搜索

x

留言板

尊敬的读者、作者、审稿人, 关于本刊的投稿、审稿、编辑和出版的任何问题, 您可以本页添加留言。我们将尽快给您答复。谢谢您的支持!

姓名
邮箱
手机号码
标题
留言内容
验证码
引用本文:
Citation:

SLEGS伽马活化数据的获取及应用

杨宇萱, 张岳, 孙乾坤, 李志才, 王宏伟, 范功涛, 赵维娟, 郝子锐, 刘龙祥, 许杭华, 焦普, 金晟, 陈开杰, 王振伟, 周梦蝶, 徐孟轲, 王向飞, 谌雨龙, 丁嘉文

Research on the measurement and application of SLEGS gamma activation analysis

YANG Yuxuan, ZHANG Yue, SUN Qiankun, LI Zhicai, WANG Hongwei, FAN Gongtao, ZHAO Weijuan, HAO Zirui, LIU Longxiang, XU Hanghua, JIAO Pu, JIN Sheng, CHEN Kaijie, WANG Zhenwei, ZHOU Mengdie, XU Mengke, WANG Xiangfei, SHEN Yulong, DING Jiawen
Article Text (iFLYTEK Translation)
PDF
HTML
导出引用
在线预览
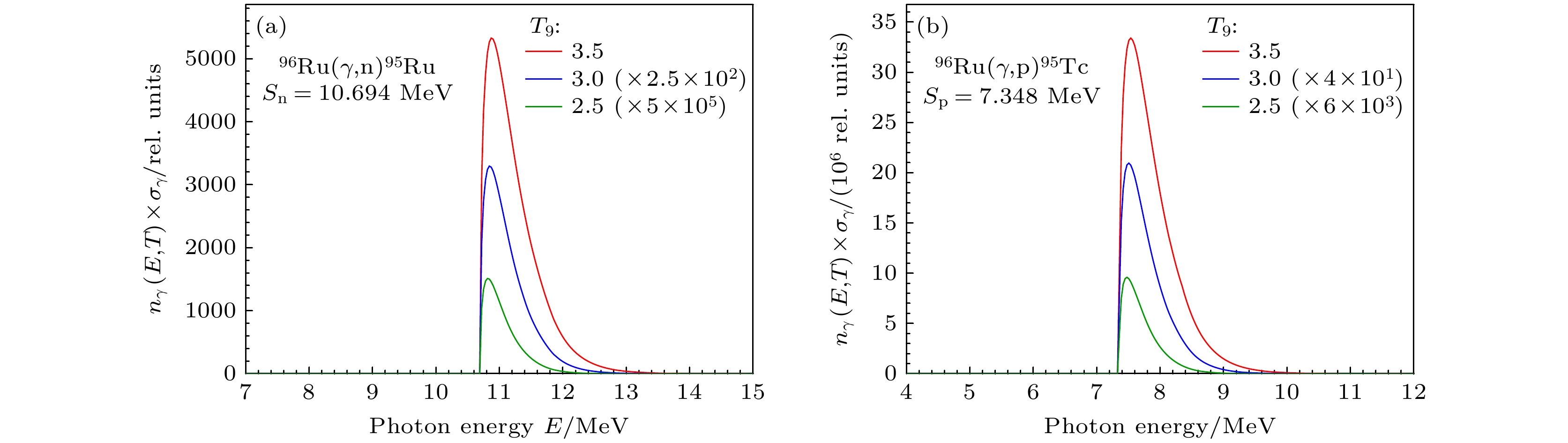
  • 伽马活化分析(光子活化分析)是一种有效的元素分析技术, 特别是对原子序数较小的轻元素和一些对热中子活化分析不灵敏的元素具有优势, 上海激光电子伽马源(Shanghai Laser Electron Gamma Source, SLEGS)光束线站的建成为在国内开展伽马活化分析及获取伽马活化数据提供有利条件. 伽马活化数据源于对光核反应生成的短寿命放射性核的退激发特征伽马射线的测量, 从而得到母核的种类和活度等信息. 伽马活化分析技术依赖于伽马源与低本底伽马射线测量装置, 具有数据处理高效、结果分析便捷的特点. 本文介绍了SLEGS束线站的伽马活化数据测量设备和伽马活化实验数据的获取及分析. 基于伽马活化数据分析, 对SLEGS束流流强测量及核天体物理中的光核反应开展了实验研究, 以及未来开展特征核素识别及科技考古等工作的展望, 伽马活化数据的应用范围和涉及领域日益扩大. 本文提供了低本底伽马测量数据及部分伽马活化测量数据, 本文数据集可在https://doi.org/10.57760/sciencedb.j00213.00194中访问获取.
    Gamma activation analysis (GAA) represents a powerful elemental analysis technique, particularly suitable for light elements and those insensitive to thermal neutron activation. The establishment of the Shanghai Laser Electron Gamma Source (SLEGS) beamline has provided a unique platform in China for conducting advanced gamma activation studies using quasi-monochromatic gamma beams and obtaining high-precision nuclear data. This paper systematically presents the gamma activation data measurement methodology and experimental setup developed at the SLEGS beamline, while demonstrating its specific applications and significant achievements in beam diagnostics and nuclear astrophysics research. As is shown in the overall workflow in Fig. 10.The study was conducted at the SLEGS beamline. SLEGS generates tunable quasi-monochromatic gamma beams in the energy range of 0.66–21.7 MeV through inverse Compton scattering mode between a 3.5 GeV electron beam and a 10.64 μm CO2 laser (see experimental layout in Figure 1). The experimental procedure began with the online irradiation of target samples (e.g., natural abundance Au, Zn and Ru/Ga) to produce radioactive nuclei via photonuclear reactions. During irradiation, beam monitoring was conducted using LaBr3(Ce) or BGO detectors alongside spectral unfolding. Subsequently, offline γ-ray spectroscopy was performed on the activated samples using shielded HPGe detectors. Based on these measurements, the reaction cross-sections were ultimately determined by analyzing characteristic gamma peaks in conjunction with beam parameters and detector efficiency data.Absolute calibration of SLEGS gamma beam intensity was successfully achieved using 197Au(γ, n)196Au and 64Zn(γ, n)63Zn reactions. The measured results agreed with online monitor data and Geant4 simulations within 10% uncertainty (Figure 6), validating activation as a reliable beam diagnostic tool. Key photonuclear reaction cross-sections relevant to p-process nucleosynthesis were measured. Using natural abundance Ru targets, preliminary quasi-monoenergetic cross-section data were obtained for 96Ru(γ, n)95Ru, 96Ru(γ, p)95Tc and 98Ru(γ, n)97Ru reactions (Figures 8(a), 8(b)). Systematic measurements of the 69Ga(γ, n)68Ga monoenergetic reaction cross-section were performed (Figures 8(c), 8(d)). The experimental data constrained parameters in the TALYS nuclear reaction model, enabling calculation of 69Ga(γ, n), (γ, p), and (γ, α) reaction rates over 1.5$\sim$10 GK temperature range (Figure 9). REACLIB-format parameters were derived for astrophysical network calculations. These experimental results provide crucial constraints for understanding the origin of p-nuclei.The study has successfully established a comprehensive and reliable gamma activation data acquisition and analysis platform at the SLEGS beamline of Shanghai Synchrotron Radiation Facility. Experimental results demonstrate that this platform can not only precisely calibrate gamma beam parameters but also conduct frontier fundamental research in nuclear astrophysics, particularly for measuring critical yet challenging p-process photonuclear reaction cross-sections. The obtained datasets hold significant importance for nuclear databases and astrophysical models. Looking forward, the SLEGS gamma activation platform will expand its applications to broader fields including characteristic nuclide identification, archaeometry, materials science, and medical isotope production.Low-background gamma data and partial gamma activation data were provided, which can be accessed in the dataset at: https://www.scidb.cn/s/RVRjEz.
  • 图 1  SLEGS束线站伽马活化实验布局示意图

    Fig. 1.  Schematic diagram of the SLEGS beamline and gamma activation Experimental layout.

    图 2  SLEGS伽马活化离线测量布局示意图

    Fig. 2.  Schematic diagram of the offline activation layout at the SLEGS beamline.

    图 3  (a)SLEGS的束流时间分布谱与(b)伽马活化时间谱示意图

    Fig. 3.  (a)Schematic diagram of the beam time distribution spectrum and (b)gamma activation time spectrum of SLEGS

    图 4  低本底屏蔽后测量天然本底能谱图(93小时)

    Fig. 4.  Natural background energy spectra after shielding (93 h)

    图 5  (a) LaBr3(Ce)探测器测量伽马束能谱(黑实线)、LCS伽马能谱(红实线)与轫致辐射(Brem)伽马能谱(蓝实线); (b) 实测能谱(蓝实线)与蒙特卡洛重建谱(红虚线)、解谱得到的入射伽马能谱(绿实线)

    Fig. 5.  (a) The measured gamma beam spectrum by the LaBr3(Ce) detector(black solid line), LCS gamma spectrum component(red solid line); Bremsstrahlung(Brem)gamma spectrum(blue solid line). (b) Measured spectrum (blue solid line), Monte Carlo reconstruction (red dashed line); Unfolded true γ-ray spectrum(green solid line).

    图 6  $ ^{197} {\rm{Au}}$、$ ^{64} {\rm{Zn}}$活化测量与LaBr3(Ce)直接测量、Geant4模拟流强结果对比

    Fig. 6.  Comparison of γ-ray beam flux results obtained from the $ ^{197} {\rm{Au}}$, $ ^{64} {\rm{Zn}}$ direct detection using LaBr3(Ce) scintillators, and Geant4 simulation results

    图 7  靶核基态伽莫夫窗口 (a) $ ^{96} {\rm{Ru}}$(γ, n), (b) $ ^{96} {\rm{Ru}}$(γ, p)

    Fig. 7.  Gamow window on the ground state of target nucleus (a) $ ^{96} {\rm{Ru}}$(γ, n), (b) $ ^{96} {\rm{Ru}}$ (γ, p)

    图 8  核天体物理相关的活化截面测量 (a, b) $ ^{Nat} {\rm{Ru}}$与(c, d) $ ^{Nat} {\rm{Ga}}$

    Fig. 8.  Activation cross section measurement of $ ^{Nat} {\rm{Ru}}$ (a, b) and $ ^{Nat} {\rm{Ga}}$ (c, d) in nuclear astrophysics

    图 9  $ ^{69} {\rm{Ga}}$的核天体反应率

    Fig. 9.  Astrophysical reaction rates of $ ^{69} {\rm{Ga}}$

    表 1  SSRF和SLEGS目前运行参数

    Table 1.  Operation parameters of SSRF and SLEGS

    Parameter Value Description
    E-beam configuration
    (ns/Bunch)
    2 SSRF
    E-beam energy (GeV) 3.5 SSRF
    E-beam current (mA) 180—210 Topup Mode
    CO2 Laser (μm) 10.64 Continue Mode
    Laser pulse width (μs) 50/950 On/Off
    Laser Power (W) 1—140 100 W, Average 5 W
    γ beam energy (MeV) 0.66—21.1, 21.7 20—160°, 180°
    γ beam spot (mm) 1—25 Selected by Collimator
    Energy Resolution 5—15% Resolution With Fine Collimator
    Total flux (γ/s) 4.8$ \times $$10 ^5 $—1.0$ \times $$10 ^7 $, 1.5$ \times $$10 ^7 $ 20—160°, 180°
    下载: 导出CSV

    表 2  ORTEC p型同轴高纯锗探测器参数

    Table 2.  ORTEC p-type coaxial high-purity germanium detector parameters

    ORTEC GEM-50195-P GEM-70200-P
    晶体直径(mm) 67.1 69.6
    晶体长度(mm) 65.5 90.1
    晶体死层(μm) 700 700
    铝窗厚度(mm) 1.0 1.0
    推荐高压(V) +2200 +2500
    出厂分辨 1.69 keV@1.33 MeV
    (0.13%)
    1.85 keV@1.33 MeV
    (0.14%)
    目前分辨 4.53 keV@1.33 MeV
    (0.34%)
    3.59 keV@1.33 MeV
    (0.27%)
    探测效率 55.2%@1.33 MeV 74.2%@1.33 MeV
    冷凝制冷 ${\rm{M}} \ddot{o} {\rm{bius}}$ LN-2
    下载: 导出CSV

    表 3  反应$ ^{69} {\rm{Ga}}$(γ, n)$ ^{68} {\rm{Ga}}$, $ ^{69} {\rm{Ga}}$(γ, p)$ ^{68} {\rm{Zn}}$及$ ^{69} {\rm{Ga}}$(γ, α)$ ^{65} {\rm{Cu}}$推荐的REACLIB参数

    Table 3.  Recommended REACLIB parameters for $ ^{69} {\rm{Ga}}$(γ, n)$ ^{68} {\rm{Ga}}$, $ ^{69} {\rm{Ga}}$(γ, p)$ ^{68} {\rm{Zn}}$ and $ ^{69} {\rm{Ga}}$(γ, α)$ ^{65} {\rm{Cu}}$

    Reaction $ a_0 $ $ a_1 $ $ a_2 $ $ a_3 $ $ a_4 $ $ a_5 $ $ a_6 $ 拟合误差
    (γ, n) 100.0 $ -100.0 $ $ -100.0 $ 24.17343 $ -8.81476 $ 0.86009 $ -6.64832 $ 9.07%
    (γ, p) $ -99.9999995 $ $ -95.31730 $ 47.22335 99.99999997 $ -8.88088 $ 0.44241 $ -13.29059 $ 0.00
    (γ, α) $ -100.0 $ $ -87.00958 $ 34.26290 100.0 $ -11.21949 $ 0.70231 $ -7.09431 $ 0.10%
    下载: 导出CSV
  • [1]

    Segebade C, Berger A 2008 Photon Activation Analysis (Encyclopedia of Analytical Chemistry R.A. Meyers (Ed.)

    [2]

    Segebade C, Starovoitova V N, Borgwardt T, Wells D 2017 J Radioanal Nucl Chem 312 443Google Scholar

    [3]

    Gaudin A M, Pannell J H Anal. Chem. 23 1261

    [4]

    Erhard M A 2013 Photoaktivierung des p-Kerns 92Mo am Bremsstrahlungsmessplatz von ELBE. Ph.D. Dissertation, Dresden, Techn. Univ., Diss., 2010

    [5]

    Avino P, Capannes G, Lopez F, Rosada, A 2013 Sci. World J. 458793 1

    [6]

    Tai R Z, Zhao Z T 2022 J. Phys.: Conf. Ser. 2380 012004Google Scholar

    [7]

    Tai R Z, Zhao Z T 2024 Nucl. Sci. Tech. 35 137Google Scholar

    [8]

    王宏伟, 范功涛, 刘龙祥, 曹喜光, 李薇, 张岳, 胡新荣, 李鑫祥, 王俊文, 鲁同所, 黄勃松, 郝子锐, 匡攀, 黄玉华 2020 原子核物理评论 37 53

    Wang H W, Fan G T, Liu L X, Cao X G, Li W, Zhang Y, Hu X R, Li X X, Wang J W, Lu T S, Huang B S, Hao Z R, Kuang P, Huang Y H 2020 Nucl. Phys. Rev. 37 53

    [9]

    Wang H W, Fan G T, Liu L X, Xu H H, Shen W Q, Ma Y G, Utsunomiya H, Song L L, Cao X G, Hao Z R, Chen K J, Jin S, Yang Y X, Hu X R, Li X X, Kuang P 2022 Nucl. Sci. Tech. 33 87Google Scholar

    [10]

    Liu L X, Wang H W, Fan G T, Xu H H, Zhang Y, Hao Z R, Li A G 2024 Nucl. Sci. Tech. 35 111Google Scholar

    [11]

    Hao Z R, Fan G T, Wang H W, Liu L X, Xu H H, Utsunomiya H, Cao X G, Xu B J, Song L L, Hu X R, Li X X, Yang Y X, Kuang P 2021 Nucl. Instrum. Methods Phys. Res. A 1013 165638Google Scholar

    [12]

    Z-R H, G-T F, H-W W, H-H X, L-X L, L-L S, X-R H, X-X L, P K, S J 2022 Nucl. Instrum. Methods Phys. Res. B 519 9Google Scholar

    [13]

    Xu H H, Fan G T, Wang H W, Utsunomiya H, Liu L X, Hao Z R, Wu H L, Song L L, Zhang Q L, Jiang B C, Hu X R, Li X X, Kuang P, Yang Y X, Jin S 2022 Nucl. Instrum. Methods Phys. Res. A 1033 166742Google Scholar

    [14]

    杨宇萱, 张岳, 赵维娟, 王宏伟, 范功涛, 许杭华, 刘龙祥, 郝子锐, 李志才, 金晟, 陈开杰, 焦普, 周梦蝶, 王振伟 2024 原子核物理评论 41 433

    YANG Y X, ZHANG Y, ZHAO W J, WANG H W, FAN G T, XU H H, LIU L X, HAO Z R, LI Z C, JIN S, CHEN K J, JIAO P, ZHOU M D, WANG Z W 2024 Nucl. Phys. Rev. 41 433

    [15]

    YANG Y X, ZHANG Y, LI Z C, HAO Z R, JIN S, CHEN K J, WANG Z W, SUN Q K, FAN G T, XU H H, LIU L X, ZHAO W J, WANG H W 2025 Nucl. Sci. Tech. 36 80Google Scholar

    [16]

    Li Z C, Yang Y, Cao Z W, Li X X, Yuan Y, Zhao Z Q, Fan G T, Wang H W, Luo W 2023 Nucl. Sci. Tech. 34 170Google Scholar

    [17]

    Li Z C, Yang Y X, Luo W, Fan G T, Wang H W, Liu L X, Hao Z R, Xu H H, Li X X, Yuan Y, Zhang Y, Jin S, Chen K J, Jiao P, Zhou M D, Wang Z W, Sun Q K, Ye S, Xu R R, He C Y 2025 Nucl. Instr. and Meth. B 559 165595Google Scholar

    [18]

    张昊, 张立勇, 何建军, 马余刚 2025 中国科学: 物理学力学天文学 55 250005

    Zhang H, Zhang L Y, He J J, Ma Y G 2025 Sci. Sin. Phys. Mech. Astron. 55 250005

    [19]

    Pang X, Sun B H, Zhu L H, Lu G H, Zhou H B, Yang D 2023 Nucl. Sci. Tech. 34 187Google Scholar

    [20]

    Yang Y X, Zhao W J, Cao X G, Wang H W, Fan G T, Liu L X, Xu H H, Hu X R, Li X X, Hao Z R, Jin S, Chen K J, Ma Y G 2024 Radiat. Phys. Chem. 218 111599Google Scholar

    [21]

    Sun Z J 2018 Nucl. Sci. Tech. 29 155Google Scholar

    [22]

    Liu L X, Utsunomiya H, Fan G T, Xu H H, Wang H W, Hao Z R, Zhang Y, He C Y, Jiao P, Ye S, Jin S, Chen K J, Yang Y X, Sun Q K, Wang Z W, Li Z C, Zhou M D, Lu X, Yang C, Lu F, Cao X G 2024 Nucl. Instrum. Methods Phys. Res., A 1063 169314Google Scholar

    [23]

    Hao Z R, Fan G T, Wang H W, Liu L X, Xu H H, Zhang Y, Yang Y X, Jin S, Chen K J, Li Z C, Jiao P, Sun Q K, Zhou M D, Ye S, Wang Z W, Shen W Q, Ma Y G 2025 Sci. Bull. 70 2591Google Scholar

    [24]

    Arnould M, Goriely S 2003 Phys. Rep. 384 1Google Scholar

    [25]

    Rayet M, Arnould M, Hashimoto M, Prantzos N, Nomoto K 1995 Astron. Astrophys. 298 517

    [26]

    Travaglio C, R?pke F, Gallino R, Hillebrandt W 2011 Astrophys. J. 739 93Google Scholar

    [27]

    Dietrich S S, Berman B L 1988 At. Data Nucl. Data Tables 38 199Google Scholar

    [28]

    Vogt K, Mohr P, Babilon M, Bayer W, Galaviz D, Hartmann T, Hutter C, Rauscher T, Sonnabend K, Volz S, Zilges A 2002 Nucl. Phys. A 707 241Google Scholar

    [29]

    Goko S, Utsunomiya H, Goriely S, Makinaga A, Kaihori T, Hohara S, Akimune H, Yamagata T, Lui Y W, Toyokawa H, Koning A J, Hilaire S 2006 Phys. Rev. Lett. 96 192501Google Scholar

    [30]

    Koning A, Hilaire S, Goriely S 2023 Eur. Phys. J. A 59 131Google Scholar

    [31]

    Rauscher T, Thielemann F K 2000 At. Data Nucl. Data Tables 75 1Google Scholar

    [32]

    Reimers P, Lutz G J, Segebade C 1977 J. Radioanal. Chem. 39 93Google Scholar

    [33]

    Borgwardt T C 2018 Proceedings: 1 st International Electronic Conference on Geosciences, (IECG 2018) 564 1

    [34]

    Sun Z J, Wells D P, Segebade C, Maschner H, Benson B 2013 J Radioanal Nucl Chem 296 293Google Scholar

    [35]

    Sun Z J, Okafor K, Isa S 2017 Appl. Radiat. Isot. 127 173Google Scholar

    [36]

    孙远明, 许旭, 唐婉月, 常艺, 陆景彬, 赵龙, 刘玉敏 2019 物理学报 68 1082801

    Sun Y M, Xu X, Tang W Y, Chang Y, Lu J B, Zhao L, Liu Y M 2019 Acta Phys. Sin 68 1082801

    [37]

    Sun X J, Zhou F Q, Song Y L, Li Y, Ji P F, Chang X Y 2019 Chin. Phys. Lett. 36 112501Google Scholar

    [38]

    贺书凯, 齐伟, 矫金龙, 董克攻, 邓志刚, 滕建, 张博, 张智猛, 洪伟, 张辉, 沈百飞, 谷渝秋 2018 物理学报 67 225202Google Scholar

    He S K, Qi W, Jiao J L, Dong K G, Deng Z G, Teng J, Zhang B, Zhang Z M, Hong W, Zhang H, Shen B F, Gu Y Q 2018 Acta Phys. Sin. 67 225202Google Scholar

    [39]

    Li Z C, Hao Z R, Sun Q K, Shen Y L, Liu L X, Xu H H, Zhang Y, Jiao P, Zhou M D, Yang Y X, Jin S, Chen K J, Wang Z W, Ye S, Li X X, Ma C W, Wang H W, Fan G T, Luo W 2025 Nucl. Sci. Tech. 36 34Google Scholar

    [40]

    Zhou M D, Hao Z R, Sun Q K, Liu L X, Xu H H, Zhang Y, Jiao P, Li Z C, Luo W, Yang Y X, Jin S, Chen K J, Ye S, Wang Z W, Wang Y T, Wei H L, Fu Y, Yu K, Wang H W, Fan G T, Ma C W 2025 Phys. Rev. C 111 054612Google Scholar

    [41]

    Jiao P, Hao Z R, Sun Q K, Liu L X, Xu H H, Zhang Y, Zhou M D, Li Z C, Luo W, Yang Y X, Jin S, Chen K J, Ye S, Wang Z W, Wang Y T, Wei H L, Fu Y, Yu K, Wang H W, Fan G T, Ma C W 2025 Nucl. Sci. Tech. 36 66Google Scholar

    [42]

    匡攀, 宋龙龙, 陈开杰, 王宏伟, 刘龙祥, 范功涛, 许杭华, 胡新荣, 李鑫祥, 郝子锐, 杨宇萱, 金晟 2023 原子核物理评论 40 2022040

    Pan K, Long-Long S, Kai-Jie C, Hong-Wei W, Long-Xiang L, Gong-Tao F, Hang-Hua X, Xin-Rong H, Xin-Xiang L, Zi-Rui H, Yu-Xuan Y, Sheng J 2023 Nucl. Phys. Rev. 40 2022040

    [43]

    郝子锐, 范功涛, 刘龙祥, 王宏伟, 张岳, 胡新荣, 李鑫祥, 王俊文, 匡攀, 戈松雨 2020 核技术 43 110501

    Hao Z R, Fan G T, Liu L X, Wang H W, Zhang Y, Hu X R, Li X X, Wang J W, Kuang P, Ge S Y 2020 Nucl. Tech. 43 110501

    [44]

    Hao Z R, Liu L X, Zhang Y, Wang H W, Fan G T, Xu H H, Jin S, Yang Y X, Li Z C, Jiao P, Chen K J, Sun Q K, Wang Z W, Zhou M D, Ye S, Xu M K, Wang X F, Shen Y L 2025 Nucl. Sci. Tech. 36 183Google Scholar

    [45]

    Chen K J, Liu L X, Hao Z R, Ma Y G, Wang H W, Fan G T, Cao X G, Xu H H, Niu Y F, Li X X, Hu X R, Yang Y X, Jin S, Kuang P 2023 Nucl. Sci. Tech. 34 47Google Scholar

    [46]

    Jin S, Hao Z R, Liu L X, Chen K J, Yang Y X, Xu H H, Zhang Y, Sun Q K, Wang Z W, Fan G T, Wang H W 2025 Nucl. Sci. Tech. 34 78

    [47]

    Liu P, Zhang H Y, Wu X F, Xu R R, Tao X, Tian Y, Jin Y L, Wang J M, Zhang Z, Ge Z G, Shu N C 2024 Ann. Nucl. Energy 208 110745Google Scholar

    [48]

    谢金辰, 陶曦, 续瑞瑞, 田源, 邢康, 葛智刚, 牛一斐 2025 物理学报 74 082501Google Scholar

    Xie J C, Tao X, Xu R R, Tian Y, Xing K, Ge Z G, Niu Y F 2025 Acta Phys. Sin. 74 082501Google Scholar

    [49]

    Mirani F, Calzolari D, Formenti A, Passoni M 2021 4 185

  • [1] 陶蒙蒙, 谌鸿伟, 王亚民, 王科, 邵冲云, 李哲, 李生武, 李乔木, 叶景峰. 掺镱光纤激光器伽马辐照响应特性研究. 物理学报, doi: 10.7498/aps.75.20251265
    [2] 王春杰, 关清帝, 姜文刚, 余青江, 解峰, 余功硕, 梁建峰, 李雪松, 徐江. 事件顺序重建对康普顿相机成像分辨的影响. 物理学报, doi: 10.7498/aps.74.20241723
    [3] 邱媛媛, 杨玉军, 郭迎春, 魏志义, 王兵兵. 利用频域理论研究束缚电子在强激光场中的单光子康普顿散射过程. 物理学报, doi: 10.7498/aps.74.20250483
    [4] 谢金辰, 陶曦, 续瑞瑞, 田源, 邢康, 葛智刚, 牛一斐. 基于变分自编码器的伽马单中子出射反应截面实验数据离群点研究. 物理学报, doi: 10.7498/aps.74.20241775
    [5] 田榕赫, 杨东, 于伟翔, 黄小龙, 李小安, 石明松. 探测器高能伽马效率刻度用放射性核素56Co的衰变数据. 物理学报, doi: 10.7498/aps.74.20250743
    [6] 肖石良, 王朝辉, 吴鸿毅, 陈雄军, 孙琪, 谭博宇, 王昊, 齐福刚. 中子诱发伽马产生截面测量中的谱分析技术. 物理学报, doi: 10.7498/aps.73.20231980
    [7] 董旭, 黄永盛, 唐光毅, 陈姗红, 司梅雨, 张建勇. 基于微波-电子康普顿背散射的环形正负电子对撞机束流能量测量方案. 物理学报, doi: 10.7498/aps.70.20202081
    [8] 朱兴龙, 王伟民, 余同普, 何峰, 陈民, 翁苏明, 陈黎明, 李玉同, 盛政明, 张杰. 极强激光场驱动超亮伽马辐射和正负电子对产生的研究进展. 物理学报, doi: 10.7498/aps.70.20202224
    [9] 宋张勇, 于得洋, 蔡晓红. 康普顿相机的成像分辨分析与模拟. 物理学报, doi: 10.7498/aps.68.20182245
    [10] 贾清刚, 张天奎, 许海波. 基于前冲康普顿电子高能伽马能谱测量系统设计. 物理学报, doi: 10.7498/aps.66.010703
    [11] 马永朋, 赵小利, 刘亚伟, 徐龙泉, 康旭, 倪冬冬, 闫帅, 朱林繁, 杨科. NO与C2H2的康普顿轮廓研究. 物理学报, doi: 10.7498/aps.64.153302
    [12] 古宇飞, 闫镔, 李磊, 魏峰, 韩玉, 陈健. 基于全变分最小化和交替方向法的康普顿散射成像重建算法. 物理学报, doi: 10.7498/aps.63.018701
    [13] 刘宇安, 庄奕琪, 杜磊, 苏亚慧. 氮化镓基蓝光发光二极管伽马辐照的1/f噪声表征. 物理学报, doi: 10.7498/aps.62.140703
    [14] 羊奕伟, 刘荣, 严小松. 钍俘获反应率离线伽马测量方法. 物理学报, doi: 10.7498/aps.62.032801
    [15] 邓娇娇, 刘波, 顾牡, 刘小林, 黄世明, 倪晨. 伽马CuX(X=Cl,Br,I)的电子结构和光学性质的第一性原理计算. 物理学报, doi: 10.7498/aps.61.036105
    [16] 葛愉成. 激光-电子康普顿散射物理特性研究. 物理学报, doi: 10.7498/aps.58.3094
    [17] 夏良斌, 欧阳晓平, 王群书, 康克军, 何小玲, 顾牡. 掺杂有机染料的铅锡氟磷酸闪烁玻璃及其在伽马激发下的发光. 物理学报, doi: 10.7498/aps.58.882
    [18] 张维佳, 王天民. 复杂离子晶体马德隆常数研究. 物理学报, doi: 10.7498/aps.54.565
    [19] 吕景发. 在相对论性电子上康普顿散射的极化自旋关联现象. 物理学报, doi: 10.7498/aps.21.1927
    [20] 徐永昌, 郑林生. 在γ-γ符合测量中康普顿散射所引起的符合. 物理学报, doi: 10.7498/aps.14.114
计量
  • 文章访问数:  201
  • PDF下载量:  5
  • 被引次数: 0
出版历程
  • 收稿日期:  2025-09-04
  • 修回日期:  2025-10-20
  • 上网日期:  2025-12-03

/

返回文章
返回