-
在射频容性耦合尘埃等离子体放电中, 下极板凹槽通过影响鞘层里的电势分布, 进而对尘埃颗粒的集体行为产生显著影响. 实验中通过在腔室内撒入微米级直径的尘埃颗粒, 观察到其在下电极凹槽势阱上方分层出现, 整体呈“碗状”云分布. 尘埃云的体积大小随射频功率和放电气压的变化而变化. 尘埃空洞在每层尘埃颗粒的中心出现, 其直径大小和变化受尘埃颗粒数量、射频功率和放电气压影响. 此外, 基于流体模型和尘埃粒子模型建立混合模型, 模拟发现尘埃颗粒的集体行为主要由其所受的轴向合力(考虑轴向电场力、离子拖拽力和重力)和径向合力(考虑径向电场力和离子拖拽力)决定. 实验发现, 通过在射频电极施加负直流偏压, 尘埃颗粒悬浮高度先增大后减小, 悬浮高度的变化能够较直观地反映等离子体放电从α-γ模式的转变.
-
关键词:
- 射频容性耦合等离子体 /
- 尘埃空洞 /
- 混合模型 /
- 负直流偏压
In radio-frequency capacitively coupled dusty plasma discharge, the grooves on the lower electrode plate significantly modify the electric potential distribution in the sheath region, thereby influencing the collective dynamic behavior of dust particles. Experimentally, when micrometer-sized dust particles are injected into the discharge chamber, a distinct layer of dust particles forms above the groove-induced potential well, exhibiting a characteristic bowl-shaped cloud structure. The volume of the dust cloud shows a strong dependence on RF power and discharge pressure. As power increases or pressure decreases, the dust cloud moves upward due to the influence of axial force on the particles. Besides, dust voids form in the middle of each dust layer, and their diameter evolution is influenced by particle number, RF power, and pressure. Particularly, when the diameters of the electrode grooves are small, the diameters of the dust voids first increase, then decrease and finally disappear as discharge pressure increases. Furthermore, a hybrid model is theoretically established. This model couples a fluid model with a dust particle model to explain the collective behavior of dust particles. This behavior is governed by the resultant axial force which includes axial electric field force, ion drag force, and gravity, as well as the resultant radial force, which considers radial electric field force and ion drag force. It is also found that in the DC-overlapped RF plasma, the suspension height of dust particles first increases and then decreases as the negative DC bias is increased. The change in dust particle height can reflect the transition of plasma discharge from α -mode to γ -mode.[1] Lieberman M A, Lichtenberg A J 2005 Principles of Plasma Discharges & Materials Processing (New York: Wiley
[2] Selwyn G S, Singh J, Bennett R S 1989 J. Vac. Sci. Technol. A 7 2758
Google Scholar
[3] Wood B P, Lieberman M A, Lichtenberg A J 1991 IEEE Trans. Plasma Sci. 19 619
Google Scholar
[4] Konopka U, Morfill G E, Ratke L 2000 Phys. Rev. Lett 84 891
Google Scholar
[5] Fedoseev A V, Sukhinin G I, Dosbolayev M K, Ramazanov T S 2015 Phys. Rev. E 92 023106
Google Scholar
[6] Melzer A 2019 Physics of Dusty Plasmas: An Introduction (Berlin: Springer) p40
[7] Vasiliev M M, Petrov O F, Alekseevskaya A A, Ivanov A S, Vasilieva E V 2020 Molecules 25 3375
Google Scholar
[8] Chu J H, Lin I 1994 Phys. Rev. Lett. 72 4009
Google Scholar
[9] Caplan M E, Yaacoub D 2024 Phys. Rev. Lett 133 135301
Google Scholar
[10] Hariprasad M G, Bandyopadhyay P, Arora G, Sen A 2018 Phys. Plasmas 25 123704
Google Scholar
[11] Carmichael C, Ortiz J M, Adamson P, Matthews L, Hyde T 2024 Phys. Rev. E 110 25205
Google Scholar
[12] van de Wetering F M J H, Brooimans R J C, Nijdam S, Beckers J, Kroesen G M W 2015 J. Phys. D: Appl. Phys 48 35204
Google Scholar
[13] Bailung Y, Deka T, Boruah A, Sharma S K, Pal A R, Chutia J, Bailung H 2018 Phys. Plasmas 25 053705
Google Scholar
[14] Knapek C A, Mohr D P, Huber P 2024 Phys. Plasmas 31 063702
Google Scholar
[15] Mulsow M, Himpel M, Melzer A 2017 Phys. Plasmas 24 123704
Google Scholar
[16] Douglass A, Land V, Qiao K, Matthews L, Hyde T 2012 Phys. Plasmas 19 013707
Google Scholar
[17] Lin J, Hashimoto K, Togashi R, Utegenov A, Henault M, Takahashi K 2019 J. Appl. Phys. 126 043302
Google Scholar
[18] Iwashita S, Uchida G, Schulze J, Schüngel E, Hartmann P, Shiratani M, Donkó Z, Czarnetzki U 2012 Plasma Sources Sci. Technol. 21 032001
Google Scholar
[19] Iwashita S, Schüngel E, Schulze J, Hartmann P, Donkó Z, Uchida G, Koga K, Shiratani M, Czarnetzki U 2013 J. Phys. D: Appl. Phys. 46 245202
Google Scholar
[20] Chen Z Y, Song X Y, Liu Y, Tang, H Y, Huang F 2020 IEEE Trans. Plasma Sci. 48 1283
Google Scholar
[21] Takahashi K, Totsuji H 2019 IEEE Trans. Plasma Sci. 47 4213
Google Scholar
[22] Farokhi B, Hameditabar A 2012 Chin. Phys. Lett. 29 25201
Google Scholar
[23] Yaroshenko V V, Khrapak S A, Morfill G E 2013 Phys. Plasmas 20 043703
Google Scholar
[24] Jeong J, Kim Y G, Lee J, Kim Y 2024 Annual SEMI Advanced Semiconductor Manufacturing Conference Albany, New York, May 13–16, 2024 p1
[25] Batryshev D, Yerlanuly Y, Gabdullin M, Ramazanov T 2019 IEEE Trans. Plasma Sci. 47 4209
Google Scholar
[26] He Y F, Ai B Q, Dai C X, Song C, Wang R Q, Sun W T, Liu F C, Feng Y 2020 Phys. Rev. Lett. 124 75001
Google Scholar
[27] Ivanov A S, Pal A F, Ryabinkin A N, Serov A O, Ekimov E A, Smirnov A V, Starostin A V 2015 Russ. J. Gen. Chem. 10 1134
Google Scholar
[28] Doyle S J, Lafleur T, Gibson A R, Tian P, Kushner M, Dedrick J 2017 Plasma Sources Sci. Technol. 26 125005
Google Scholar
[29] Wang L, Hartmann P, Donko Z, Song Y H, Schulze J 2021 J. Vac. Sci. Technol. 39 063004
Google Scholar
[30] Piejak R B, Al-Kuzee J, Braithwaite N S J 2005 Plasma Sources Sci. Technol. 14 734
Google Scholar
[31] Liu G H, Liu Y X, Wen D Q, Wang Y N 2015 Plasma Sources Sci. Technol. 24 034006
Google Scholar
[32] 段蒙悦, 贾文柱, 张莹莹, 张逸凡, 宋远红 2023 物理学报 72 165202
Google Scholar
Duan M Y, Jia W Z, Zhang Y Y, Zhang Y F, Song Y H 2023 Acta Phys. Sin. 72 165202
Google Scholar
[33] Gallagher A, Howling A A, Hollenstein C 2002 J. Appl. Phys. 91 5571
Google Scholar
[34] Graves D B, Daugherty J E, Kilgore M D, Porteous R K 1994 Plasma Sources Sci. Technol. 3 433
Google Scholar
[35] De Bleecker K, Bogaert A, Goedheer W 2006 Phys. Rev. E 73 026405
Google Scholar
[36] Wang K, Huang D, Feng Y 2019 Phys. Rev. E 99 063206
Google Scholar
[37] Schweigert I V, Alexandrov A L, Ariskin D A 2014 Plasma Chem. Plasma Process. 34 671
Google Scholar
[38] Dahiya R P, Paeva G V, Stoffels W W, Stoffels E, Kroesen G M W, Avinash K, Bhattacharjee A 2002 Phys. Rev. Lett. 89 125001
Google Scholar
[39] Schulze J, Donkó Z, Derzsi A, Korolov I, Schuengel E 2015 Plasma Sources Sci. Technol. 24 015019
Google Scholar
[40] Yamaguchi T, Komuro T, Koshimizu C, Takashima S, Takeda K, Kondo H, Ishikawa K, Sekine M, Hori M 2011 J. Phys. D: Appl. Phys. 45 025203
Google Scholar
[41] Liu G H, Liu Y X, Bai L S, Zhao K, Wang Y N 2018 Phys. Plasmas 25 023515
Google Scholar
[42] Schulze J, Schüngel E, Donkó Z, Czarnetzki U 2010 J. Phys. D: Appl. Phys. 43 124016
Google Scholar
[43] Xiang Y J, Wang X K, Liu Y X, Wang Y N 2024 Plasma Sci. Technol. 26 55401
Google Scholar
-
图 2 (a) 射频功率2 W, 放电气压8 Pa时, 高清相机拍摄的尘埃颗粒空间分布侧视图; (b) 气压5 Pa, 功率由2 W增至10 W时, 侧面观察尘埃颗粒空间分布轮廓图; (c), (d) 气压5 Pa, 射频电压分别为50 V和250 V时(对应实验中的射频功率增大), 模拟得到的尘埃颗粒所受轴向合力图(考虑重力、电场力以及离子拖拽力), 图中粗红线代表尘埃颗粒轴向合力为0的位置. 凹槽直径${\boldsymbol{\phi}} $ = 20 mm, 1 dyn = 10–5 N
Fig. 2. (a) Side-view spatial distribution of dust particles captured by a high-resolution camera under 2 W RF power at 8 Pa discharge pressure; (b) lateral profiles of dust distributions observed during RF power from 2 W to 10 W at fixed 5 Pa; (c), (d) simulated resultant axial force profiles acting on dust particles (considering gravitational, electric field, and ion drag forces) at 5 Pa with RF voltages of 50 V and 250 V (corresponding to increased RF power in experiments); bold red lines indicate positions of zero axial resultant force. The groove diameter is ${\boldsymbol{\phi}} $ = 20 mm.
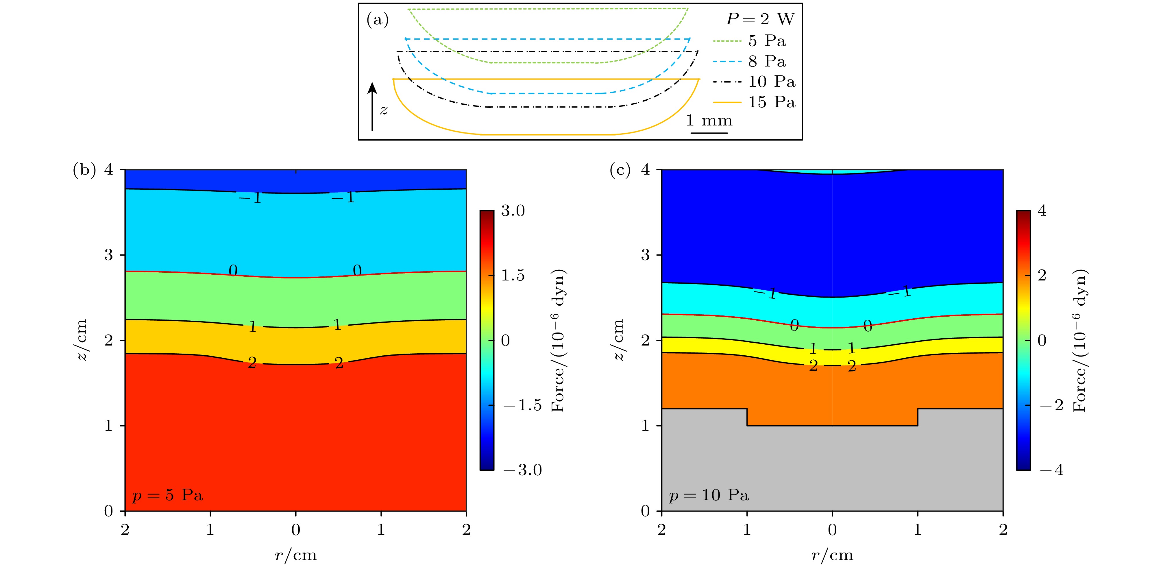
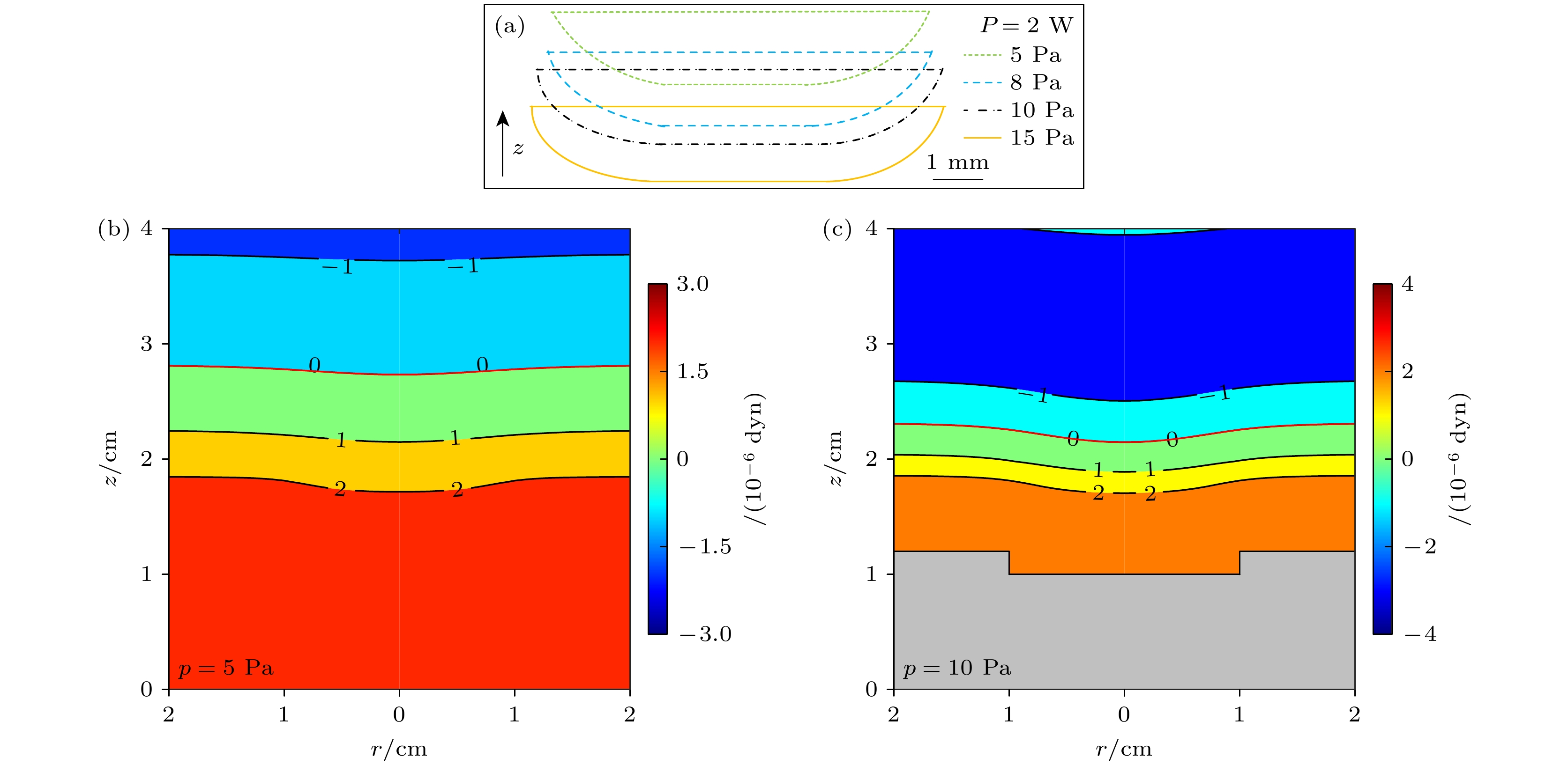
图 3 (a) 功率2 W, 气压由5 Pa增至15 Pa时, 侧面观察尘埃颗粒空间分布轮廓图; (b), (c) 射频电压50 V (对应射频功率2 W), 气压分别为5 Pa和10 Pa时, 模拟得到的尘埃颗粒所受轴向合力图(考虑重力、电场力以及离子拖拽力), 图中粗红线代表尘埃颗粒轴向合力为0的位置. 凹槽直径${\boldsymbol{\phi}} $ = 20 mm
Fig. 3. (a) Lateral profiles of dust distributions observed with the pressure increasing from 5 Pa to 15 Pa, under a fixed power of 2 W; (b), (c) simulated resultant axial force profiles acting on dust particles (considering gravitational, electric field, and ion drag forces) with fixed RF voltage of 50 V (corresponding to 2 W RF power) at 5 Pa and 10 Pa, respectively; bold red lines indicate positions of zero axial resultant force. The groove diameter is ${\boldsymbol{\phi}} $ = 20 mm.
图 4 放电气压7 Pa, 射频功率分别为4 W (a), (b)和6 W (c), (d) 时, 高清相机拍摄到的最上层和下层尘埃颗粒空洞现象, 凹槽直径 ${\boldsymbol{\phi }}$ = 40 mm
Fig. 4. Void formations in the uppermost and lowermost dust particle layers are experimentally observed via a high-resolution camera under RF powers of 4 W (a), (b) and 6 W (c), (d), at 7 Pa. The groove diameter is ${\boldsymbol{\phi}} $ = 40 mm.
图 6 气压7 Pa, 射频电压分别为(a) 50 V和(c) 75 V(对应实验射频功率4 W和6 W)时, 采用流体模拟得到的尘埃颗粒径向合力图; (b), (d)分别对应为(a), (c)红虚线区域内放大后的局部图. 凹槽直径${\boldsymbol{\phi}} $ = 40 mm
Fig. 6. Resultant axial force diagrams of dust particles obtained from fluid simulation under (a) 50 V and (c) 75 V (corresponding to experimental RF powers of 4 W and 6 W, respectively), at fixed 7 Pa; (b), (d) the magnified localized diagrams in the region of the dashed line shown in panel (a), (c), respectively. The groove diameter is ${\boldsymbol{\phi}} $ = 40 mm.
图 7 (a) 射频功率10 W和15 W时, 空洞直径和尘埃云外径随气压的变化; (b) A, B, C三点处的尘埃颗粒所受径向电场(Er)和径向离子通量随气压的变化. 凹槽直径为20 mm, 尘埃云由几百个粒子组成
Fig. 7. (a) Variations in void diameter and dust cloud outer diameter with pressure under 10 W and 15 W; (b) radial electric field (Er) and radial ion flux at positions A, B, and C as a function of pressure. The groove diameter is ${\boldsymbol{\phi}} $ = 20 mm, the dust cloud consists of several hundred particles.
图 8 气压60 Pa, 射频电压100 V和200 V时, (a)尘埃颗粒距离下极板高度以及(b)放电中心的电子密度随直流负偏压$ \left| {{V_{{\text{dc}}}}} \right| $的变化
Fig. 8. (a) Height of dust particles above the lower electrode and (b) the electron density at the chamber center as a functions of the DC $ \left| {{V_{{\text{dc}}}}} \right| $ under 100 V and 200 V, at fixed 60 Pa.
-
[1] Lieberman M A, Lichtenberg A J 2005 Principles of Plasma Discharges & Materials Processing (New York: Wiley
[2] Selwyn G S, Singh J, Bennett R S 1989 J. Vac. Sci. Technol. A 7 2758
Google Scholar
[3] Wood B P, Lieberman M A, Lichtenberg A J 1991 IEEE Trans. Plasma Sci. 19 619
Google Scholar
[4] Konopka U, Morfill G E, Ratke L 2000 Phys. Rev. Lett 84 891
Google Scholar
[5] Fedoseev A V, Sukhinin G I, Dosbolayev M K, Ramazanov T S 2015 Phys. Rev. E 92 023106
Google Scholar
[6] Melzer A 2019 Physics of Dusty Plasmas: An Introduction (Berlin: Springer) p40
[7] Vasiliev M M, Petrov O F, Alekseevskaya A A, Ivanov A S, Vasilieva E V 2020 Molecules 25 3375
Google Scholar
[8] Chu J H, Lin I 1994 Phys. Rev. Lett. 72 4009
Google Scholar
[9] Caplan M E, Yaacoub D 2024 Phys. Rev. Lett 133 135301
Google Scholar
[10] Hariprasad M G, Bandyopadhyay P, Arora G, Sen A 2018 Phys. Plasmas 25 123704
Google Scholar
[11] Carmichael C, Ortiz J M, Adamson P, Matthews L, Hyde T 2024 Phys. Rev. E 110 25205
Google Scholar
[12] van de Wetering F M J H, Brooimans R J C, Nijdam S, Beckers J, Kroesen G M W 2015 J. Phys. D: Appl. Phys 48 35204
Google Scholar
[13] Bailung Y, Deka T, Boruah A, Sharma S K, Pal A R, Chutia J, Bailung H 2018 Phys. Plasmas 25 053705
Google Scholar
[14] Knapek C A, Mohr D P, Huber P 2024 Phys. Plasmas 31 063702
Google Scholar
[15] Mulsow M, Himpel M, Melzer A 2017 Phys. Plasmas 24 123704
Google Scholar
[16] Douglass A, Land V, Qiao K, Matthews L, Hyde T 2012 Phys. Plasmas 19 013707
Google Scholar
[17] Lin J, Hashimoto K, Togashi R, Utegenov A, Henault M, Takahashi K 2019 J. Appl. Phys. 126 043302
Google Scholar
[18] Iwashita S, Uchida G, Schulze J, Schüngel E, Hartmann P, Shiratani M, Donkó Z, Czarnetzki U 2012 Plasma Sources Sci. Technol. 21 032001
Google Scholar
[19] Iwashita S, Schüngel E, Schulze J, Hartmann P, Donkó Z, Uchida G, Koga K, Shiratani M, Czarnetzki U 2013 J. Phys. D: Appl. Phys. 46 245202
Google Scholar
[20] Chen Z Y, Song X Y, Liu Y, Tang, H Y, Huang F 2020 IEEE Trans. Plasma Sci. 48 1283
Google Scholar
[21] Takahashi K, Totsuji H 2019 IEEE Trans. Plasma Sci. 47 4213
Google Scholar
[22] Farokhi B, Hameditabar A 2012 Chin. Phys. Lett. 29 25201
Google Scholar
[23] Yaroshenko V V, Khrapak S A, Morfill G E 2013 Phys. Plasmas 20 043703
Google Scholar
[24] Jeong J, Kim Y G, Lee J, Kim Y 2024 Annual SEMI Advanced Semiconductor Manufacturing Conference Albany, New York, May 13–16, 2024 p1
[25] Batryshev D, Yerlanuly Y, Gabdullin M, Ramazanov T 2019 IEEE Trans. Plasma Sci. 47 4209
Google Scholar
[26] He Y F, Ai B Q, Dai C X, Song C, Wang R Q, Sun W T, Liu F C, Feng Y 2020 Phys. Rev. Lett. 124 75001
Google Scholar
[27] Ivanov A S, Pal A F, Ryabinkin A N, Serov A O, Ekimov E A, Smirnov A V, Starostin A V 2015 Russ. J. Gen. Chem. 10 1134
Google Scholar
[28] Doyle S J, Lafleur T, Gibson A R, Tian P, Kushner M, Dedrick J 2017 Plasma Sources Sci. Technol. 26 125005
Google Scholar
[29] Wang L, Hartmann P, Donko Z, Song Y H, Schulze J 2021 J. Vac. Sci. Technol. 39 063004
Google Scholar
[30] Piejak R B, Al-Kuzee J, Braithwaite N S J 2005 Plasma Sources Sci. Technol. 14 734
Google Scholar
[31] Liu G H, Liu Y X, Wen D Q, Wang Y N 2015 Plasma Sources Sci. Technol. 24 034006
Google Scholar
[32] 段蒙悦, 贾文柱, 张莹莹, 张逸凡, 宋远红 2023 物理学报 72 165202
Google Scholar
Duan M Y, Jia W Z, Zhang Y Y, Zhang Y F, Song Y H 2023 Acta Phys. Sin. 72 165202
Google Scholar
[33] Gallagher A, Howling A A, Hollenstein C 2002 J. Appl. Phys. 91 5571
Google Scholar
[34] Graves D B, Daugherty J E, Kilgore M D, Porteous R K 1994 Plasma Sources Sci. Technol. 3 433
Google Scholar
[35] De Bleecker K, Bogaert A, Goedheer W 2006 Phys. Rev. E 73 026405
Google Scholar
[36] Wang K, Huang D, Feng Y 2019 Phys. Rev. E 99 063206
Google Scholar
[37] Schweigert I V, Alexandrov A L, Ariskin D A 2014 Plasma Chem. Plasma Process. 34 671
Google Scholar
[38] Dahiya R P, Paeva G V, Stoffels W W, Stoffels E, Kroesen G M W, Avinash K, Bhattacharjee A 2002 Phys. Rev. Lett. 89 125001
Google Scholar
[39] Schulze J, Donkó Z, Derzsi A, Korolov I, Schuengel E 2015 Plasma Sources Sci. Technol. 24 015019
Google Scholar
[40] Yamaguchi T, Komuro T, Koshimizu C, Takashima S, Takeda K, Kondo H, Ishikawa K, Sekine M, Hori M 2011 J. Phys. D: Appl. Phys. 45 025203
Google Scholar
[41] Liu G H, Liu Y X, Bai L S, Zhao K, Wang Y N 2018 Phys. Plasmas 25 023515
Google Scholar
[42] Schulze J, Schüngel E, Donkó Z, Czarnetzki U 2010 J. Phys. D: Appl. Phys. 43 124016
Google Scholar
[43] Xiang Y J, Wang X K, Liu Y X, Wang Y N 2024 Plasma Sci. Technol. 26 55401
Google Scholar
计量
- 文章访问数: 905
- PDF下载量: 31
- 被引次数: 0








下载: