-
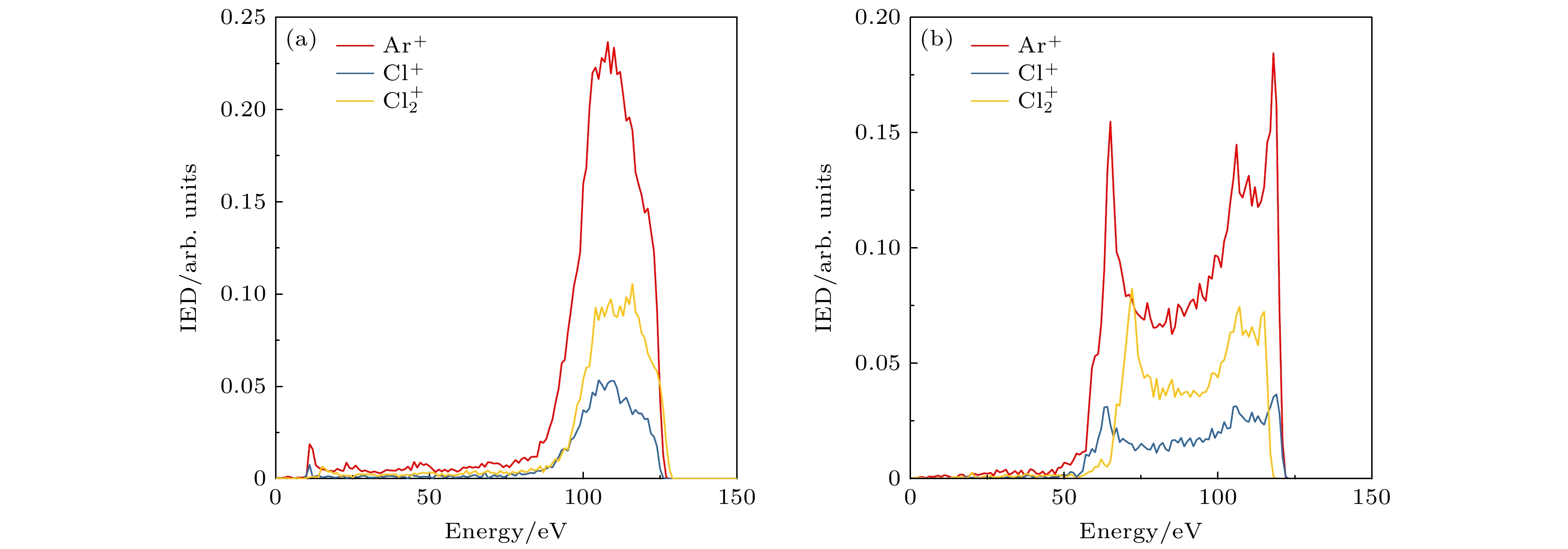
低温等离子体沉积与刻蚀技术在芯片制造、平板显示器和光伏等等离子体辅助制造领域中具有至关重要的作用. 而等离子体与材料之间的物理、化学相互作用机理, 是揭示工艺过程本质、优化制程参数、提升器件性能与可靠性的重要科学基础. 本工作基于流体混合模型并耦合表面形貌演化模型自洽模拟了不同放电参数下的等离子体放电特性以及沉积/刻蚀表面形貌, 并给出了一些研究实例的模拟结果与讨论. 在非晶硅薄膜沉积过程研究中发现, 等离子体放电过程所产生的电子密度径向分布不均匀, 会导致基片表面中性基团和离子通量分布乃至膜厚或膜质的不均匀. 其中, 离子能量分布还会影响薄膜中各元素的含量和成键情况, 进而影响薄膜质量和性能. 而在碳氟混合气体放电刻蚀SiO2研究中, 发现在裁剪电压波形的驱动下通过调节电极间距、谐波相位以及谐波次数, 可实现对离子与中性基团的灵活控制, 从而筛选出更优的放电参数以改善刻蚀效果. 在感性耦合氯混合气体刻蚀Si的过程中, 采用裁剪电压波形会使离子能量主要分布在高能区, 这能显著提高刻蚀效率. 综上, 通过混合模拟可以实现等离子体放电与沉积/刻蚀过程的自洽耦合, 总结离子与中性基团协同作用的本质规律, 为工艺与设备的优化提供参考.
-
关键词:
- 等离子体增强化学气相沉积 /
- 等离子体刻蚀 /
- 离子与中性基团协同作用
Low-temperature plasma deposition and etching technologies play a vital role in plasma-assisted manufacturing fields such as semiconductor chip fabrication, flat-panel displays, and photovoltaic devices. The physical and chemical interaction mechanisms between plasma and materials form the fundamental scientific basis for elucidating the nature of process dynamics, optimizing processing parameters, and improving device performance and reliability. In this work, by using a fluid hybrid model coupled with a surface profile evolution model, the plasma discharge characteristics and the deposition/etching surface profile under different discharge parameters are self-consistently simulated, and the simulation results and discussions of some research cases are also presented. During amorphous silicon thin-film deposition, it is found that the radial distribution of electron density generated in the plasma discharge process is non-uniform, which can lead to the non-uniform distribution of neutral and ion fluxes on the substrate surface, as well as the non-uniformity of film thickness or film quality. Moreover, the ion energy distribution strongly influences the composition and bonding configurations in the film, thereby affecting its quality and performance. In the studies of SiO2 etching using fluorocarbon mixed-gas discharges, it is found that under voltage waveform tailoring, adjusting the electrode gap, phase, and harmonic number can flexibly control ion and neutral fluxes. This allows the discharge parameters to be optimized in order to improve etching performance. During Si etching with inductively coupled Ar/Cl2 plasma, the application of tailored bias waveform causes the ion energy to accumulate predominantly in the high-energy range, which can significantly enhance etching efficiency. In summary, this work systematically investigates how the self-consistent coupling between plasma discharge and deposition/etching processes can be achieved through the hybrid simulation, while further elucidating the essential synergistic roles of ions and neutral radicals. It is hoped that these findings will serve as valuable references for the optimizing plasma processes and equipment. -
Keywords:
- plasma-enhanced chemical vapor deposition /
- plasma etching /
- synergistic effect of ions and neutrals
[1] 帕斯卡·夏伯特, 尼古拉斯·布雷斯韦 著 (王友年, 徐军, 宋远红 译) 2015 射频等离子体物理学(北京: 科学出版社)
Chabert P, Braithwait N (translated by Wang Y N, Xu J, Song Y H) 2015 Physics of Radio-Frequency Plasmas (Beijing: Science Press
[2] 力伯曼, 里登伯格 著 (蒲以康 译) 2007 等离子体放电原理与材料处理(北京: 科学出版社)
Lieberman M A, Lichtenberg A J (translated by Pu Y K) 2007 Principles of Plasma Discharges and Material Processing (Beijing: Science Press
[3] Vossen J L, Kern W 1991 Thin Film Processes II (Academic Press) p525
[4] Yu C, Gao K, Peng C W, He C R, Wang S B, Shi W, Allen V, Zhang J T, Wang D Z, Tian G Y, Zhang Y F, Jia W Z, Song Y H, Hu Y Z, Colwell J, Xing C F, Ma Q, Wu H T, Guo L Y, Dong G Q, Jiang H, Wu H H, Wang X Y, Xu D C, Li K, Peng J, Liu W Z, Chen D, Lennon A, Cao X M, De Wolf S, Zhou J, Yang X B, Zhang X H 2023 Nat. Energy 8 1375
Google Scholar
[5] Huang S, Huard C, Shim S, Nam S K, Song I C, Lu S Q, Kushner M J 2019 J. Vacuum Sci. Technol. A 37 031304
Google Scholar
[6] Ma X Q, Zhang S Q, Dai Z L, Wang Y N 2017 Plasma Sci. Technol. 19 085502
Google Scholar
[7] Huard C M, Sriraman S, Paterson A, Kushner M J 2018 J. Vacuum Sci. Technol. A 36 06B101
Google Scholar
[8] Huard C M, Zhang Y T, Sriraman S, Paterson A, Kanarik K J, Kushner M J 2017 J. Vacuum Sci. Technol. A 35 031306
Google Scholar
[9] Huard C M 2018 Ph. D. Dissertation (Ann Arbor: University of Michigan
[10] Funde A M 2011 Ph. D. Dissertation (Maharashtra: Pune University
[11] Matsuda A, Goto T 1989 MRS Online Proceedings Library 164 3
Google Scholar
[12] Matsuda A 1983 J. Non-Cryst. Solids 59 767
[13] Matsuda A 2004 J. Non-Cryst. Solids 338 1
[14] Crose M G 2018 Ph. D. Dissertation (University of California
[15] Tinck S, Bogaerts A 2012 Plasma Process. Polym. 9 522
Google Scholar
[16] Kim H J 2021 Plasma Sources Sci. Technol. 30 065001
Google Scholar
[17] Kim H J, Lee K, Park H 2023 Plasma Sources Sci. Technol. 32 115008
Google Scholar
[18] Kim H J, Kim J S, Lee H J 2019 J. Appl. Phys. 126 173301
Google Scholar
[19] Kim H J, Lee H J 2016 Plasma Sources Sci. Technol. 25 065006
Google Scholar
[20] Donkó Z, Schulze J, Heil B G, Czarnetzki U 2009 J. Phys. D. Appl. Phys. 42 025205
Google Scholar
[21] Schulze J, Schungel E, Czarnetzki U 2009 J. Phys. D: Appl. Phys. 42 092005
Google Scholar
[22] Czarnetzki U, Heil B J, Schulze J, Donkó Z, Mussenbrock T, Brinkmann R P, 2009 J. Phys. : Conf. Ser. 162 012010
Google Scholar
[23] Schulze J, Schungel E, Czarnetzki U 2011 Plasma Sources Sci. Technol. 20 015017
Google Scholar
[24] Schulze J, Derzsi A, Donkó Z 2011 Plasma Sources Sci. Technol. 20 045008
Google Scholar
[25] Bruneau B, Lafleur T, Gans T, Connell D O’, Greb A, Korolov I, Derzsi A, Donkó Z, Brandt S, Schüngel E, Schulze J, Diomede P, Economou D J, Longo S, Johnson E V, Booth J P 2016 Plasma Sources Sci. Technol. 25 01LT02
Google Scholar
[26] Bruneau B, Novikova T, Lafleur T, Booth J P, Johnson E V 2014 Plasma Sources Sci. Technol. 23 065010
Google Scholar
[27] Ju S P, Weng C I, Chang J G, Hwang C C 2002 Am. Vacuum Soc. 20 946
[28] 翟世铭, 廖黄盛, 周耐根, 黄海宾, 周浪 2020 物理学报 69 076801
Google Scholar
Zhai S M, Liao H S, Zhou N G, Huang H B, Zhou L 2020 Acta Phys. Sin. 69 076801
Google Scholar
[29] 阮聪, 孙晓民, 宋亦旭 2015 物理学报 64 038201
Google Scholar
Ruan C, Sun X M, Song Y X 2015 Acta Phys. Sin. 64 038201
Google Scholar
[30] 贾文柱 2018 博士学位论文(大连: 大连理工大学)
Jia W Z 2018 Ph. D. Dissertation (Dalian: Dalian University of Technology
[31] 董婉 2022 博士学位论文(大连: 大连理工大学)
Dong W 2022 Ph. D. Dissertation (Dalian: Dalian University of Technology
[32] Zhang Y F, Dong W, Jia W Z, Song Y H 2025 Plasma Sources Sci. Technol. 34 065011
Google Scholar
[33] 张逸凡 2025 博士学位论文(大连: 大连理工大学)
Zhang Y F 2025 Ph. D. Dissertation (Dalian: Dalian University of Technology
[34] Dong W, Zhang Y F, Dai Z L, Schulze J, Song Y H, Wang Y N 2022 Plasma Sources Sci. Technol. 31 025006
Google Scholar
[35] Dong W, Song L Q, Zhang Y F, Wang L, Song Y H, Schulze J 2025 Plasma Process. Polym. 22 70026
Google Scholar
[36] 宋柳琴, 贾文柱, 董婉, 张逸凡, 戴忠玲, 宋远红 2022 物理学报 71 170201
Google Scholar
Song L Q, Jia W Z, Dong W, Zhang Y F, Dai Z L, Song Y H 2022 Acta Phys. Sin. 71 170201
Google Scholar
[37] Qu C H, Sakiyama Y, Agarwal P, Kushner M J 2021 J. Vac. Sci. Technol. A 39 052403
Google Scholar
[38] MA Z Q 2007 Int. J. Mod. Phys. B 21 4299
Google Scholar
[39] Amanatides E, Stamou S, Mataras D 2001 J. Appl. Phys. 90 5786
Google Scholar
[40] Kessels W M M, van de Sanden M C M, Severens R J, Schram D C 2000 J. Appl. Phys. 87 3313
Google Scholar
[41] Fukawa M, Suzuki S, Guo L H, Kondo M, Matsuda A 2001 Sol. Energy Mater. Sol. Cells 66 217
Google Scholar
[42] Abe Y, Ishikawa K, Takeda K, Tsutsumi T, Fukushima A, Kondo H, Sekine M, Hori M 2017 Appl. Phys. Lett. 110 043902
Google Scholar
-
图 1 不同气压(2—4 Torr)下, SiH4/H2混合气体放电中, 放电条件为电极长度11 cm, 电极间距2 cm, 驱动频率13.56 MHz, 电压幅值50 V, 气体比例固定为SiH4/H2 = 1/9 (a)—(c) 周期平均电子密度; (d)—(f) SiH3基团密度的空间分布
Fig. 1. In the discharge of SiH4/H2 at different pressures (2–4 Torr), the discharge conditions are two parallel plates with a length of 11 cm and a distance of 2 cm between them, driving frequency is 13.56 MHz and a voltage amplitude of 50 V, and SiH4/H2 gas ratio is fixed at 1/9: (a)–(c) Period-averaged electron density; (d)–(f) spatial distribution of SiH3 density.
图 3 不同气压(2—4 Torr)下SiH4/H2混合气体放电中的离子能量分布, 放电条件与图1一致 (a) 径向中心处; (b) 电极边缘处接地电极表面
Fig. 3. The ion energy distribution in SiH4/H2 mixed gas discharge at different pressures (2–4 Torr): (a) At the radial center; (b) ground the electrode surface at the edge of the electrode; the discharge conditions are the same as in Fig. 1.
图 5 SiH4/H2混合气体放电中, 不同SiH4含量(10%—90%)下(a)—(c) 周期平均电子密度和(d)—(f) SiH3基团密度的空间分布. 放电条件: 电极长度 11 cm, 电极间距2 cm, 驱动频率13.56 MHz, 电压幅值50 V, 气压2 Torr
Fig. 5. Spatially resolved and RF period-averaged electron density (a)–(c) and SiH3 density (d)–(f) for different SiH4 contents (10%–90%). Discharge condition: Two parallel plates with a length of 11 cm and a distance of 2 cm between them. The frequency used in this work is 13.56 MHz and a voltage amplitude of 50 V. The discharge pressure is 2 Torr.
图 7 不同SiH4含量(10%—90%)下SiH4/H2混合气体放电中(a) 径向中心处和(b) 电极边缘处接地电极表面的离子能量分布, 放电条件与图5一致
Fig. 7. The ion energy distribution in SiH4/H2 mixed gas discharge at different SiH4 contents (from 10% to 90%): (a) At the radial center; (b) ground the electrode surface at the edge of the electrode. The discharge conditions are the same as in Fig. 5.
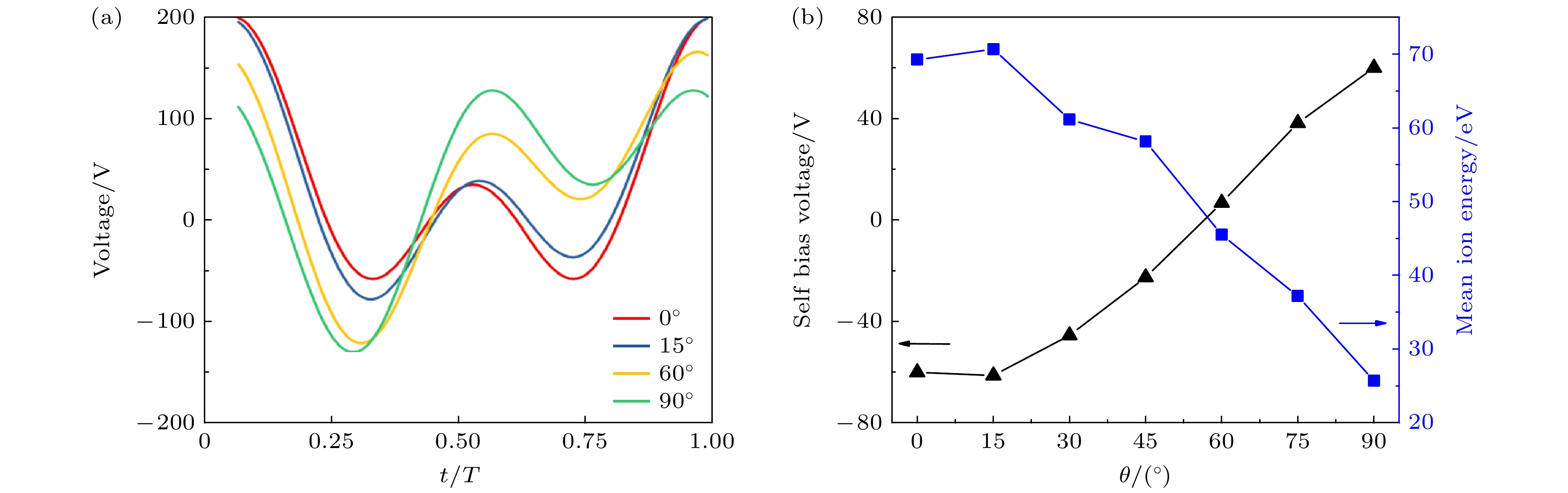
图 13 刻蚀时间为150 s时, 在接地电极处的刻蚀形貌 (a) N = 1, (b) N = 2, (c) N = 3; 在功率电极处的刻蚀形貌 (d) N = 1, (e) N = 2, (f) N = 3; 放电条件与图3相同, 灰色部分为光刻胶, 黑色部分为SiO2, 其余颜色表示材料表面上的聚合物或钝化层[35]
Fig. 13. Etching profiles at the grounded electrode for (a) N = 1, (b) N = 2, (c) N = 3; and at the powered electrode for (d) N = 1, (e) N = 2, (f) N = 3 after an etching time of 150 s, the discharge conditions are the same as those in Fig. 3, grey material is the photoresist, black material is SiO2, other colors represent polymer or passivation layers on the material surface[35].
图 14 N = 1, 2, 3 (a) 功率电极与接地电极处的总离子通量; (b) CF2, CF和H通量之和; (c) 中性通量与离子通量比值$ (({\varGamma}_{{\text{CF}}_{2}}+ $$ {\varGamma}_{\text{CF}}+\varGamma_{\text{H}})/{\varGamma}_{{i}, \text{Total}}) $; (d) 平均离子能量[35]
Fig. 14. Total ion flux (a), the sum of the CF2, CF and H fluxes (b), the Syn value (defined as $ (({\varGamma}_{{\text{CF}}_{2}}+{\varGamma}_{\text{CF}}+\varGamma_{\text{H}})/{\varGamma}_{{i}, \text{Total}}) $ (c) , and the mean ion energy (d) at the powered and the grounded electrodes at N = 1, 2, 3[35].
-
[1] 帕斯卡·夏伯特, 尼古拉斯·布雷斯韦 著 (王友年, 徐军, 宋远红 译) 2015 射频等离子体物理学(北京: 科学出版社)
Chabert P, Braithwait N (translated by Wang Y N, Xu J, Song Y H) 2015 Physics of Radio-Frequency Plasmas (Beijing: Science Press
[2] 力伯曼, 里登伯格 著 (蒲以康 译) 2007 等离子体放电原理与材料处理(北京: 科学出版社)
Lieberman M A, Lichtenberg A J (translated by Pu Y K) 2007 Principles of Plasma Discharges and Material Processing (Beijing: Science Press
[3] Vossen J L, Kern W 1991 Thin Film Processes II (Academic Press) p525
[4] Yu C, Gao K, Peng C W, He C R, Wang S B, Shi W, Allen V, Zhang J T, Wang D Z, Tian G Y, Zhang Y F, Jia W Z, Song Y H, Hu Y Z, Colwell J, Xing C F, Ma Q, Wu H T, Guo L Y, Dong G Q, Jiang H, Wu H H, Wang X Y, Xu D C, Li K, Peng J, Liu W Z, Chen D, Lennon A, Cao X M, De Wolf S, Zhou J, Yang X B, Zhang X H 2023 Nat. Energy 8 1375
Google Scholar
[5] Huang S, Huard C, Shim S, Nam S K, Song I C, Lu S Q, Kushner M J 2019 J. Vacuum Sci. Technol. A 37 031304
Google Scholar
[6] Ma X Q, Zhang S Q, Dai Z L, Wang Y N 2017 Plasma Sci. Technol. 19 085502
Google Scholar
[7] Huard C M, Sriraman S, Paterson A, Kushner M J 2018 J. Vacuum Sci. Technol. A 36 06B101
Google Scholar
[8] Huard C M, Zhang Y T, Sriraman S, Paterson A, Kanarik K J, Kushner M J 2017 J. Vacuum Sci. Technol. A 35 031306
Google Scholar
[9] Huard C M 2018 Ph. D. Dissertation (Ann Arbor: University of Michigan
[10] Funde A M 2011 Ph. D. Dissertation (Maharashtra: Pune University
[11] Matsuda A, Goto T 1989 MRS Online Proceedings Library 164 3
Google Scholar
[12] Matsuda A 1983 J. Non-Cryst. Solids 59 767
[13] Matsuda A 2004 J. Non-Cryst. Solids 338 1
[14] Crose M G 2018 Ph. D. Dissertation (University of California
[15] Tinck S, Bogaerts A 2012 Plasma Process. Polym. 9 522
Google Scholar
[16] Kim H J 2021 Plasma Sources Sci. Technol. 30 065001
Google Scholar
[17] Kim H J, Lee K, Park H 2023 Plasma Sources Sci. Technol. 32 115008
Google Scholar
[18] Kim H J, Kim J S, Lee H J 2019 J. Appl. Phys. 126 173301
Google Scholar
[19] Kim H J, Lee H J 2016 Plasma Sources Sci. Technol. 25 065006
Google Scholar
[20] Donkó Z, Schulze J, Heil B G, Czarnetzki U 2009 J. Phys. D. Appl. Phys. 42 025205
Google Scholar
[21] Schulze J, Schungel E, Czarnetzki U 2009 J. Phys. D: Appl. Phys. 42 092005
Google Scholar
[22] Czarnetzki U, Heil B J, Schulze J, Donkó Z, Mussenbrock T, Brinkmann R P, 2009 J. Phys. : Conf. Ser. 162 012010
Google Scholar
[23] Schulze J, Schungel E, Czarnetzki U 2011 Plasma Sources Sci. Technol. 20 015017
Google Scholar
[24] Schulze J, Derzsi A, Donkó Z 2011 Plasma Sources Sci. Technol. 20 045008
Google Scholar
[25] Bruneau B, Lafleur T, Gans T, Connell D O’, Greb A, Korolov I, Derzsi A, Donkó Z, Brandt S, Schüngel E, Schulze J, Diomede P, Economou D J, Longo S, Johnson E V, Booth J P 2016 Plasma Sources Sci. Technol. 25 01LT02
Google Scholar
[26] Bruneau B, Novikova T, Lafleur T, Booth J P, Johnson E V 2014 Plasma Sources Sci. Technol. 23 065010
Google Scholar
[27] Ju S P, Weng C I, Chang J G, Hwang C C 2002 Am. Vacuum Soc. 20 946
[28] 翟世铭, 廖黄盛, 周耐根, 黄海宾, 周浪 2020 物理学报 69 076801
Google Scholar
Zhai S M, Liao H S, Zhou N G, Huang H B, Zhou L 2020 Acta Phys. Sin. 69 076801
Google Scholar
[29] 阮聪, 孙晓民, 宋亦旭 2015 物理学报 64 038201
Google Scholar
Ruan C, Sun X M, Song Y X 2015 Acta Phys. Sin. 64 038201
Google Scholar
[30] 贾文柱 2018 博士学位论文(大连: 大连理工大学)
Jia W Z 2018 Ph. D. Dissertation (Dalian: Dalian University of Technology
[31] 董婉 2022 博士学位论文(大连: 大连理工大学)
Dong W 2022 Ph. D. Dissertation (Dalian: Dalian University of Technology
[32] Zhang Y F, Dong W, Jia W Z, Song Y H 2025 Plasma Sources Sci. Technol. 34 065011
Google Scholar
[33] 张逸凡 2025 博士学位论文(大连: 大连理工大学)
Zhang Y F 2025 Ph. D. Dissertation (Dalian: Dalian University of Technology
[34] Dong W, Zhang Y F, Dai Z L, Schulze J, Song Y H, Wang Y N 2022 Plasma Sources Sci. Technol. 31 025006
Google Scholar
[35] Dong W, Song L Q, Zhang Y F, Wang L, Song Y H, Schulze J 2025 Plasma Process. Polym. 22 70026
Google Scholar
[36] 宋柳琴, 贾文柱, 董婉, 张逸凡, 戴忠玲, 宋远红 2022 物理学报 71 170201
Google Scholar
Song L Q, Jia W Z, Dong W, Zhang Y F, Dai Z L, Song Y H 2022 Acta Phys. Sin. 71 170201
Google Scholar
[37] Qu C H, Sakiyama Y, Agarwal P, Kushner M J 2021 J. Vac. Sci. Technol. A 39 052403
Google Scholar
[38] MA Z Q 2007 Int. J. Mod. Phys. B 21 4299
Google Scholar
[39] Amanatides E, Stamou S, Mataras D 2001 J. Appl. Phys. 90 5786
Google Scholar
[40] Kessels W M M, van de Sanden M C M, Severens R J, Schram D C 2000 J. Appl. Phys. 87 3313
Google Scholar
[41] Fukawa M, Suzuki S, Guo L H, Kondo M, Matsuda A 2001 Sol. Energy Mater. Sol. Cells 66 217
Google Scholar
[42] Abe Y, Ishikawa K, Takeda K, Tsutsumi T, Fukushima A, Kondo H, Sekine M, Hori M 2017 Appl. Phys. Lett. 110 043902
Google Scholar
计量
- 文章访问数: 1191
- PDF下载量: 74
- 被引次数: 0








下载: