-
稳定且显著的谷极化效应是谷自由度在谷电子器件中应用的关键. 基于第一性原理计算, 本文发现单层交错磁体V2Se2O在单轴应变下的谷极化效应关联磁性原子V之间的净磁矩, 提出了实现巨大谷极化效应的两种策略. 其一, 利用Cr原子替换V2Se2O单层中的一个V原子形成亚铁磁单层VCrSe2O, 使磁性原子之间的净磁矩足够大, 实现巨大的谷极化效应. 通过在a轴或b轴方向施加单轴应变能显著地提升谷极化值, 且谷极化值与磁性原子之间的净磁矩呈近线性关系. 其二, 构建V2Se2O单层和α-SnO单层的范德瓦耳斯异质结, 镜面对称破缺的堆垛方式使V原子之间出现净磁矩, 从而实现显著的谷极化效应. 通过压缩异质结的层间距离可以引起V原子之间净磁矩的增加, 能将谷极化值提升至近400 meV. 本工作在单层交错磁体的基础上提出了实现巨大谷极化的两种策略, 为基于交错磁体构筑的亚铁磁单层和异质结材料在谷电子学领域的应用提供理论指导.Stable and remarkable valley polarization effect is the key to utilizing valley degree of freedom in valleytronic devices. Recently, a novel collinear magnetic material known as altermagnet, which is different from ferromagnets and antiferromagnets, has attracted widespread attention. Theoretical studies have revealed that the monolayer altermagnet V2Se2O exhibits spin-valley locking induced by crystal symmetry rather than traditional time-reversal symmetry. Uniaxial strain can break the corresponding crystal symmetry, leading to a remarkable non-relativistic valley polarization effect. Therefore, beyond uniaxial strain, are there alternative strategies to break the crystal symmetry in altermagnets and achieve remarkable valley polarization? According to first-principles calculations and symmetry analysis, we reveal that valley polarization effect in monolayer V2Se2O altermagnet is correlated with the net magnetic moment between magnetic V atoms under uniaxial strain, thereby proposing two strategies for achieving giant valley polarization effect. Firstly, substituting one V atom in V2Se2O with Cr to construct a ferrimagnetic monolayer VCrSe2O enhances the net magnetic moment between magnetic atoms, thereby realizing a giant valley polarization effect. Applying uniaxial strain along either the a-axis or b-axis significantly increases the value of valley polarization, which exhibits a nearly linear relationship with the net magnetic moments between the magnetic atoms. Secondly, constructing a van der Waals heterostructure composed of V2Se2O and α-SnO monolayers breaks mirror symmetry, thereby inducing a net magnetic moment, which in turn causes a remarkable valley polarization effect. Compressing the interlayer distance of the heterostructure can increase the net magnetic moment between V atoms, thereby enhancing the value of valley polarization to nearly 400 meV. This work reveals that valley polarization in monolayer altermagnet is correlated with the net magnetic moment between magnetic atoms. Finally, we propose two strategies to achieve giant valley polarization based on monolayer altermagnets, providing theoretical guidance for the potential applications of ferrimagnetic monolayers and altermagnet-based heterostructures in valleytronics.
-
Keywords:
- valley degree of freedom /
- monolayer altermagnets /
- valley polarization /
- ferrimagnetic /
- van der Waals heterostructure
[1] Li L, Shao L, Liu X, Gao A, Wang H, Zheng B, Hou G, Shehzad K, Yu L, Miao F, Shi Y, Xu Y, Wang X 2020 Nat. Nanotechnol. 15 743
Google Scholar
[2] 孙真昊, 管鸿明, 付雷, 沈波, 唐宁 2021 物理学报 70 027302
Google Scholar
Sun Z H, Guan H M, Fu L, Shen B, Tang N 2021 Acta Phys. Sin. 70 027302
Google Scholar
[3] Schaibley J R, Yu H, Clark G, Rivera P, Ross J S, Seyler K L, Yao W, Xu X 2016 Nat. Rev. Mater. 1 16055
Google Scholar
[4] Xiao D, Liu G B, Feng W, Xu X, Yao W 2012 Phys. Rev. Lett. 108 196802
Google Scholar
[5] Xu X, Yao W, Xiao D, Heinz T F 2014 Nat. Phys. 10 343
Google Scholar
[6] MacNeill D, Heikes C, Mak K F, Anderson Z, Kormányos A, Zólyomi V, Park J, Ralph D C 2015 Phys. Rev. Lett. 114 037401
Google Scholar
[7] Li Y, Ludwig J, Low T, Chernikov A, Cui X, Arefe G, Kim Y D, Van Der Zande A M, Rigosi A, Hill H M, Kim S H, Hone J, Li Z, Smirnov D, Heinz T F 2014 Phys. Rev. Lett. 113 266804
Google Scholar
[8] Aivazian G, Gong Z, Jones A M, Chu R L, Yan J, Mandrus D G, Zhang C, Cobden D, Yao W, Xu X 2015 Nat. Phys. 11 148
Google Scholar
[9] Srivastava A, Sidler M, Allain A V, Lembke D S, Kis A, Imamoğlu A 2015 Nat. Phys. 11 141
Google Scholar
[10] Peng R, Ma Y, Zhang S, Huang B, Dai Y 2018 J. Phys. Chem. Lett. 9 3612
Google Scholar
[11] Zhou J, Lin J, Sims H, Jiang C, Cong C, Brehm J A, Zhang Z, Niu L, Chen Y, Zhou Y, Wang Y, Liu F, Zhu C, Yu T, Suenaga K, Mishra R, Pantelides S T, Zhu Z, Gao W, Liu Z, Zhou W 2020 Adv. Mater. 32 1906536
Google Scholar
[12] Matsuoka H, Habe T, Iwasa Y, Koshino M, Nakano M 2022 Nat. Commun. 13 5129
Google Scholar
[13] Zhong D, Seyler K L, Linpeng X, Wilson N P, Taniguchi T, Watanabe K, McGuire M A, Fu K M C, Xiao D, Yao W, Xu X 2020 Nat. Nanotechnol. 15 187
Google Scholar
[14] Abdollahi M, Tagani M B 2023 Phys. Rev. B 108 024427
Google Scholar
[15] Zhang W, Zhu H, Zhang W, Wang J, Zhang T, Yang S, Shao B, Zuo X 2024 Appl. Surf. Sci. 647 158986
Google Scholar
[16] Mak K F, McGill K L, Park J, McEuen P L 2014 Science 344 1489
Google Scholar
[17] Mak K F, He K, Shan J, Heinz T F 2012 Nat. Nanotechnol. 7 494
Google Scholar
[18] Hsu W T, Chen Y L, Chen C H, Liu P S, Hou T H, Li L J, Chang W H 2015 Nat. Commun. 6 8963
Google Scholar
[19] Tong W Y, Gong S J, Wan X, Duan C G 2016 Nat. Commun. 7 13612
Google Scholar
[20] Xie W, Zhang L, Yue Y, Li M, Wang H 2024 Phys. Rev. B 109 024406
Google Scholar
[21] Pan W 2022 Phys. Rev. B 106 125122
Google Scholar
[22] Zhao J, Zhang T, Peng R, Dai Y, Huang B, Ma Y 2022 J Phys. Chem. Lett. 13 8749
Google Scholar
[23] Feng X, Xu X, He Z, Peng R, Dai Y, Huang B, Ma Y 2021 Phys. Rev. B 104 075421
Google Scholar
[24] Xie W, Xu X, Li M, Wang H 2023 J Magn. Magn. Mater. 573 170662
Google Scholar
[25] Zhao P, Ma Y, Lei C, Wang H, Huang B, Dai Y 2019 Appl. Phys. Lett. 115 261605
Google Scholar
[26] Sheng K, Zhang B, Yuan H K, Wang Z Y 2022 Phys. Rev. B 105 195312
Google Scholar
[27] Cheng H X, Zhou J, Ji W, Zhang Y N, Feng Y P 2021 Phys. Rev. B 103 125121
Google Scholar
[28] Liu Y, Feng Y, Zhang T, He Z, Dai Y, Huang B, Ma Y 2023 Adv. Funct. Mater. 33 2305130
Google Scholar
[29] Zhang D, Li A, Chen X, Zhou W, Ouyang F 2022 Phys. Rev. B 105 085408
Google Scholar
[30] Li P, Liu B, Chen S, Zhang W X, Guo Z X 2024 Chin. Phys. B 33 017505
Google Scholar
[31] Luo C, Huang Z, Qiao H, Qi X, Peng X 2024 J. Phys. Mater. 7 022006
Google Scholar
[32] Šmejkal L, Sinova J, Jungwirth T 2022 Phys. Rev. X 12 031042
Google Scholar
[33] Šmejkal L, Sinova J, Jungwirth T 2022 Phys. Rev. X 12 040501
Google Scholar
[34] Šmejkal L, González-Hernández R, Jungwirth T, Sinova J 2020 Sci. Adv. 6 eaaz8809
Google Scholar
[35] Leeb V, Mook A, Šmejkal L, Knolle J 2024 Phys. Rev. Lett. 132 236701
Google Scholar
[36] Reimers S, Odenbreit L, Šmejkal L, Strocov V N, Constantinou P, Hellenes A B, Jaeschke Ubiergo R, Campos W H, Bharadwaj V K, Chakraborty A, Denneulin T, Shi W, Dunin-Borkowski R E, Das S, Kläui M, Sinova J, Jourdan M 2024 Nat. Commun. 15 2116
Google Scholar
[37] Ma H Y, Hu M, Li N, Liu J, Yao W, Jia J F, Liu J 2021 Nat. Commun. 12 2846
Google Scholar
[38] Yang G, Li Z, Yang S, Li J, Zheng H, Zhu W, Pan Z, Xu Y, Cao S, Zhao W, Jana A, Zhang J, Ye M, Song Y, Hu L H, Yang L, Fujii J, Vobornik I, Shi M, Yuan H, Zhang Y, Xu Y, Liu Y 2025 Nat. Commun. 16 1442
Google Scholar
[39] Zhu Y, Chen T, Li Y, Qiao L, Ma X, Liu C, Hu T, Gao H, Ren W 2024 Nano Lett. 24 472
Google Scholar
[40] Wu Y, Deng L, Yin X, Tong J, Tian F, Zhang X 2024 Nano Lett. 24 10534
Google Scholar
[41] Chen X, Wang D, Li L, Sanyal B 2023 Appl. Phys. Lett. 123 022402
Google Scholar
[42] Guo S D, Guo X S, Cheng K, Wang K, Ang Y S 2023 Appl. Phys. Lett. 123 082401
Google Scholar
[43] Li J Y, Fan A D, Wang, Y K, Zhang Y, Li S 2024 Appl. Phys. Lett. 125 222404
Google Scholar
[44] Jiang Y, Zhang X, Bai H, Tian Y, Zhang B, Gong W J, Kong X 2025 Appl. Phys. Lett. 126 053102
Google Scholar
[45] Tan C Y, Gao Z F, Yang H C, Liu Z X, Liu K, Guo P J, Lu Z Y 2025 Phys. Rev. B 111 094411
Google Scholar
[46] Zhang R W, Cui C, Li R, Duan J, Li L, Yu Z M, Yao Y 2024 Phys. Rev. Lett. 133 056401
Google Scholar
[47] Xie W, Xu X, Yue Y, Xia H, Wang H 2025 Phys. Rev. B 111 134429
Google Scholar
[48] Kresse G, Furthmüller J 1996 Comput. Mater. Sci. 6 15
Google Scholar
[49] Blöchl P E 1994 Phys. Rev. B 50 17953
Google Scholar
[50] Perdew J P, Burke K, Ernzerhof M 1996 Phys. Rev. Lett. 77 3865
Google Scholar
[51] Dudarev S L, Botton G A, Savrasov S Y, Humphreys C J, Sutton A P 1998 Phys. Rev. B 57 1505
Google Scholar
[52] Grimme S, Antony J, Ehrlich S, Krieg H 2010 J. Chem. Phys. 132 154104
Google Scholar
[53] Huang C, Feng J, Wu F, Ahmed D, Huang B, Xiang H, Deng K, Kan E 2018 J. Am. Chem. Soc. 140 11519
Google Scholar
[54] 李鑫焱, 李占海, 曹胜果, 韩佳凝, 范志强, 张振华 2024 中国科学: 物理学 力学 天文学 54 126811
Google Scholar
Li X Y, Li Z H, Cao S G, Han J N, Fan Z Q, Zhang Z H 2024 Sci. Sin. Phys. Mech. Astron. 54 126811
Google Scholar
[55] Seixas L, Rodin A S, Carvalho A, Castro Neto A H 2016 Phys. Rev. Lett. 116 206803
Google Scholar
[56] 刘水青, 李树宗, 司君山, 张卫兵 2023 中国科学: 物理学 力学 天文学 53 117311
Google Scholar
Liu S Q, Li S Z, Si J S, Zhang W B 2023 Sci. Sin. Phys. Mech. Astron. 53 117311
Google Scholar
-
图 1 V2Se2O单层的几何结构和能带结构, 以及谷极化、净磁矩和沿a轴方向的单轴应变三者之间的关系 (a) V2Se2O单层的晶体结构, 其中垂直方向的灰色平面为不同子晶格沿对角线方向的镜面对称平面$ {M_\phi } $; (b) V2Se2O单层的俯视图, 其中黑色虚线框表示原胞, 灰色虚线为沿对角线方向的镜面$ {M_\phi } $; (c) 两个V原子的局域八面体结构, 其中xyz为其中一个V原子的八面体局域坐标; (d) PBE+U (U = 4 eV)计算的自旋分解的能带结构, 其中内嵌图为第一布里渊区中的高对称点路径; (e) 沿a轴方向的单轴应变示意图; (f) UVB的谷极化和V原子之间的净磁矩$ \Delta M\left( {{{\text{V}}_{1}} - {{\text{V}}_{2}}} \right) $随a轴应变的变化, 其中内嵌图为谷极化随$ \Delta M\left( {{{\text{V}}_{1}} - {{\text{V}}_{2}}} \right) $的变化图
Fig. 1. Geometric and band structures of the V2Se2O monolayer, and the relationship among valley polarization, net magnetic moment, and uniaxial strain along the a-axis direction: (a) Crystal structure of monolayer V2Se2O, where the gray planes in the vertical direction represent the mirror symmetry planes $ {M_\phi } $ of different sublattices along the diagonal direction; (b) top view of the monolayer V2Se2O, where the black dashed box indicates the unit cell, and the gray dashed lines represent the mirror planes $ {M_\phi } $ along the diagonal direction; (c) local octahedral structure of two V atoms, where xyz represent the local octahedral coordinates of one V atom; (d) spin-polarized band structure calculated by PBE + U (U = 4 eV), where the inset shows the high-symmetry points and paths in the first Brillouin zone; (e) schematic illustration of uniaxial strain along the a-axis; (f) valley polarization of UVB and the net magnetic moment $ \Delta M\left( {{{\text{V}}_{1}} - {{\text{V}}_{2}}} \right) $ between V atoms as a function of a-axis strain, where the inset shows the variation of valley polarization with $ \Delta M\left( {{{\text{V}}_{1}} - {{\text{V}}_{2}}} \right) $.
图 2 VCrSe2O单层的稳定性分析和电子排列示意图 (a) 在VCrSe2O单层的2×2超胞中, V和Cr原子以1∶1比例可能存在的不同位点替换结构, 图中只标记出了V和Cr原子; (b) 不同替换结构的相对能量, 其中P1—P6对应图(a)中的6种结构, 以P1结构的能量作为参考点; (c) VCrSe2O单层P1结构的俯视图和侧视图, 其中灰色虚线为不同子晶格沿对角线方向的垂直镜面$ {M_\phi } $, 此时镜面对称破缺; (d) VCrSe2O单层的声子谱; (e) VCrSe2O单层在300 K下的AIMD; (f) 磁性原子V和Cr在局域畸变八面体下的能级分布和电子排列
Fig. 2. Stability analysis and schematic electronic configuration of the monolayer VCrSe2O: (a) Different substitution configurations in a 2×2 supercell of the VCrSe2O monolayer, where V and Cr atoms are located at different sites with a 1∶1 ratio, only V and Cr atoms are labeled; (b) relative energies of the different substitution configurations, where P1–P6 correspond to the six structures in panel (a), with the energy of the P1 structure taken as the reference; (c) top and side views of the P1 structure of monolayer VCrSe2O, where the gray dashed lines represent the vertical mirror planes $ {M_\phi } $ of different sublattices along the diagonal direction, here the mirror symmetry is broken; (d) phonon spectrum of the monolayer VCrSe2O; (e) AIMD simulation of the monolayer VCrSe2O at 300 K; (f) distribution of energy levels and electrons of the magnetic atoms V and Cr in the local distorted octahedra.
图 3 VCrSe2O单层的电子结构和轨道分布 (a) VCrSe2O单层的自旋密度俯视图和(b)侧视图, 其中等值面设为 0.05 e/Å3; (c) 自旋分解的能带结构和(d) SOC微扰后的能带结构, 其中磁化强度M平行于c轴, 黄色字体标记出了UVB的谷极化值; (e) V原子和Cr原子贡献的能带成分, 其中圆圈的大小表示权重; (f) Se原子贡献的能带成分
Fig. 3. Electronic structure and orbital distribution of the VCrSe2O monolayer: (a) Top view and (b) side view of spin density of monolayer VCrSe2O, where the isosurface is set to 0.05 e/Å3; (c) spin-resolved band structure and (d) SOC-perturbated band structure, where the magnetization M is parallel to c-axis and the value of valley polarization of the UVB is marked in yellow; (e) contributions of V and Cr atoms on band structure, where the size of the circles indicates the weight; (f) contributions of Se atoms on band structure.
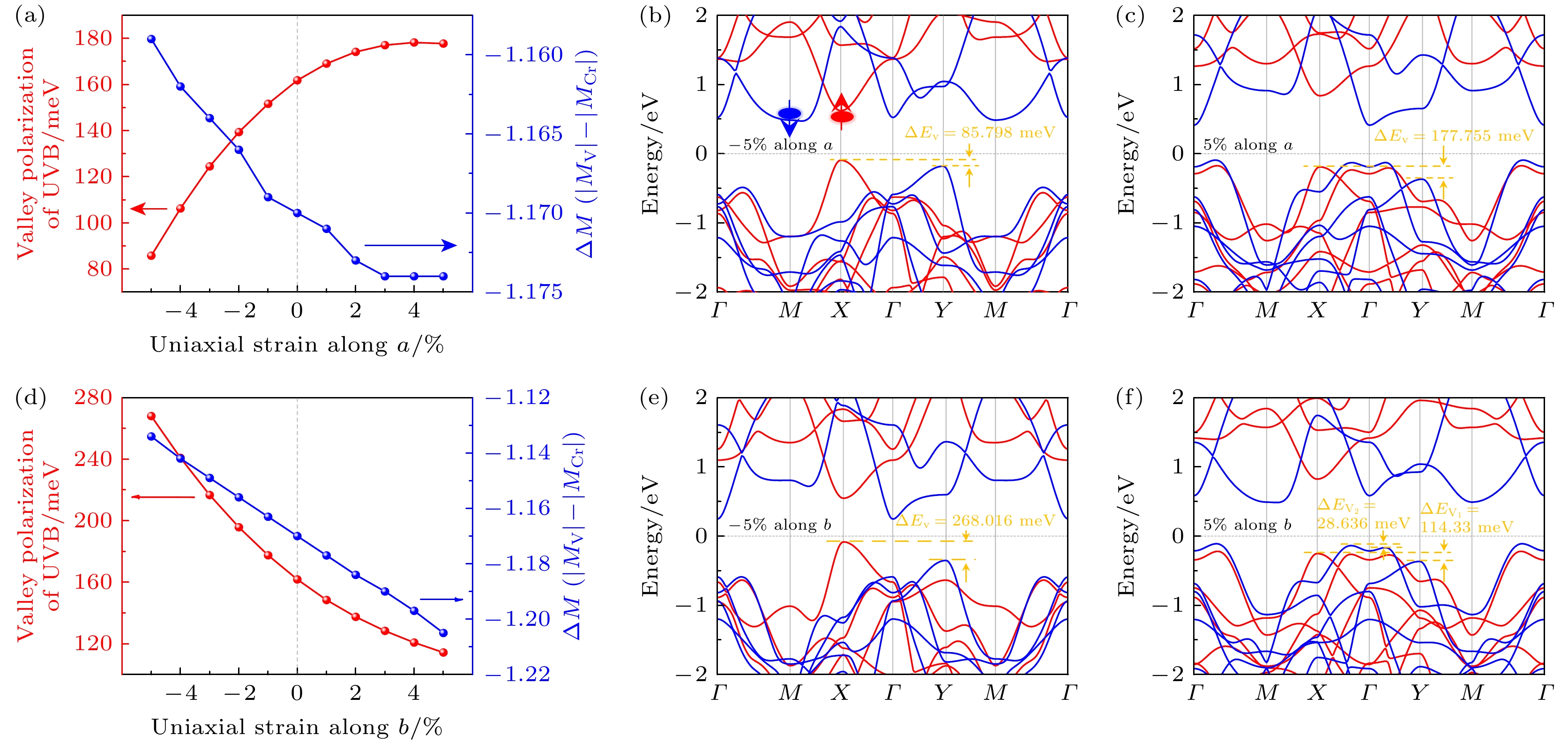
图 4 VCrSe2O单层沿a轴和b轴应变下的谷极化、净磁矩和能带结构 (a), (d) VCrSe2O单层沿a轴和b轴应变下, UVB的谷极化和$ \Delta M\left( {{\text{V}} - {\text{Cr}}} \right) $随单轴应变的变化; (b), (e) a轴和b轴在–5%压缩应变下自旋分解的能带结构; (c), (f) a轴和b轴在5%拉伸应变下自旋分解的能带结构. 能带图中用黄色字体分别标记出了对应单轴应变下的谷极化值
Fig. 4. Valley polarization, net magnetic moment and band structure of VCrSe2O monolayer under uniaxial strain along a-axis and b-axis directions: (a), (d) Variation of valley polarization of the UVB and $ \Delta M\left( {{\text{V}} - {\text{Cr}}} \right) $ with uniaxial strain along the a-axis and b-axis, respectively, for the monolayer VCrSe2O; (b), (e) the spin-resolved band structures under –5% compressive strain along the a-axis and b-axis, respectively; (c), (f) the spin-resolved band structures under 5% tensile strain along the a-axis and b-axis, respectively. On the band structures, the values of valley polarization corresponding to the relevant uniaxial strains are marked in yellow.
图 5 V2Se2O/SnO异质结的三种堆垛结构 (a)和(d), (b)和(e), (c)和(f)分别对应V2Se2O/SnO异质结三种堆垛结构的俯视图和侧视图, 其中虚线圆圈表示α-SnO层中上层的Sn原子, 黄色字体标记了不同堆垛方式下异质结的层间距离
Fig. 5. Three stacked configurations of V2Se2O/SnO heterojunctions: (a) and (d), (b) and (e), (c) and (f) correspond to the top and side views of three stacked structures of the V2Se2O/SnO heterojunction, respectively, where the dashed circles indicate the upper Sn atoms in the α-SnO layer and the interlayer distances of the heterojunctions under different stacked models are marked in yellow.
图 6 V2Se2O/SnO异质结三种堆垛方式下层分解的能带结构 (a)—(c) V2Se2O/SnO异质结三种堆垛方式下自旋分解的能带结构, 其中黄色字体标记了VSH3异质结LCB的谷极化值; (d)—(f)对应三种堆垛方式下层分解的能带结构, 其中色阶带表示相应层中自旋向上(红色)和自旋向下(蓝色)的电子在能带上的投影权重
Fig. 6. Layer-resolved band structures of V2Se2O/SnO heterojunctions corresponding to three stacked configurations: (a)–(c) The spin-resolved band structures of the V2Se2O/SnO heterojunction under three different stacked structures, respectively, where the values of valley polarization of the LCB in the VSH3 are marked in yellow; (d)–(f) correspond to the layer-resolved band structures for the three stacked structures, respectively, where the chromatic bands represent the weights of projected spin-up (red) and spin-down (blue) electrons on the bands in the relevant layers.
图 7 VSH3的谷极化和净磁矩随层间距离的变化, 以及层分解的能带结构 (a) VSH3中, LCB的谷极化和$ \Delta M\left( {{{\text{V}}_{1}} - {{\text{V}}_{2}}} \right) $随层间距离的变化; (b), (c) 层间距离压缩0.3和0.5 Å时, 自旋分解的能带结构, 其中黄色字体为LCB中谷极化值; (d) 层间距离压缩0.5 Å时, V2Se2O层贡献的能带结构, 其中色阶带表示自旋向上(红色)和自旋向下(蓝色)的电子在能带上的投影权重
Fig. 7. Valley polarization and net magnetic moment versus interlayer distance, and layer-resolved band structures in VSH3: (a) Variation of the valley polarization of the LCB and $ \Delta M\left( {{{\text{V}}_{1}} - {{\text{V}}_{2}}} \right) $ with interlayer distance in VSH3; (b), (c) the spin-resolved band structures under interlayer compression of 0.3 and 0.5 Å, respectively, where the values of valley polarization of the LCB are marked in yellow; (d) contribution of band from the V2Se2O layer under interlayer compression of 0.5 Å, where the chromatic bands represent the weights of projected spin-up (red) and spin-down (blue) electrons on the bands.
-
[1] Li L, Shao L, Liu X, Gao A, Wang H, Zheng B, Hou G, Shehzad K, Yu L, Miao F, Shi Y, Xu Y, Wang X 2020 Nat. Nanotechnol. 15 743
Google Scholar
[2] 孙真昊, 管鸿明, 付雷, 沈波, 唐宁 2021 物理学报 70 027302
Google Scholar
Sun Z H, Guan H M, Fu L, Shen B, Tang N 2021 Acta Phys. Sin. 70 027302
Google Scholar
[3] Schaibley J R, Yu H, Clark G, Rivera P, Ross J S, Seyler K L, Yao W, Xu X 2016 Nat. Rev. Mater. 1 16055
Google Scholar
[4] Xiao D, Liu G B, Feng W, Xu X, Yao W 2012 Phys. Rev. Lett. 108 196802
Google Scholar
[5] Xu X, Yao W, Xiao D, Heinz T F 2014 Nat. Phys. 10 343
Google Scholar
[6] MacNeill D, Heikes C, Mak K F, Anderson Z, Kormányos A, Zólyomi V, Park J, Ralph D C 2015 Phys. Rev. Lett. 114 037401
Google Scholar
[7] Li Y, Ludwig J, Low T, Chernikov A, Cui X, Arefe G, Kim Y D, Van Der Zande A M, Rigosi A, Hill H M, Kim S H, Hone J, Li Z, Smirnov D, Heinz T F 2014 Phys. Rev. Lett. 113 266804
Google Scholar
[8] Aivazian G, Gong Z, Jones A M, Chu R L, Yan J, Mandrus D G, Zhang C, Cobden D, Yao W, Xu X 2015 Nat. Phys. 11 148
Google Scholar
[9] Srivastava A, Sidler M, Allain A V, Lembke D S, Kis A, Imamoğlu A 2015 Nat. Phys. 11 141
Google Scholar
[10] Peng R, Ma Y, Zhang S, Huang B, Dai Y 2018 J. Phys. Chem. Lett. 9 3612
Google Scholar
[11] Zhou J, Lin J, Sims H, Jiang C, Cong C, Brehm J A, Zhang Z, Niu L, Chen Y, Zhou Y, Wang Y, Liu F, Zhu C, Yu T, Suenaga K, Mishra R, Pantelides S T, Zhu Z, Gao W, Liu Z, Zhou W 2020 Adv. Mater. 32 1906536
Google Scholar
[12] Matsuoka H, Habe T, Iwasa Y, Koshino M, Nakano M 2022 Nat. Commun. 13 5129
Google Scholar
[13] Zhong D, Seyler K L, Linpeng X, Wilson N P, Taniguchi T, Watanabe K, McGuire M A, Fu K M C, Xiao D, Yao W, Xu X 2020 Nat. Nanotechnol. 15 187
Google Scholar
[14] Abdollahi M, Tagani M B 2023 Phys. Rev. B 108 024427
Google Scholar
[15] Zhang W, Zhu H, Zhang W, Wang J, Zhang T, Yang S, Shao B, Zuo X 2024 Appl. Surf. Sci. 647 158986
Google Scholar
[16] Mak K F, McGill K L, Park J, McEuen P L 2014 Science 344 1489
Google Scholar
[17] Mak K F, He K, Shan J, Heinz T F 2012 Nat. Nanotechnol. 7 494
Google Scholar
[18] Hsu W T, Chen Y L, Chen C H, Liu P S, Hou T H, Li L J, Chang W H 2015 Nat. Commun. 6 8963
Google Scholar
[19] Tong W Y, Gong S J, Wan X, Duan C G 2016 Nat. Commun. 7 13612
Google Scholar
[20] Xie W, Zhang L, Yue Y, Li M, Wang H 2024 Phys. Rev. B 109 024406
Google Scholar
[21] Pan W 2022 Phys. Rev. B 106 125122
Google Scholar
[22] Zhao J, Zhang T, Peng R, Dai Y, Huang B, Ma Y 2022 J Phys. Chem. Lett. 13 8749
Google Scholar
[23] Feng X, Xu X, He Z, Peng R, Dai Y, Huang B, Ma Y 2021 Phys. Rev. B 104 075421
Google Scholar
[24] Xie W, Xu X, Li M, Wang H 2023 J Magn. Magn. Mater. 573 170662
Google Scholar
[25] Zhao P, Ma Y, Lei C, Wang H, Huang B, Dai Y 2019 Appl. Phys. Lett. 115 261605
Google Scholar
[26] Sheng K, Zhang B, Yuan H K, Wang Z Y 2022 Phys. Rev. B 105 195312
Google Scholar
[27] Cheng H X, Zhou J, Ji W, Zhang Y N, Feng Y P 2021 Phys. Rev. B 103 125121
Google Scholar
[28] Liu Y, Feng Y, Zhang T, He Z, Dai Y, Huang B, Ma Y 2023 Adv. Funct. Mater. 33 2305130
Google Scholar
[29] Zhang D, Li A, Chen X, Zhou W, Ouyang F 2022 Phys. Rev. B 105 085408
Google Scholar
[30] Li P, Liu B, Chen S, Zhang W X, Guo Z X 2024 Chin. Phys. B 33 017505
Google Scholar
[31] Luo C, Huang Z, Qiao H, Qi X, Peng X 2024 J. Phys. Mater. 7 022006
Google Scholar
[32] Šmejkal L, Sinova J, Jungwirth T 2022 Phys. Rev. X 12 031042
Google Scholar
[33] Šmejkal L, Sinova J, Jungwirth T 2022 Phys. Rev. X 12 040501
Google Scholar
[34] Šmejkal L, González-Hernández R, Jungwirth T, Sinova J 2020 Sci. Adv. 6 eaaz8809
Google Scholar
[35] Leeb V, Mook A, Šmejkal L, Knolle J 2024 Phys. Rev. Lett. 132 236701
Google Scholar
[36] Reimers S, Odenbreit L, Šmejkal L, Strocov V N, Constantinou P, Hellenes A B, Jaeschke Ubiergo R, Campos W H, Bharadwaj V K, Chakraborty A, Denneulin T, Shi W, Dunin-Borkowski R E, Das S, Kläui M, Sinova J, Jourdan M 2024 Nat. Commun. 15 2116
Google Scholar
[37] Ma H Y, Hu M, Li N, Liu J, Yao W, Jia J F, Liu J 2021 Nat. Commun. 12 2846
Google Scholar
[38] Yang G, Li Z, Yang S, Li J, Zheng H, Zhu W, Pan Z, Xu Y, Cao S, Zhao W, Jana A, Zhang J, Ye M, Song Y, Hu L H, Yang L, Fujii J, Vobornik I, Shi M, Yuan H, Zhang Y, Xu Y, Liu Y 2025 Nat. Commun. 16 1442
Google Scholar
[39] Zhu Y, Chen T, Li Y, Qiao L, Ma X, Liu C, Hu T, Gao H, Ren W 2024 Nano Lett. 24 472
Google Scholar
[40] Wu Y, Deng L, Yin X, Tong J, Tian F, Zhang X 2024 Nano Lett. 24 10534
Google Scholar
[41] Chen X, Wang D, Li L, Sanyal B 2023 Appl. Phys. Lett. 123 022402
Google Scholar
[42] Guo S D, Guo X S, Cheng K, Wang K, Ang Y S 2023 Appl. Phys. Lett. 123 082401
Google Scholar
[43] Li J Y, Fan A D, Wang, Y K, Zhang Y, Li S 2024 Appl. Phys. Lett. 125 222404
Google Scholar
[44] Jiang Y, Zhang X, Bai H, Tian Y, Zhang B, Gong W J, Kong X 2025 Appl. Phys. Lett. 126 053102
Google Scholar
[45] Tan C Y, Gao Z F, Yang H C, Liu Z X, Liu K, Guo P J, Lu Z Y 2025 Phys. Rev. B 111 094411
Google Scholar
[46] Zhang R W, Cui C, Li R, Duan J, Li L, Yu Z M, Yao Y 2024 Phys. Rev. Lett. 133 056401
Google Scholar
[47] Xie W, Xu X, Yue Y, Xia H, Wang H 2025 Phys. Rev. B 111 134429
Google Scholar
[48] Kresse G, Furthmüller J 1996 Comput. Mater. Sci. 6 15
Google Scholar
[49] Blöchl P E 1994 Phys. Rev. B 50 17953
Google Scholar
[50] Perdew J P, Burke K, Ernzerhof M 1996 Phys. Rev. Lett. 77 3865
Google Scholar
[51] Dudarev S L, Botton G A, Savrasov S Y, Humphreys C J, Sutton A P 1998 Phys. Rev. B 57 1505
Google Scholar
[52] Grimme S, Antony J, Ehrlich S, Krieg H 2010 J. Chem. Phys. 132 154104
Google Scholar
[53] Huang C, Feng J, Wu F, Ahmed D, Huang B, Xiang H, Deng K, Kan E 2018 J. Am. Chem. Soc. 140 11519
Google Scholar
[54] 李鑫焱, 李占海, 曹胜果, 韩佳凝, 范志强, 张振华 2024 中国科学: 物理学 力学 天文学 54 126811
Google Scholar
Li X Y, Li Z H, Cao S G, Han J N, Fan Z Q, Zhang Z H 2024 Sci. Sin. Phys. Mech. Astron. 54 126811
Google Scholar
[55] Seixas L, Rodin A S, Carvalho A, Castro Neto A H 2016 Phys. Rev. Lett. 116 206803
Google Scholar
[56] 刘水青, 李树宗, 司君山, 张卫兵 2023 中国科学: 物理学 力学 天文学 53 117311
Google Scholar
Liu S Q, Li S Z, Si J S, Zhang W B 2023 Sci. Sin. Phys. Mech. Astron. 53 117311
Google Scholar
计量
- 文章访问数: 1303
- PDF下载量: 108
- 被引次数: 0








下载: