W, Yu P Q, Li X R, Song K, Li Z F, Lu W, Zhang S, Wang S W, Wang D, Wang Q H 2025 Laser Photonics Rev. 19 e00398
Google Scholar
[12] Pu X X, Sun X P, Ge S B, Cheng J, Zhou S, Liu W G 2022 Micromachines-Basel. 13 1956
Google Scholar
[13] Wang Q, Zhang X Q, Xu Y H, Gu J Q, Li Y F, Tian Z, Singh R , Zhang S , Han J G, Zhang W L 2016 Sci. Rep 6 32867
Google Scholar
[14] Liu K F, Chen Q M, Liu Y L, Song S C, Zhang H M, Shi L T, He M Y, Xiao S Q, Xiao S M, Zhang X H 2024 Appl. Phys. Lett. 125 041703
Google Scholar
[15] Zhao W Y, Liu B Y, Jiang H, Song J, Pei Y B, Jiang Y Y 2016 Opt. Lett. 41 147
Google Scholar
[16] Li X, Chen L W, Li Y, Zhang X H, Pu M B, Zhao Z Y 2016 Sci. Adv. 2 e1600892
Google Scholar
[17] Li X, Chen L W, Li Y, Zhang X H, Pu M B, Zhao Z Y, Ma X I, Wang Y Q, Hong M H, Luo X A 2016 Sci. Adv. 2 e1601102
Google Scholar
[18] Malek S C, Ee H S, Agarwal R 2016 Nano Lett. 16 5053
Google Scholar
[19] Li Z, Kim I, Zhang L, Mehmood M Q, Anwar M S, Saleem M, Lee D, Nam K T, Zhang S, Luk’yanchuk B S, Wang Y, Zheng G X, Rho J, Qiu C W 2017 ACS Nano 11 9382
Google Scholar
[20] Zheng G X, Mühlenbernd H, Kenney M, Li G X, Zentgraf T, Zhang S 2015 Nat. Nanotechnol. 10 308
Google Scholar
[21] Gao F, Zhou X, Lu L T, Deng J, Yan B 2023 Results Phys. 52 106925
Google Scholar
[22] Bao Y J, Yu Y, Xu H F, Guo C, Li J T, Sun S, Zhou Z K, Qiu C W, Wang X H 2019 Light Sci. Appl. 8 95
Google Scholar
[23] Noh J, Kim J, Rho J 2024 Nano Lett. 25 11398
Google Scholar
[24] Gopakumar M, Lee G Y, Choi S, Chao B, Peng Y F, Kim J, Wetzstein G 2024 Nature 629 791
Google Scholar
[25] Guo W H, Pu X X, Zhu Y C, Wang Z H, Sun X P, Liu Y, Zhou S, Ge S B, Hang L Y, Liu W G 2025 Opt. Commun. 535 130015
Google Scholar
计量
- 文章访问数: 464
- PDF下载量: 11
- 被引次数: 0








下载: