专题: 无序合金的序调控

封面文章
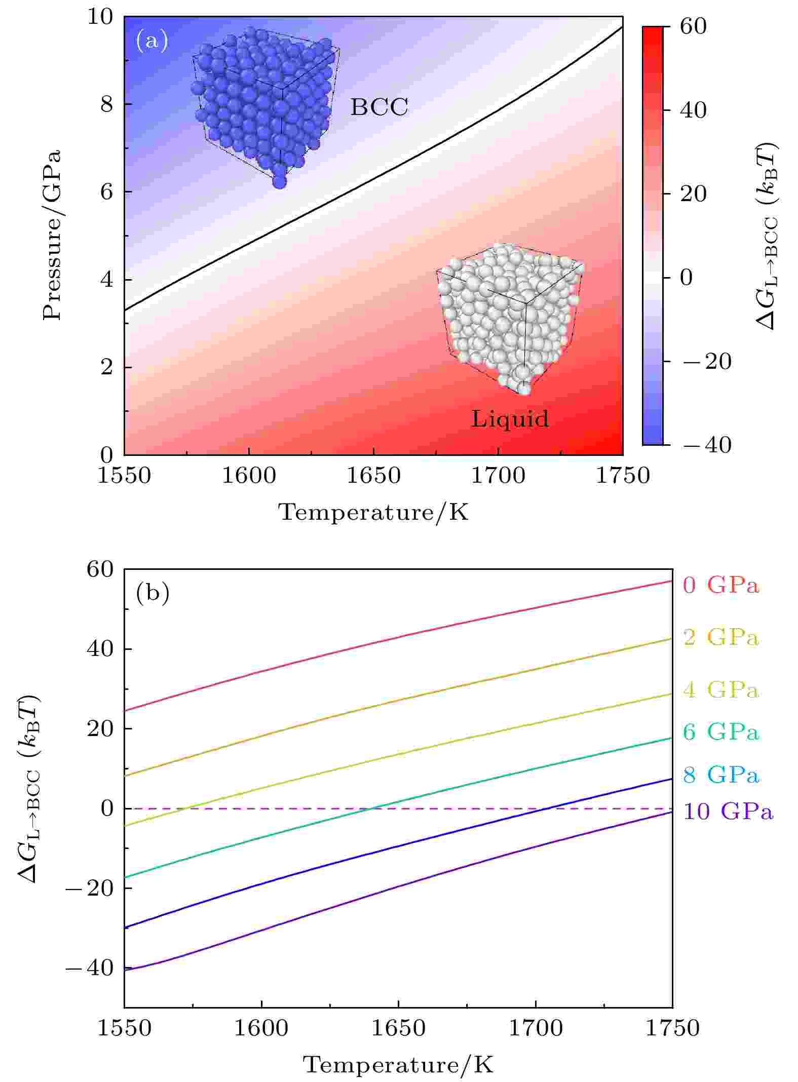
2025, 74 (8): 086101.
doi: 10.7498/aps.74.20250097
摘要 +
多主元合金概念的提出颠覆了传统物理冶金的理念, 极大地拓展了材料设计空间. 合金相图从热力学角度揭示成分、热力学与结构之间的关系, 对指导材料优化具有重要意义. 传统实验方法测定相图费时耗力, 且面临着测量条件、成分控制、高温高压等因素限制, 系统评估相图和热力学性质困难. 在此工作中, 我们以典型等原子比镍钴铬合金为原型材料, 采用元动力学、动态概率增强采样和扩展系综模拟相结合的方法, 克服原子尺度模拟的时间尺度限制, 系统地绘制了镍钴铬在高温、高压条件下的温度-压力相图, 并计算了不同热力学条件下该材料体心立方晶体与液体相变的自由能面. 基于自由能路径, 量化了晶化和熔化相变过程中, 激活能、激活体积、激活熵与温度、压力的关系, 从而揭示了压力和温度分别通过影响激活体积和激活熵, 进而影响熔化和晶化动力学的物理机制. 该研究为理解多主元合金的热力学与相变动力学提供了理论支持, 探索了其在极端条件下结构稳定性.

编辑推荐
2025, 74 (8): 086102.
doi: 10.7498/aps.74.20250128
摘要 +
多主元合金, 亦称为高熵合金, 作为一种新型合金材料, 因其优异的力学性能和热稳定性在多个领域展现出巨大的应用潜力. 本文采用分子动力学模拟方法, 以3种典型的体心立方结构多主元合金——TaWNbMo, TiZrNb和CoFeNiTi为研究对象, 系统研究了合金中的原子局域晶格畸变特征及其影响因素. 通过冯·米塞斯应变和体积应变作为描述符, 定量分析了合金中原子应变的分布及其与晶格畸变的关系. 研究结果表明, 晶格畸变越大, 冯·米塞斯应变和体积应变的分布范围越广, 且应变值显著增大. 进一步分析发现, 合金中的原子半径差异、化学短程有序结构以及温度均显著影响原子应变. 具体而言, 原子半径差异越大, 体积应变越大, 而化学短程有序结构的形成有助于减小晶格畸变和原子应变. 温度的升高则会导致晶格振动加剧, 从而增大原子应变. 本文的研究为理解高熵合金的微观力学行为提供了新的视角, 并为其在高温和极端环境下的应用设计提供了理论支持.

编辑推荐
2025, 74 (8): 086103.
doi: 10.7498/aps.74.20250141
摘要 +
中熵合金因其独特的强塑性协同效应, 在高应变速率服役的结构材料领域展现出广阔应用前景. 本研究聚焦于NiCoV中熵合金体系, 通过引入高熔点钨元素(原子含量为5%)进行合金化设计, 采用真空电弧熔炼结合热机械处理工艺制备了(NiCoV)95W5合金. 基于分离式霍普金森压杆实验平台, 系统揭示了该合金在2000—6000 s–1高应变速率下的动态响应机制与变形机理. 研究发现: 合金展现出优异的应变速率敏感性(m = 0.42), 当应变速率从准静态(10–3 s–1)提升至动态(6000 s–1)时, 屈服强度显著提升162% (720→1887 MPa), 这一强化效应源于高应变速率下晶格畸变诱导的声子拖曳作用显著增强. 通过显微分析, 揭示了该合金体系在高应变速率下的多尺度协同变形机理: 2000 s–1时以位错平面滑移为主导, 当速率增至4000 s–1时形成高密度位错缠结网络并激发部分析出相协同变形, 而在6000 s–1条件下则通过诱发变形孪晶实现加工硬化的存续. 本研究阐明了W元素掺杂的NiCoV中熵合金动态力学行为与变形机制, 为设计具有优异动态力学响应的新型结构材料提供了参考.
专题: 关联电子材料与散射谱学

编辑推荐
2025, 74 (8): 087402.
doi: 10.7498/aps.74.20241402
摘要 +
非常规超导电性通常与一系列复杂的物质态相互竞争或共存. 在铜氧化物超导材料中, 存在自旋序、电荷序、赝能隙态和奇异金属相等多种物质态. 理解它们之间的关系是解决高温超导机理问题的基础. 最近的研究结果表明, 电荷序关联在铜氧化物体系中普遍存在, 并且覆盖了相图的广泛区域, 成为高温超导研究的重点. 本文总结了共振X 射线散射对铜氧化物中电荷序的研究进展, 聚焦于具有能量分辨的非弹性散射实验, 着重介绍了关于高温动态电荷序关联的研究, 以及结合单轴应力对电荷序进行调控的工作. 基于这些结果, 讨论了铜氧化物电荷序的微观机制、结构和对称性, 以及电荷序对超导和正常态的可能影响, 并对未来的研究方向进行了展望.
专题: 少电子原子分子精密谱

编辑推荐
2025, 74 (8): 083101.
doi: 10.7498/aps.74.20241728
摘要 +
少电子原子的精密光谱在基本物理理论验证、精细结构常数精确测定以及原子核性质深入探索等领域具有重要的应用价值. 随着精密测量物理学的快速发展, 人们对原子结构数据的需求已从最初的存在性确认, 转变为对高度准确性和精确性的持续追求. 为了满足精密光谱实验对高精度结构性质数据的迫切需求, 我们自主发展了一系列基于B-样条基组的高精度理论方法, 并将其成功应用于少电子原子的能级结构与外场响应性质的理论研究中. 具体而言, 实现了氦原子和类氦离子能谱的高精度确定, 为相关实验研究提供理论支撑; 实现了幻零波长的高精度理论预言, 为量子电动力学理论检验开辟了新方向; 提出了有效抑制光频移的理论方案, 为氦原子高精度光谱实验的开展提供了重要支持. 展望未来, 基于B-样条基组的高精度理论方法有望在量子态操控、核结构性质精确测定、超冷分子形成以及新物理探索等前沿领域得到广泛应用, 从而推动国内外精密测量物理领域的蓬勃发展.
综述

编辑推荐
2025, 74 (8): 087401.
doi: 10.7498/aps.74.20241778
摘要 +
作为近年来新发现的非常规超导体, 重费米子化合物二碲化铀(UTe2)因被认为存在自旋三重态超导配对、高场再入超导相和新奇量子临界特征而受到广泛关注. 然而, 不同的样品质量导致该体系的实验研究结果呈现出明显的差异甚至矛盾. 关于是否多组分超导序参量、是否时间反演对称性破缺和多个场致超导相是否相同起源等关键问题, 学界争议激烈, 严重阻碍了对该体系本征超导配对机制的深度认识和理解. 本文总结了UTe2的单晶生长方法研究进展, 包括化学气相输运法、熔盐助熔剂法、碲助熔剂法和熔盐助熔剂液体输运法, 并梳理了生长条件对样品超导性和结晶质量的影响, 最后进行了总结和展望.
总论

2025, 74 (8): 080301.
doi: 10.7498/aps.74.20241223
摘要 +
量子近似优化算法(QAOA)作为含噪的中等规模量子(NISQ)计算时代的重要算法, 在最大割问题上展现了极大的优势和潜力. 然而由于缺乏量子纠错的支持, 在NISQ体系中计算的可靠性会随着算法的线路深度增加而急剧下降. 这样, 如何针对最大割问题设计高效的浅层低复杂度QAOA, 是当前NISQ时代展现量子计算优势所面临的一个重要挑战. 本文在标准QAOA算法解决最大割问题的目标哈密顿量线路中引入泡利Y旋转门, 通过提高量子试探函数在单次迭代中的操控灵活性和希尔伯特空间的检索效率, 显著提升了QAOA在最大割问题上的性能表现. 基于MindSpore Quantum平台的模拟实验表明, 与标准QAOA及当前其主流变体MA-QAOA和QAOA+等相比, 本文提出的QAOA新变体——RY层辅助QAOA在可降低线路深度、减少CNOT双比特量子逻辑门数量的同时, 依然可达到更优的逼近率, 具备更高可靠性的潜力.

2025, 74 (8): 080401.
doi: 10.7498/aps.74.20241376
摘要 +
星载超高精度惯性传感器是空间引力波探测任务的核心载荷之一. 运行环境差异、卫星工质消耗和电子器件老化会导致惯性传感器主要在轨工作参数与地面定标结果不一致, 影响数据产品精度, 进而影响科学数据质量, 需开展惯性传感器工作参数在轨标定工作. 本文针对空间引力波探测太极计划残余加速度噪声优于3×10–15 m/(s2·Hz1/2)@3 mHz的超高精度指标要求, 结合太极计划惯性传感器设计布局以及实际噪声模型, 设计了惯性传感器标度因数和质心偏差矢量参数在轨定标方案, 并通过仿真实验验证了方案的可行性. 仿真结果表明, 标度因数的在轨定标相对误差小于0.03%, 质心偏差在轨定标单轴误差$ < 75\;{\text{μm} }$, 满足太极计划惯性传感器工作参数在轨定标精度要求.

编辑推荐
2025, 74 (8): 080701.
doi: 10.7498/aps.74.20250028
摘要 +
金刚石是一种用途极为广泛的极限功能材料, 本研究在6.5 GPa压力条件下, 利用温度梯度法研究了合成腔体中添加三硫化二硼(B2S3)时金刚石大单晶的合成. 随着B2S3的添加, 所合成金刚石的颜色由典型的黄色变为了浅蓝色, 而且金刚石的生长速率也随之降低. 拉曼(Raman)测试表明所制备样品为单一的sp3杂化金刚石相, 但对应的Raman特征峰均趋于向低波数移动. 借助傅里叶显微红外光谱(FTIR)测试结果, 分析发现金刚石内部氮杂质浓度逐渐降低. 此外, 利用霍尔效应测试表征了所合成金刚石的电输运性能, 结果表明B2S3可将(111)晶向金刚石电阻率降低至45.4 Ω·cm. 然而, 当合成体系中同时添加0.002 g B2S3和除氮剂时, 对应金刚石晶体的电阻率锐减至0.43 Ω·cm, 该研究为金刚石在半导体领域中的应用提供了重要的实验依据.
基本粒子物理学与场

2025, 74 (8): 081101.
doi: 10.7498/aps.74.20241751
摘要 +
量子力学中量子态演化的幺正性同广义相对论中的绝对性概念之间的冲突, 是量子引力理论必须面对的关键难题. 本文首先回顾了芝诺悖论的主要内容, 以及牛顿力学中“极限”和“速度”概念在解决这一悖论中所起的关键作用. 以此为类比, 研究了量子纠缠冯·诺伊曼熵作为Rényi熵的极限, 在黑洞蒸发过程中可被视为状态量, 而模哈密顿量可被视为守恒量. 由此出发, 详细探讨了黑洞蒸发过程中引力路径积分中的霍金鞍点和副本虫洞鞍点对副本参数n的依赖. 进一步指出副本技巧与量子不可克隆定理之间的关系, 指出需要引入一个新的物理量——n依赖的相对熵来描述黑洞蒸发过程中状态的变化. 在黑洞蒸发过程中, 系统从霍金鞍点过渡到虫洞鞍点时,其副本参数n依赖的相对熵呈现增长趋势. 这进一步揭示了在模空间中, 黑洞从霍金鞍点向副本虫洞鞍点的演化过程具有不可逆性.
核物理学

编辑推荐
2025, 74 (8): 082501.
doi: 10.7498/aps.74.20241775
摘要 +
伽马单中子出射反应截面是核工程输运计算中的重要参数, 部分核素(γ, n)的反应测量因来自不同实验室而分歧明显. 本文基于变分自编码器方法, 针对原子核质量数在29—207区域的伽马单中子出射反应截面实验测量数据进行分析, 有效识别多家测量之间的离群点. 首先, 研究变分自编码器方法, 建立伽马单中子光核测量数据离群点识别网络; 其次, 对$^{29}\text{Si}$, $^{54}\text{Fe}$, $^{63}\text{Cu}$, $^{141}\text{Pr}$, $^{181}\text{Ta}$, $^{206}\text{Pb}$和$^{207}\text{Pb}$的29家多能点测量数据进行离群点识别; 最后, 计算离群点识别前后的实验数据与国际原子能机构光核评价数据库(IAEA-2019-PD)评价值之间的偏差, 检测变分自编码器的分析效果. 研究表明, 变分自编码器方法可以有效识别(γ, n)反应实验测量离群点, 其中$^{54}\text{Fe}$,$^{63}\text{Cu}$, $^{181}\text{Ta}$, $^{206}\text{Pb}$和$^{207}\text{Pb}$的伽马单中子出射反应截面与IAEA-2019-PD评价结果一致性更高, 验证了该方法在核数据研究中的应用潜力.
原子和分子物理学

2025, 74 (8): 083201.
doi: 10.7498/aps.74.20250052
摘要 +
在室温铯原子气室中利用探测光(852 nm)与耦合光(510 nm)构建的里德伯阶梯型结构, 实现了基于射频场缀饰的直流电场Floquet-电磁诱导透明(Floquet-electromagnetically induced transparency, Floquet-EIT)光谱, 并研究了直流电场下的Floquet-EIT光谱特性. 实验发现, 仅射频电场作用时, EIT光谱只呈现偶数阶边带, 而当射频场与直流电场同时作用时, 实验观测到Floquet-EIT的一阶边带信号. 随着直流电场强度增大, 一阶边带幅值逐渐升高. 然而, 当直流电场增大到一定强度时, 强电场会导致边带间相互串扰, 使边带幅值下降, 但增大射频频率可以延缓直流电场对一阶边带的串扰影响. 最后对比Floquet-EIT光谱的边带幅值与DC-Stark光谱的频率偏移在微弱直流电场下的相对标准偏差, 发现前者在微弱电场下的测量精确度明显优于后者. 本文工作为直流电场和低频电场的量子传感测量提供了新思路.
电磁学、光学、声学、传热学、经典力学和流体动力学

编辑推荐
2025, 74 (8): 084201.
doi: 10.7498/aps.74.20250027
摘要 +
大气风场在全球气候研究和空间探测中具有重要作用, 多普勒差分干涉仪作为新型被动测风干涉仪, 其通过测量大气气辉谱线的多普勒频移引起的相位变化量来反演大气风速, 但环境温度波动会导致像面相对于干涉仪发生漂移, 从而影响风场测量结果. 本文提出一种在光栅上刻蚀周期性刻槽, 并对其成像图案进行建模与全局拟合以实现高精度成像漂移检测的方法. 对刻槽图像的信噪比及模型参数拟合误差对检测结果的影响进行仿真分析, 结果表明, 图像信噪比、刻槽数量拟合精度与刻槽宽度拟合精度是影响检测精度的关键因素, 而刻槽图像边缘的平滑度的拟合精度对检测结果影响较小. 在近红外多普勒差分干涉仪的热稳定实验中, 通过对实验所测数据人为施加漂移量, 并进行成像漂移监测, 结果表明该方法能够实现9.96 nm的检测精度. 此外, 经成像漂移校正后的干涉图相位的局部振荡显著减弱, 表明该方法能有效检测与校正成像漂移, 显著提升干涉图像相位稳定性, 为高精度风速测量提供了可靠保障.

编辑推荐
2025, 74 (8): 084202.
doi: 10.7498/aps.74.20250010
摘要 +
提出了一种基于物理驱动的融合注意力机制的新型卷积网络单像素成像方法. 通过将结合通道与空间注意力机制的模块集成到一个随机初始化的卷积网络中, 利用单像素成像的物理模型约束网络, 实现了高质量的图像重建. 具体来说, 将空间与通道两个维度的注意力机制集成为一个模块, 引入到多尺度U-net卷积网络的各层中, 通过这种方式, 不仅可以利用注意力机制在三维数据立方中提供的关键权重信息, 还充分结合了U-net网络在不同空间频率下强大的特征提取能力. 这一创新方法能够有效捕捉图像细节, 抑制背景噪声, 提升图像重建质量. 实验结果表明, 针对低采样率条件下的图像重建, 与传统非预训练网络相比, 融合注意力机制的方案不仅在直观上图像细节重建得更好, 而且在定量的评价指标(如峰值信噪比和结构相似性)上均表现出显著优势, 验证了其在单像素成像中的有效性与应用前景.

2025, 74 (8): 084203.
doi: 10.7498/aps.74.20241713
摘要 +
针对目前深度学习算法难以实现快速高质量全息图的生成, 提出了一种注意力卷积神经网络算法(RTC-Holo), 在快速生成全息图的同时, 提高了全息图的生成质量. 整个网络由实值和复值卷积神经网络组成, 实值网络进行相位预测, 复值网络对空间光调制器(spatial light modulator, SLM)面的复振幅进行预测, 预测后得到的复振幅的相位用于全息编码和数值重建. 在相位预测模块的下采样阶段引入注意力机制, 增强相位预测模块下采样阶段的特征提取能力, 进而提升整个网络生成纯相位全息图的质量. 将精准的角谱衍射模型(angular spectrum method, ASM)嵌入到整个网络中, 以无监督的学习方式进行网络训练. 本文提出的算法能够在0.015 s内生成平均峰值信噪比(peak signal-to-noise ratio, PSNR)高达32.12 dB的2K (即分辨率为1920×1072)全息图. 数值仿真和光学实验验证了该方法的可行性和有效性.

2025, 74 (8): 084204.
doi: 10.7498/aps.74.20250081
摘要 +
里德伯原子微波测量系统是不同于传统电子微波测量的新型全光学测量技术, 它利用里德伯原子与微波场的强相干耦合效应, 将微波场转化为原子相干光谱的特性测量, 目前已成为高灵敏度高精度微波测量的主要研究领域. 微波场与里德伯原子相干耦合过程中的退相干机理会极大地影响微波场与相干光谱的转换效率, 从而影响微波电场测量灵敏度. 我们实验研究了在多能级里德伯铯原子系统中, 实现中心频率为3.4 GHz微波测量的最佳增强条件以及0.3 GHz动态范围测量. 利用铯原子D1线和D2线构成的多能级光学泵浦效应减小里德伯原子的退相干, 从而增强里德伯原子的电磁诱导透明(EIT)量子相干特性, 以及增强微波场作用产生的EIT-AT分裂谱, 实现微波场的增强测量.

编辑推荐
2025, 74 (8): 084205.
doi: 10.7498/aps.74.20250021
摘要 +
本文研究了人工规范场调控下超导量子比特-SSH (Su-Schrieffer-Heeger)拓扑光子晶格耦合体系中的单光子散射. 通过解析计算单光子散射系数, 揭示了人工规范场对SSH拓扑晶格上下能带中的单光子散射具有完全不同的调控作用, 包括上能带全透射和下能带全反射. 其次, 本文进一步证明人工规范场调控下单光子散射相对于晶格动量和上下能带具有高度的对称性. 反过来, 发现人工规范场调控下单光子反射系数可以不依赖晶格耦合强度, 只依赖晶格的拓扑特性, 可用于探测光子晶格的拓扑不变量. 最后, 本文将人工规范场调控下的单光子散射推广至超导量子比特-拓扑光子晶格不同耦合构型中. 这些结果为拓扑光子晶格中光子输运的调控提供了新的视角和方法.

2025, 74 (8): 084206.
doi: 10.7498/aps.74.20241432
摘要 +
腔光力学作为纳米光子学与量子力学的交叉学科, 为研究微腔内光子与机械模式的声子之间的光力耦合作用提供了一个独特的平台. 其在量子物理领域存在广泛的潜在应用, 已成为当今物理研究的前沿课题. 本文提出了一种利用两能级原子系综增强和边带产生的理论方案. 通过引入两能级原子介质, 研究了原子系综的失谐频率对和边带产生效率的影响. 结果表明不论在原子红失谐还是蓝失谐下都可以使和边带的生成效率得到显著增强, 并且对于红失谐状态下的依赖性更大, 其增强效果更加明显. 此外, 本文还考虑了泵浦功率的影响, 通过选择适当的泵浦功率可以有效地增强输出和边带信号的强度. 另外, 讨论了腔-原子耦合强度与原子衰减率对于和边带信号传输特性的影响, 通过测量和边带频率谱的峰值, 进而检测出腔与原子间的耦合强度. 这为腔-原子耦合强度的精密测量提供了一种简单便捷的方法, 同时也为和边带信号传输的调控提供有益的借鉴.

2025, 74 (8): 084401.
doi: 10.7498/aps.74.20241048
摘要 +
传统镁/聚四氟乙烯(Mg/PTFE)红外诱饵剂被广泛应用于对抗红外制导武器, 但随着红外制导技术发展, 其长波红外辐射不足、燃烧温度过高等缺点令其难以对抗新型红外制导弹药. 针对这一问题, 提出了采用硅酸锆(ZrSiO4)作为添加剂来提高传统诱饵剂红外辐射的方法. 以四氧化三铅/镁粉/聚四氟乙烯(Pb3O4/Mg/PTFE)红外诱饵剂作为基础配方, 设计了7种配方, 通过实验研究了不同ZrSiO4添加量对Pb3O4/Mg/PTFE红外诱饵剂效能的影响. 首先测试了基础配方(ZrSiO4添加量为0)和12% ZrSiO4添加量配方的热分解性能, 然后用7.5—14 μm远红外热像仪测量了压制成药柱样品的燃烧过程, 并计算出每个样品的燃烧时间、燃烧温度、质量燃速、辐射面积、远红外辐射亮度和辐射强度. 结果表明: 添加ZrSiO4后, 混合红外诱饵剂反应放热峰值减小, 热效应变差; 随着ZrSiO4添加量增大, 样品燃烧时间持续变长, 燃烧温度持续降低. 当ZrSiO4添加比例为18%时, 样品反应时间最长达3.73 s, 燃烧温度最低达765.46 ℃; 远红外辐射亮度和辐射强度均随着ZrSiO4添加比例升高先增大后减小, 且当ZrSiO4添加比例为6%时分别达到最大值2461 W/(m2·sr)和142 W/sr; 当ZrSiO4添加比例在18%以内和9%以内时分别对基础配方的远红外辐射亮度和辐射强度有提升作用.
气体、等离子体和放电物理

2025, 74 (8): 085201.
doi: 10.7498/aps.74.20241605
摘要 +
本文利用多道高分辨发射光谱对电子回旋共振(ECR)激发氘负离子数密度进行研究. 基于Yacora氘原子碰撞辐射模型, 结合氘原子分子谱线相对强度测量, 估算电子回旋共振激发的氘负离子密度. 对ECR源区和扩散区不同位置的氘原子及氘分子特征谱线进行测量, 发现源区的$ {{\mathrm{D}}}_{{\mathrm{\alpha }}} $特征谱线强度远高于$ {{\mathrm{D}}}_{{\mathrm{\beta }}} $的强度, $ {I}_{{{\mathrm{D}}}_{{\mathrm{\alpha }}}}/{I}_{{{\mathrm{D}}}_{{\mathrm{\beta }}}} $比高达23, 表明存在着$ {{\mathrm{D}}}^{-} $中性化机制, 选择性地增强了特征谱线强度; 进一步拟合估算了源区的$ {{\mathrm{D}}}^{-} $密度, 约为$ 3.6\times {10}^{15}\;{{\mathrm{m}}}^{-3} $; 相对于源区, 扩散区的$ {{\mathrm{D}}}^{-} $密度大幅下降. 由于ECR源区腔体小, 等离子体和壁的相互作用较强, 重组脱附过程会产生更多振动激发态氘分子, 增强了解离附着反应, 有利于氘负离子的产生; 另一方面, ECR等离子体中源区与扩散区间存在的空间电场阻碍了氘负离子的轴向输运, 氘负离子的产生和损失是局域性的; 这些使源区与扩散区间存在较大的$ {{\mathrm{D}}}^{-} $密度梯度.
凝聚物质:结构、力学和热学性质

2025, 74 (8): 086801.
doi: 10.7498/aps.74.20250076
摘要 +
本文利用低温扫描隧道显微镜(STM)研究了苉分子在Cd(0001)量子阱薄膜上的自组装和薄膜生长. 在亚单层的覆盖度, 苉分子会铺满整个衬底表面并形成无序的二维分子气, 表明苉分子之间存在静电排斥力. 随着覆盖度的增加, 第1层分子会发生无序-有序相变, 形成由平躺分子组成的分子带平行阵列. 高分辨的STM图表明, 分子带的基本结构单元是携带相反电偶极矩的苉二聚体. 更重要的是, 在特定的偏压下第1层分子带会出现电子透射现象: 可以透过分子层看到下面的Cd衬底原子. 当覆盖度超过1.0 分子单层, 第2层苉分子也会形成分子带阵列, 其基本单元是一个平躺分子和一个侧立分子组成的二聚体, 类似于苉晶体中的(110)面. 有趣的是, 第2层苉分子带也出现了电子透射现象. 以上结果表明, Cd(0001)薄膜中的量子阱态上的电子具有超强的穿透能力, 其竖直隧穿长度达到了两个苉分子层的距离.
凝聚物质:电子结构、电学、磁学和光学性质

2025, 74 (8): 087301.
doi: 10.7498/aps.74.20241554
摘要 +
本文提出了一种具有双漂移区和双导通路径的新型横向双扩散金属氧化物半导体(LDMOS)器件, 实现了超低比导通电阻(Ron,sp). 其漂移区采用P型和N型纵向交替所构成的双漂移区结构, 并引入平面栅和槽型栅分别控制P型和N型漂移区, 使得器件能够在漂移区中形成两条独立的电子导通或消失路径. 在对平面栅施加正向电压时, 可使P型漂移区的表面发生反型, 形成连接沟道和N+漏极的高浓度电子反型层, 从而极大提高器件导通时的电子密度, 降低比导通电阻. 槽型栅极的引入可使器件在关断时产生一条额外的电子消失路径, 从而缩短器件的关断时间(toff). 此外, 由于引入P型漂移区, 使得电子在P型漂移区内输运时与其体内的空穴发生复合, 从而加快了电子的消失过程并进一步地缩短器件的toff. 仿真结果表明, 在200 V的击穿电压(BV)等级下, 本文所提出的新型LDMOS的Ron,sp为3.43 mΩ·cm2, 关断时间为9 ns. 相比传统的LDMOS器件, Ron,sp和toff分别下降了90%和11.6%. 该器件不仅实现了Ron,sp和BV的良好折中, 而且缩短了器件的toff, 展现出了优异的器件性能.

编辑推荐
2025, 74 (8): 087501.
doi: 10.7498/aps.74.20241666
摘要 +
本研究提出了一种通过引入多个调制泵浦信号来灵活调控微波非互易隔离带的方法, 从而将常规的单模式的磁子非互易传输拓展到了宽频调节的范畴. 具体地, 本研究通过在腔磁子系统中激发多个光诱导磁子态, 并使其与连续域束缚态发生强耦合, 形成多个杂化模式, 实现了对非互易通道数量和隔离区域的精确控制. 该方法无需依赖静磁场调节, 能够实现独立的多通道非互易隔离带, 以及泵浦可调的带通和带阻隔离, 而不依赖于对系统的重构. 这显著提升了非互易频带的调节能力和系统的灵活性, 为开发多通道、可调谐的非互易器件在信息处理中的应用奠定了技术基础.

2025, 74 (8): 087701.
doi: 10.7498/aps.74.20241579
摘要 +
采用热氧老化方式模拟聚脲(polyurea, PU)薄膜在高温工况下的老化行为, 根据PU薄膜介电储能特性的变化规律将其老化过程划分为3个阶段. 结果表明: 老化初期, 氧气的桥接作用促使分子链规整排列, 相邻脲基团之间的氢键作用稍有增强, 分子链间距减小, 介电常数减小, 而击穿场强变化较小; 老化中期, 醚键断裂并诱导形成联苯结构, 体系无定形程度加剧, 介电常数增大, 但联苯结构加深了陷阱深度, 导致载流子迁移率降低, 这提高了薄膜的击穿场强; 老化后期, 氧气促使脲基分解, 造成贡献深陷阱能级的基团数量减少, 同时主链发生裂解, 并释放CO2与H2O等小分子物质, 这些因素共同导致了PU的击穿场强显著降低. 热氧老化过程中PU的储能密度表现出与击穿场强相同的时间依赖性, 证明了计及陷阱演变的PU储能性能退化机理: 氧气对醚键和脲基的分解作用分别诱发了联苯结构的形成和主链的裂解, 这改变了陷阱深度, 其中陷阱深度越浅, PU性能退化越显著.

编辑推荐
2025, 74 (8): 087801.
doi: 10.7498/aps.74.20250005
摘要 +
稀土正铁氧体(RFeO3, R为稀土原子)包含Fe3+和R3+两套磁性离子亚晶格, 存在Fe3+-Fe3+, Fe3+-R3+, R3+-R3+三种相互作用, 它们是稀土正铁氧体丰富磁性的来源. 本文利用时域太赫兹磁光谱, 在1.6—300 K的温度范围内, 在不同磁场下, 测量a-cut DyFeO3单晶样品的吸收光谱, 并分析光谱中铁磁(FM)和反铁磁共振(AFMR)吸收峰的温度和磁场依赖特性. 在零磁场变温实验中, 我们发现随温度降低在Morin温度(~ 50 K)出现的温度诱导的自旋重取向(Γ4→Γ1), 以及在4 K温度以下存在一个由于电磁振子导致的宽带吸收. 在Morin温度以上, 我们在恒定温度(70, 77, 90, 100 K)下测量了样品在0—7 T磁场范围的吸收光谱. 实验结果表明, 随着磁场的增大, 存在一个新的磁相变过程(Γ4→Γ24→Γ2→Γ24→Γ2), 相变的临界磁场随温度而变化. 这一相变过程是由于外磁场和Fe3+-Dy3+的各向异性交换相互作用导致的内部有效场的相互竞争和对磁矩的协同作用. 本项研究为深入理解稀土铁氧化物的丰富相变和磁电耦合特性, 以及开发相关的自旋电子学器件提供参考.
物理学交叉学科及有关科学技术领域

2025, 74 (8): 088101.
doi: 10.7498/aps.74.20250112
摘要 +
铁基非晶合金具有高的饱和磁感应强度及低的矫顽力和损耗, 是高频变压器和扼流圈铁芯等器件的理想材料. 然而, 该类合金晶化温度低并容易氧化, 其在高温环境中的应用受到限制. 铜和铌的添加可抑制晶核长大、提高热稳定性, 但对合金的高温抗氧化性能及结构演化的影响尚不明确. 本文利用静态空气氧化实验研究了Fe73.5Si13.5B9Cu1Nb3非晶合金高温氧化后微纳尺度结构的演变及其对合金性能的影响. 微纳结构演化揭示硅和铌在650 ℃氧化过程中快速扩散至氧化区域并形成致密氧化层, 进而阻碍氧元素向合金内部扩散; 合金内部则形成以铁元素为主的α-Fe(Si)相, 其晶粒尺寸随着氧化时间而缓慢长大. 热动力学行为表明氧化过程中硅和铌的偏析能提高合金体系热力学稳定性, 抑制晶化过程中形成多种金属间化合物. 磁滞回线结果表明, 经650 ℃氧化后, 合金的饱和磁感应强度保持不变; 同时, 氧化时间为5 min时, 矫顽力约为0.3 Oe, 氧化时间延长至0.5 h后, 矫顽力逐渐增大至61 Oe.

2025, 74 (8): 088201.
doi: 10.7498/aps.74.20250016
摘要 +
NASICON型Li1+xAlxTi2–x(PO4)3 (LATP)作为锂离子电池极具潜力的固态电解质而备受瞩目. 本文采用第一性原理计算与分子动力学模拟相结合的方法对3种Al掺杂浓度(2AlTi, 4AlTi, 6AlTi)的LATP表面进行研究, 深入探究Al含量对LATP表面的稳定性、电子导电性及Li+输运特性的影响. 研究结果表明, Li-原子终端的(012)面为最稳定晶面, 且LATP(012)表面随Al含量的增大而更为稳定. 电子结构分析表明, LiTi2(PO4)3 (LTP)表面保持与体相一致的半导体性质, 而LATP表面则呈现出金属性, 这是LATP表面锂枝晶生长的一个原因; Li+输运性质的研究结果表明, 对于LTP/LATP表面, 高势垒(大于2.00 eV)使得Li+不能从次表层迁移到最表层; 在最表层中, Li+的最低迁移势垒为0.87 eV, 明显高于其体相的最小值 (0.34 eV). 缓慢的Li+迁移速度是LATP表面锂枝晶生长的另一个重要原因. 幸运的是, 通过提高Al掺杂浓度, 可降低Li+的迁移势垒, 进而提高Li+在LATP表面的扩散性能. 分子动力学模拟进一步揭示Li+在LATP表面的扩散行为主要受到Al含量、Li+占位以及环境温度这些因素的共同影响. 因此, LATP表面的金属性和较高的Li+迁移势垒是其表面锂枝晶生长的两个重要原因. 通过调控Al含量、Li+占位以及环境温度能够不同程度地缓解LATP表面的锂枝晶生长.

2025, 74 (8): 088701.
doi: 10.7498/aps.74.20250062
摘要 +
本文提出了一种基于奇异值分解(SVD)正则化和快速迭代收缩阈值算法(FISTA)的单层无相位辐射源重构算法. 该方法能够有效地识别集成电路中的电磁干扰源. 首先, 通过近场扫描获取电磁场数据, 随后利用源重构方法(SRM)在其表面重建等效偶极子模型. 引入SVD正则化项以提高算法的稳定性和抗噪声能力, FISTA技术则加速了算法的收敛速度. 为了验证该方法的准确性和对高斯噪声的鲁棒性, 进行了贴片天线仿真分析和芯片实验测试. 结果表明, 该算法在第35次迭代时达到稳定, 重构结果与仿真结果的相对误差为2.3%, 迭代时间仅为传统方法的61.7%, 相对误差减少了52%.

2025, 74 (8): 088702.
doi: 10.7498/aps.74.20241768
摘要 +
双环完美涡旋光束(double-ring perfect vortex beam, DR-PVB)是由两个同心的完美涡旋光束(perfect vortex beam, PVB)叠加而成, 本文研究了DR-PVB在源平面的光强和相位分布及经过ABCD光学系统聚焦后的光强分布, 通过数值模拟可知聚焦后的DR-PVB产生的光斑数是两束PVB的拓扑荷之差绝对值的倍数. 在此基础上, 分析了聚焦DR-PVB对瑞利微粒的光辐射力, 研究表明聚焦后的DR-PVB可以同时俘获高折射率微粒和低折射率微粒. 此外, 改变DR-PVB的半径引起的光强分布的变化将导致光束对高低折射率粒子的俘获性能改变, 且俘获数量也会发生变化, 因此实际中可根据主要俘获对象来对光束半径组合进行灵活调整. 最后对微粒整体的受力进行分析, 并以此为依据判断微粒俘获的尺寸范围及俘获稳定性. 这一工作的结果为光学操纵领域提供了潜在的应用价值.

编辑推荐
2025, 74 (8): 088703.
doi: 10.7498/aps.74.20241654
摘要 +
聚合物衬底克服了刚性平面衬底在空间形变场景下的局限, 并能结合光刻技术制备复杂三维异形空间结构. 光热冲镊技术实现了固体界面上对微纳物体的捕获和操控, 将该技术应用在聚合物衬底上可开发新的应用场景需求. 本文以常用的聚甲基丙烯酸甲酯和负性光刻胶作为聚合物衬底, 通过溶胶-凝胶法在其上制备SiO2纳米薄膜, 能有效减轻光热冲击效应引起的热损伤, 从而实现微纳物体的激光捕获及操控. 实验表明, 在常用激光操控功率条件下, 当SiO2纳米薄膜厚度大于110 nm时, 能够有效防止聚合物衬底因光热效应引起软化、膨胀和表面破坏. 理论计算也表明, 纳米薄膜能至少使聚合物表面温度降低111 ℃, 并使其产生最高温度的时间滞后13.2 ns. 本文使用的纳米薄膜制备技术具有常温、大面积、低粗糙度且厚度均一的优点, 能普遍适用于柔性聚合物衬底以及异形结构. 本实验结果拓展了激光捕获物体的环境媒介, 为其在微纳操控、微纳米机器人和微纳光机电器件等领域的应用提供新的可能性.