-
Achieving a balance between low density, high strength, and good ductility remains a major challenge in the development of structural materials. Ti-based bulk metallic glasses (BMGs) have attracted considerable attention due to their exceptionally high specific strength. However, the intrinsic strength–plasticity trade-off has hindered their practical applications. Based on a quasicrystal-derived structural heredity and minor-element microalloying, this work realizes a synergistic enhancement of specific strength and plasticity in Ti-based BMGs. The resulting ((Ti40Zr40Ni20)72Be28)97Al3 BMGs demonstrate an ultrahigh specific strength of 5.34 × 105 N·m·kg–1, establishing a new record for Ti-based BMGs, along with a plastic strain of 13%, breaking through the traditional strength–plasticity limitation of BMGs. Structural analyses show that Al microalloying effectively inherits and modulates the short-range order derived from quasicrystalline structures, thereby achieving an observed synergistic enhancement in both strength and plasticity. This work provides new insights into composition design and lightweight structural applications of Ti-based BMGs.
-
Keywords:
- titanium-based bulk metallic glasses /
- specific strength /
- plasticity /
- microalloying
-
图 4 ((Ti40Zr40Ni20)72Be28)100–xAlx BMG的性能与传统晶体合金及其他BMG的对比 (a)密度和比强度与其他体系对比; (b)塑性变形能力和比强度与其他体系对比
Figure 4. Comparison of the properties of the ((Ti40Zr40Ni20)72Be28)100–xAlx BMGs with traditional crystalline alloys and other BMGs: (a) Comparison of density and specific strength with other systems; (b) comparison of plastic deformation ability and specific strength with other systems.
表 1 ((Ti40Zr40Ni20)72Be28)100–xAlx BMGs的热物性参数
Table 1. Thermal physical parameters of ((Ti40Zr40Ni20)72Be28)100–xAlx BMGs.
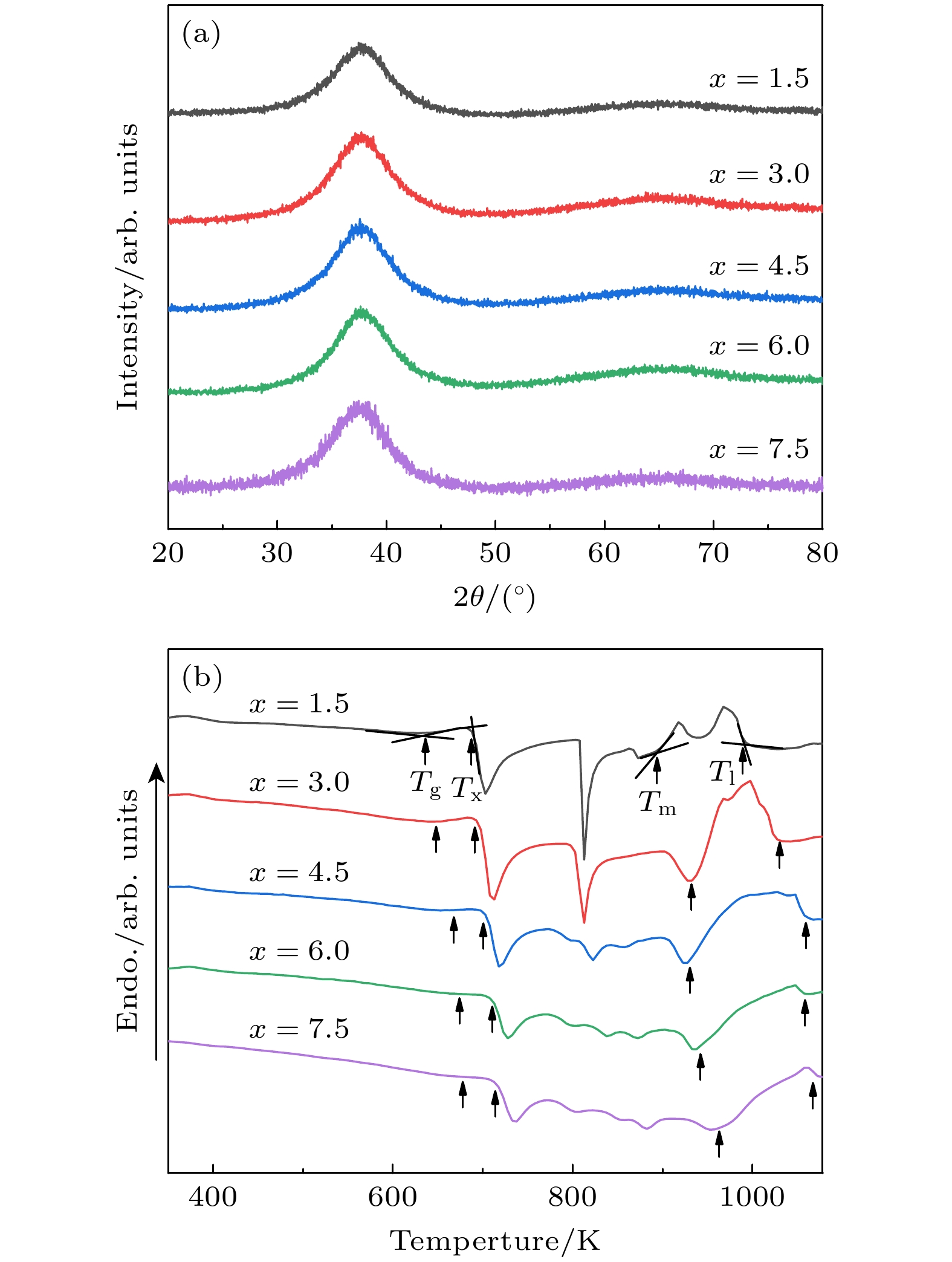
Composition Tg/K Tx/K Tm/K Tl/K ΔTx/K Trg γ x = 1.5 633.1 690.6 898.9 988.9 57.5 0.64 0.43 x = 3 641.1 698.2 939.2 1026.0 57.1 0.62 0.42 x = 4.5 644.3 705.6 930.3 1056 61.3 0.61 0.41 x = 6 649.4 712.1 938.8 1089.5 62.7 0.60 0.41 x = 7.5 655.4 718.2 976.1 1125.3 62.8 0.58 0.40 表 2 ((Ti40Zr40Ni20)72Be28)100–xAlx BMGs的力学性能及密度
Table 2. The mechanical properties and density of the ((Ti40Zr40Ni20)72Be28)100–xAlx BMGs.
Alloy σy/MPa σmax/MPa ɛp/% ρ/(g·cm–2) σc/(N·m·kg–1) x = 1.5 1830 ± 51 2433 ± 28 6.3 ± 1.1 5.42 ± 0.1 4.49 × 105 x = 3 1833 ± 37 2845 ± 30 13 ± 1.7 5.33 ± 0.07 5.34 × 105 x = 4.5 1822 ± 43 2803 ± 32 9.6 ± 2.2 5.26 ± 0.09 5.33 × 105 x = 6 1756 ± 21 2529 ± 19 6.4 ± 1.4 5.20 ± 0.1 4.86 × 105 x = 7.5 1884 ± 28 1884 ± 23 — 5.16 ± 0.05 3.65 × 105 -
[1] 李金山, 晏琪, 陈彪 2024 材料开发与应用 39 1
Li J, Yan Q, Chen B 2024 Mater. Dev. Appl. 39 1
[2] Wyatt B C, Nemani S K, Hilmas G E, Opila E J, Anasori B 2024 Nat. Rev. Mater. 9 773
[3] Yan Y Q, Cha W H, Liu S, Ma Y, Luan J H, Rao Z, Liu C, Shan Z W, Lu J, Wu G 2025 Science 387 401
Google Scholar
[4] Inoue A 2000 Acta Mater. 48 279
Google Scholar
[5] Inoue A, Takeuchi A 2004 Mater. Sci. Eng. A 375-377 16
[6] Wang W H, Dong C, Shek C H 2004 Mater. Sci. Eng. R 44 45
Google Scholar
[7] Peker A, Johnson W L 1993 Appl. Phys. Lett. 63 2342
Google Scholar
[8] Inoue A, Zhang T 1996 Mater. Trans. 37 185
Google Scholar
[9] Inoue A, Nishiyama N, Amiya K, Zhang T, Masumoto T 2007 Mater. Trans. JIM 30 131
[10] Bu H T, Gu J L, Su Y S, Shao Y, Yao K F 2025 Rare Met. 44 1932
Google Scholar
[11] Qiao Q, Wang J, Cai Z Q, Feng S D, Song Z Q, Huo B K, Li Z J, Wang L M 2023 Chin. Phys. B 32 116401
Google Scholar
[12] Cai A H, Tan J, Ding D W, Wang H, Liu Y, Wu H, An Q, Ning H, Zhou G J 2020 Mater. Chem. Phys. 251 123072
Google Scholar
[13] Li Y H, Zhang W, Dong C, Qiang J B, Yubuta K, Makino A, Inoue A 2010 J. Alloys Compd. 504 S2
Google Scholar
[14] Tan Y, Wang Y W, Cheng X W, Fu Q, Xin Z H, Xu Z Q, Cheng H W 2021 J. Non-Cryst. Solids 568 120962
Google Scholar
[15] Long Z L, Wei H Q, Ding Y H, Zhang P, Xie G Q, Inoue A 2009 J. Alloys Compd. 475 207
Google Scholar
[16] Zhang Z, Eckert J, Schultz L 2003 Acta Mater. 51 1167
Google Scholar
[17] Zhai H M, Xu Y H, Zhang F, Ren Y, Wang H F, Liu F 2017 J. Alloys Compd. 694 1
Google Scholar
[18] Spaepen F 1977 Acta Metall. 25 407
Google Scholar
[19] Argon A 1979 Acta Metall. 27 47
Google Scholar
[20] Li C Y, Yin J F, Ding J Q, Zhu F P, Zhao Y C, Kou S Z 2018 Mater. Sci. Technol. 34 1887
Google Scholar
[21] Gong P, Deng L, Jin J S, Wang S B, Wang X Y, Yao K F 2016 Metals 6 264
Google Scholar
[22] Inoue A, Takeuchi A 2005 Mater. Trans. 43 1892
[23] 王利民, 刘日平, 田永君 2020 物理学报 69 196401
Google Scholar
Wang L M, Liu R P, Tian Y J 2020 Acta. Phys. Sin. 69 196401
Google Scholar
[24] Sun B A, Pan M X, Zhao D Q, Wang W H, Xi X K, Sandor M, Wu Y 2008 Scr. Mater. 59 1159
Google Scholar
[25] Takeuchi A, Inoue A 2005 Mater. Trans. 46 2817
Google Scholar
[26] Chen Y, Xiao Y, Lyu G J, Wang B, Wang Y J, Yang Y, Pineda E, Fusco C, Chazeau L, Qiao J C 2025 Int. J. Eng. Sci. 217 104394
[27] Liang S, Zhu F, Wang Y J, Pineda E, Wada T, Kato H, Qiao J C 2024 Int. J. Eng. Sci. 205 104146
[28] 孟绍怡, 郝奇, 吕国建, 乔吉超 2023 物理学报 72 076101
Google Scholar
Meng S Y, Hao Q, Lyu G J, Qiao J C 2023 Acta. Phys. Sin. 72 076101
Google Scholar
[29] 魏新权, 毕甲紫, 李然 2017 物理学报 66 176408
Google Scholar
Wei X Q, Bi J Z, Li R 2017 Acta. Phys. Sin. 66 176408
Google Scholar
Metrics
- Abstract views: 294
- PDF Downloads: 7
- Cited By: 0









DownLoad: