2024 Vol. 73, No. 14
column
- REVIEW
- GENERAL
- NUCLEAR PHYSICS
- ATOMIC AND MOLECULAR PHYSICS
- ELECTROMAGNETISM, OPTICS, ACOUSTICS, HEAT TRANSFER, CLASSICAL MECHANICS, AND FLUID DYNAMICS
- PHYSICS OF GASES, PLASMAS, AND ELECTRIC DISCHARGES
- CONDENSED MATTER: STRUCTURAL, MECHANICAL, AND THERMAL PROPERTIES
- COVER ARTICLE
- CONDENSED MATTER: ELECTRONIC STRUCTURE, ELECTRICAL, MAGNETIC, AND OPTICAL PROPERTIES
- INTERDISCIPLINARY PHYSICS AND RELATED AREAS OF SCIENCE AND TECHNOLOGY
Display Method:
2024, 73(14): 144402.
doi: 10.7498/aps.73.20240629
Abstract:
Thermophotovoltaic (TPV) device converts thermal radiation into electricity output through photovoltaic effect. High-efficiency TPV devices have extensive applications in grid-scale thermal storage, full-spectrum solar utilization, distributed thermal-electricity cogeneration, and waste heat recovery. The key to high-efficiency TPV devices lies in spectral regulation to achieve band-matching between thermal radiation of the emitters and electron transition of the photovoltaic cells. The latest advances in nanophotonics, materials science, and artificial intelligence have made milestone progress in spectral regulation and recording power conversion efficiency of up to 40% of TPV devices. Here we systematically review spectral regulation in TPV devices at the emitter end as well as the photovoltaic cell end. At the emitter end, spectral regulation is realized through thermal metamaterials and rare-earth intrinsic emitters to selectively enhance the in-band radiation and suppress the sub-bandgap radiation. At the photovoltaic cell end, spectral regulation mainly focuses on recycling the sub-bandgap thermal radiation through optical filters and back surface reflectors located at the front and back of the photovoltaic cells, respectively. We emphasize the light-matter interaction mechanisms and material systems of different spectral regulation strategies. We also discuss the spectral regulation strategies in near-field TPV devices. Finally, we look forward to potential development paths and prospects of spectral regulation to achieve scalable deployment of future TPV devices.
Thermophotovoltaic (TPV) device converts thermal radiation into electricity output through photovoltaic effect. High-efficiency TPV devices have extensive applications in grid-scale thermal storage, full-spectrum solar utilization, distributed thermal-electricity cogeneration, and waste heat recovery. The key to high-efficiency TPV devices lies in spectral regulation to achieve band-matching between thermal radiation of the emitters and electron transition of the photovoltaic cells. The latest advances in nanophotonics, materials science, and artificial intelligence have made milestone progress in spectral regulation and recording power conversion efficiency of up to 40% of TPV devices. Here we systematically review spectral regulation in TPV devices at the emitter end as well as the photovoltaic cell end. At the emitter end, spectral regulation is realized through thermal metamaterials and rare-earth intrinsic emitters to selectively enhance the in-band radiation and suppress the sub-bandgap radiation. At the photovoltaic cell end, spectral regulation mainly focuses on recycling the sub-bandgap thermal radiation through optical filters and back surface reflectors located at the front and back of the photovoltaic cells, respectively. We emphasize the light-matter interaction mechanisms and material systems of different spectral regulation strategies. We also discuss the spectral regulation strategies in near-field TPV devices. Finally, we look forward to potential development paths and prospects of spectral regulation to achieve scalable deployment of future TPV devices.
2024, 73(14): 140201.
doi: 10.7498/aps.73.20240401
Abstract:
In this paper, we develop a nonadiabatic molecular dynamics method based on Su-Schriffer-Heeger (SSH) Hamiltonian, and this method is widely used to study the photoexcitation dynamics and polaron motion in conjugated polymers. However, in this method, the time-dependent Schrödinger equation has so far been solved in a diabatic representation, also known as site representation. In order to provide a deeper insight into the nonadiabatic molecular dynamics method, we solve the time-dependent Schrödinger equation in an adiabatic representation. The new method can directly provide the important information about the strength of nonadiabatic couplings between different molecular orbitals in the excited-state relaxation process, helping us to predict the electron and energy transfer within or between polymer chains. Solving the time-dependent Schrödinger equation in an adiabatic representation is much more complicated, it is mainly because we need to calculate the nonadiabatic couplings between different molecular orbitals. In this paper, the detailed formula derivation and actual calculation process of the nonadiabatic molecular dynamics method in an adiabatic representation are given. Using this new method, we simulate three photoexcitation processes in a conjugated polymer chain, HOMO→LUMO, HOMO–1→LUMO+1 and HOMO–2→LUMO+2. We analyze in detail the time evolutions of lattice configuration for these three photoexcitation processes, and compare these results with those obtained by diabatic representation (site representation) showing that the results obtained from these two representations are consistent with each other.
2024, 73(14): 140301.
doi: 10.7498/aps.73.20240535
Abstract:
According to the recent experimental progress of simulating energy band topology and dynamic quantum phase transitions (DQPTs) in ultracold atomic systems, we develop a periodically driven one-dimensional (1D) Raman lattice system to simulate dynamic topological phenomena. By utilizing amplitude-periodically modulated Raman beams to couple the\begin{document}$ \{^1{{\mathrm{S}}}_0, {}^3{{\mathrm{P}}}_1\} $\end{document} ![]()
![]()
manifolds of alkaline-earth-like atoms \begin{document}$^{171}{\rm{Yb}}$\end{document} ![]()
![]()
, we can realize the desired periodically driven Raman lattice. Utilizing the single-band, tight-binding Hamiltonian of the time- periodic system, we analytically determine the effective Floquet Hamiltonian and the micromotion operator. These allow us to investigate the conditions under which Floquet dynamic quantum phase transitions and dynamic skyrmion structures emerge at any driving frequency in the 1D Raman lattice. When the corresponding vector trajectory of the effective Floquet Hamiltonian has a non-zero winding number (\begin{document}$\nu \neq 0$\end{document} ![]()
![]()
), the system exhibits both Floquet dynamic quantum phase transitions and dynamic skyrmion structures. For \begin{document}$\nu =0$\end{document} ![]()
![]()
, Floquet dynamic quantum phase transitions may still occur, but dynamic skyrmion structures will definitely disappear. Therefore, the topologically nontrivial nature of the effective Floquet Hamiltonian is a sufficient but not necessary condition for the onset of the Floquet dynamic quantum phase transitions. But it is a necessary and sufficient condition for the onset of the dynamical skyrmion structures.
According to the recent experimental progress of simulating energy band topology and dynamic quantum phase transitions (DQPTs) in ultracold atomic systems, we develop a periodically driven one-dimensional (1D) Raman lattice system to simulate dynamic topological phenomena. By utilizing amplitude-periodically modulated Raman beams to couple the
2024, 73(14): 140701.
doi: 10.7498/aps.73.20240224
Abstract:
Spectroscopic analysis technique is an indispensable tool in many disciplines such as biomedical research, materials science, and remote sensing. Traditional benchtop spectrometers have several drawbacks; bulky, complex, and expensive, making them ineffective for emerging applications such as wearable health monitoring and Lab-on-Chip systems. Compared with bulky desktop spectrometers, integrated chip-level spectrometers find many applications in portable health monitoring, environmental sensing, and other scenarios. We design an on-chip spectrometer based on a silicon photonics platform. The device consists of a silicon photonic filter with a reconfigurable transmission spectrum. By changing the transmission spectrum of the filter, the multiple and diverse sampling of the input spectrum can be obtained. Using an artificial neural network algorithm, the incident spectrum is reconstructed from the sampled signals. The reconfigurable silicon photonic filter is composed of intercoupled Mach-Zehnder interferometer and micro-ring resonator. The introduction of thermal-optic phase shifter facilitates the reconstruction of the transmission spectrum of filter. Through this approach, a response function encompassing diverse features of broad and narrow spectra can be obtained from a single reconfigurable filter, eliminating the need for a filter array and significantly reducing the footprint of the spectrometer. Simulation results demonstrate that the designed device can achieve continuous and sparse spectrum reconstruction in a wavelength range of 1500–1600 nm, with a resolution of approximately 0.2 nm. On a test set composed of synthetic spectra, the calculated average RMSE for the reconstructed spectra is 0.0075, with an average relative error of 0.0174. Owing to the reconfigurable nature of the silicon photonic filter, this device exhibits the ability to flexibly adjust the number of sampling channels, thus enabling users to configure the chip according to specific application scenarios. This device possesses significant potential applications such as in wearable optical sensors and portable spectrometers.
2024, 73(14): 142501.
doi: 10.7498/aps.73.20240563
Abstract:
Experimental study of physical quantities after fission provides crucial insights into the fission process, which is an indispensable way to test the fission theory. The characteristics of primary fission products before beta decay are of great value in unraveling fission kinematics and nuclear energy applications. However, the measurement of the fragment charge has always been challenging. Multi-parameter studies related to nuclear charge remain relatively scarce. The deexcitation of the primary fission products may undergo internal conversion and is often accompanied by characteristic X-ray emissions. Therefore, the correlated measurement of fragment kinetic energy and K X-rays for 252Cf spontaneous fission is conducted. A silicon surface barrier detector is used to measure the fragment kinetic energy, while two low-energy high-pure germanium detectors are utilized for K X-ray measurement. Identification of fission fragments with Z = 39–62 is realized through characteristic K X-rays with a charge resolution of ΔZ ≈ 0.7. Fission fragment K X-ray yields exhibit a strong charge correlation, with an odd-even effect factor of about 13%. Based on K X-rays, the post-neutron-emission average kinetic energy, average total kinetic energy\begin{document}$(\langle \rm TKE\rangle) $\end{document} ![]()
![]()
, and its dispersion (\begin{document}$ {\sigma }_{{\mathrm{T}}{\mathrm{K}}{\mathrm{E}}} $\end{document} ![]()
![]()
) of fission fragments are determined each as a function of nuclear charge. The kinetic energy distribution of light fragments shows a pronounced odd-even effect, with even-Z elements exhibiting kinetic energy enhanced by about 0.48 MeV compared with odd-Z fragments. The peak of the \begin{document}$(\langle\rm TKE\rangle) $\end{document} ![]()
![]()
distribution is nearly Z = 52–53, while the minimum of the \begin{document}$ {\sigma }_{{\mathrm{T}}{\mathrm{K}}{\mathrm{E}}} $\end{document} ![]()
![]()
appears near Z = 56, indicating the significant influence of deformed shells in the highly asymmetric fission region. The post-neutron kinetic energy distribution of fission fragments from 252Cf (sf) is calculated by using the GEF model and CGMF model. The CGMF model effectively reproduces the overall trend of kinetic energy as a function of charge number, while the results of the GEF calculation are systematically higher than the experimental values. Nonetheless, these two phenomenological models make it difficult to quantitatively describe the kinetic energy distribution of fission fragments accurately. In this study, the insights into K X-ray emissions and kinetic energy-nuclear charge relationships provide valuable reference data for independently measuring the fission yields and verifying the theoretical models of fission.
Experimental study of physical quantities after fission provides crucial insights into the fission process, which is an indispensable way to test the fission theory. The characteristics of primary fission products before beta decay are of great value in unraveling fission kinematics and nuclear energy applications. However, the measurement of the fragment charge has always been challenging. Multi-parameter studies related to nuclear charge remain relatively scarce. The deexcitation of the primary fission products may undergo internal conversion and is often accompanied by characteristic X-ray emissions. Therefore, the correlated measurement of fragment kinetic energy and K X-rays for 252Cf spontaneous fission is conducted. A silicon surface barrier detector is used to measure the fragment kinetic energy, while two low-energy high-pure germanium detectors are utilized for K X-ray measurement. Identification of fission fragments with Z = 39–62 is realized through characteristic K X-rays with a charge resolution of ΔZ ≈ 0.7. Fission fragment K X-ray yields exhibit a strong charge correlation, with an odd-even effect factor of about 13%. Based on K X-rays, the post-neutron-emission average kinetic energy, average total kinetic energy
2024, 73(14): 143101.
doi: 10.7498/aps.73.20240477
Abstract:
The crystal structure, molecular structure, electronic structure and mechanical properties of molecular perovskite high-energetic material (H2dabco)[K(ClO4)3] (DAP-2) under hydrostatic pressure ranging from 0 to 50 GPa are calculated and studied based on density functional theory. And the influences of pressure on its stability and impact sensitivity of DAP-2 are investigated. As the external pressure gradually increases, both the lattice parameters and the volume of DAP-2 crystal exhibit a monotonic decreasing trend. In the entire pressure range, the unit cell volume shrinks by up to 40.20%. By using the Birch Munnaghan equation of state to fit P-V relation, the bulk modulus B0 and its first-order derivative B0’ with respect to pressure are obtained to be 23.4 GPa and 4.9 GPa, respectively. The observations of the characteristic bond length and bond angle within the crystal indicate that the cage-like structure of organic cation H2dabco2+ undergoes distortion at 25 GPa. Further analysis of the average fractional coordinates of the center-of-mass and Euler angles for H2dabco2+ and KO12 polyhedron shows that within a pressure range from 0 to 50 GPa, both the average fractional coordinates of the center-of-mass and the Euler angles exhibit fluctuations at 25 GPa, but the overall amplitude of these fluctuations is very small. Based on this finding, it is speculated that the space group symmetry of the crystal may remain unchanged in the entire pressure range. In terms of electronic structure, with the increase of pressure, the band gap value increases rapidly and reaches a maximum value at about 20 GPa, followed by a slow decreasing trend. Based on the first-principles band gap criterion and the variation of the band gap under different pressures, it is demonstrated that below 20 GPa, the impact sensitivity of DAP-2 gradually decreases with pressure increasing; however, when the pressure exceeds 20 GPa, the impact sensitivity exhibits a slow increasing trend. In addition, the elastic constants Cij, Young’s modulus (E), bulk modulus (B), shear modulus (G), and Cauchy pressure (C12 – C44) all increase with pressure rising, indicating that the rigidity and ductility of the crystal under pressure are significantly strengthened. According to the mechanical stability criterion, the crystal maintains the mechanical stability throughout the pressure range.
The crystal structure, molecular structure, electronic structure and mechanical properties of molecular perovskite high-energetic material (H2dabco)[K(ClO4)3] (DAP-2) under hydrostatic pressure ranging from 0 to 50 GPa are calculated and studied based on density functional theory. And the influences of pressure on its stability and impact sensitivity of DAP-2 are investigated. As the external pressure gradually increases, both the lattice parameters and the volume of DAP-2 crystal exhibit a monotonic decreasing trend. In the entire pressure range, the unit cell volume shrinks by up to 40.20%. By using the Birch Munnaghan equation of state to fit P-V relation, the bulk modulus B0 and its first-order derivative B0’ with respect to pressure are obtained to be 23.4 GPa and 4.9 GPa, respectively. The observations of the characteristic bond length and bond angle within the crystal indicate that the cage-like structure of organic cation H2dabco2+ undergoes distortion at 25 GPa. Further analysis of the average fractional coordinates of the center-of-mass and Euler angles for H2dabco2+ and KO12 polyhedron shows that within a pressure range from 0 to 50 GPa, both the average fractional coordinates of the center-of-mass and the Euler angles exhibit fluctuations at 25 GPa, but the overall amplitude of these fluctuations is very small. Based on this finding, it is speculated that the space group symmetry of the crystal may remain unchanged in the entire pressure range. In terms of electronic structure, with the increase of pressure, the band gap value increases rapidly and reaches a maximum value at about 20 GPa, followed by a slow decreasing trend. Based on the first-principles band gap criterion and the variation of the band gap under different pressures, it is demonstrated that below 20 GPa, the impact sensitivity of DAP-2 gradually decreases with pressure increasing; however, when the pressure exceeds 20 GPa, the impact sensitivity exhibits a slow increasing trend. In addition, the elastic constants Cij, Young’s modulus (E), bulk modulus (B), shear modulus (G), and Cauchy pressure (C12 – C44) all increase with pressure rising, indicating that the rigidity and ductility of the crystal under pressure are significantly strengthened. According to the mechanical stability criterion, the crystal maintains the mechanical stability throughout the pressure range.
2024, 73(14): 144102.
doi: 10.7498/aps.73.20240302
Abstract:
In general, more attention is paid to how to improve the characteristic parameters of plasma in plasma applications. However, in some cases, it is necessary to produce plasma with low-electron density, such as in the laboratory simulation of ionospheric plasma in space science. In this study, a low-density plasma is generated by electron beams passing through a silicon nitride transmission window under low pressure condition. The transmission properties of electron beam passing through silicon nitride films are investigated by Monte Carlo simulation, and the plasma feature is studied by a planar Langmuir probe and a digital camera. It is found that the plasma exhibits a conical structure with its apex located at the transmission window. At a constant pressure, the cone angle of conical plasma decreases with the electron energy increasing. This is qualitatively consistent with the Monte Carlo simulation result. The frequency of electron-neutral collisions increases as the working pressure rising, which leads the plasma cone angle to increase. When the beam current is reduced from 10 μA to 0.5 μA at 40 keV, the electron density decreases, in a range between 105 and 106 cm–3, while the electron temperature does not change significantly but approaches 1 eV. It can be inferred that the electron density decreases with the distance z from the transmission window in the incident direction of the electron beam. A low-density plasma of less than 105 cm–3 can be obtained further away from the transmission window.
In general, more attention is paid to how to improve the characteristic parameters of plasma in plasma applications. However, in some cases, it is necessary to produce plasma with low-electron density, such as in the laboratory simulation of ionospheric plasma in space science. In this study, a low-density plasma is generated by electron beams passing through a silicon nitride transmission window under low pressure condition. The transmission properties of electron beam passing through silicon nitride films are investigated by Monte Carlo simulation, and the plasma feature is studied by a planar Langmuir probe and a digital camera. It is found that the plasma exhibits a conical structure with its apex located at the transmission window. At a constant pressure, the cone angle of conical plasma decreases with the electron energy increasing. This is qualitatively consistent with the Monte Carlo simulation result. The frequency of electron-neutral collisions increases as the working pressure rising, which leads the plasma cone angle to increase. When the beam current is reduced from 10 μA to 0.5 μA at 40 keV, the electron density decreases, in a range between 105 and 106 cm–3, while the electron temperature does not change significantly but approaches 1 eV. It can be inferred that the electron density decreases with the distance z from the transmission window in the incident direction of the electron beam. A low-density plasma of less than 105 cm–3 can be obtained further away from the transmission window.
2024, 73(14): 144104.
doi: 10.7498/aps.73.20240464
Abstract:
This paper presents the design of an optically transparent metasurface tailored for the 2.4 GHz Wi-Fi band. It is optically transparent and attaches to both sides of the glass to improve communication efficiency. The shape of focusing region is a rectangle with an area of 5 cm by 5 cm and a length of 10 cm. The metasurface attaches to both sides of the glass and realizes area focusing. To meet the requirements for area focusing, the metasurface possesses a double-layer structure of a Jerusalem cross and a circle, and the conductive thin film is a conductive and optically transparent copper mesh. The spatial distribution of field strength in a microwave unreflected chamber is scanned to verify the regional focusing effect of the metasurface. Compared with ordinary glass, the metalens achieves field enhancement of more than 7.3 dB in the designed aggregation region, with an average download speed increasing 20.2 Mb/s. Subsequently, the download speed and network speed stability in different scenarios are tested. The standard deviation is used to calculate the dispersion of the download speed. The results demonstrate that in the focusing area, comparing with ordinary glass, the average download speed of the signal across is increased by 13.8 Mb/s in the indoor environment, accompanied by a reduction in the standard deviation by 0.5. In the stairwell, the average download speed of the signal across of the metalens is observed to increase 12.1 Mb/s, accompanied by a reduction in the standard deviation by 1.4. In conclusion, the metasurface lens demonstrates the better ability to significantly reduce the standard deviation of download speed data in both indoor and stairwell test environments than in air and ordinary glass. This results in the effective smoothing out of the speed uctuations and the enhancing of signal transmission stability. Therefore, the ability of metalens to effectively reduce the amplitude of download speed fluctuations in various indoor environmental contexts confirms its key role in adapting to complex environments and improving the wireless communication performance. Moreover, the download speed of signals passing through the metalens is increased by more than 12 Mb/s in both test environmentsthan that of ordinary glass. This effectively improves not only the signal strength but also the communication efficiency. Concurrently, the designed optically transparent metasurface lens is straightforward in structure and user-friendly, and at the same time, it is moveable and can be positioned according to the needs of communication enhancement. The optically transparent metasurface lens scheme proposed in this study provides a potential solution to the high penetration loss problem currently encountered in indoor wireless communication.
This paper presents the design of an optically transparent metasurface tailored for the 2.4 GHz Wi-Fi band. It is optically transparent and attaches to both sides of the glass to improve communication efficiency. The shape of focusing region is a rectangle with an area of 5 cm by 5 cm and a length of 10 cm. The metasurface attaches to both sides of the glass and realizes area focusing. To meet the requirements for area focusing, the metasurface possesses a double-layer structure of a Jerusalem cross and a circle, and the conductive thin film is a conductive and optically transparent copper mesh. The spatial distribution of field strength in a microwave unreflected chamber is scanned to verify the regional focusing effect of the metasurface. Compared with ordinary glass, the metalens achieves field enhancement of more than 7.3 dB in the designed aggregation region, with an average download speed increasing 20.2 Mb/s. Subsequently, the download speed and network speed stability in different scenarios are tested. The standard deviation is used to calculate the dispersion of the download speed. The results demonstrate that in the focusing area, comparing with ordinary glass, the average download speed of the signal across is increased by 13.8 Mb/s in the indoor environment, accompanied by a reduction in the standard deviation by 0.5. In the stairwell, the average download speed of the signal across of the metalens is observed to increase 12.1 Mb/s, accompanied by a reduction in the standard deviation by 1.4. In conclusion, the metasurface lens demonstrates the better ability to significantly reduce the standard deviation of download speed data in both indoor and stairwell test environments than in air and ordinary glass. This results in the effective smoothing out of the speed uctuations and the enhancing of signal transmission stability. Therefore, the ability of metalens to effectively reduce the amplitude of download speed fluctuations in various indoor environmental contexts confirms its key role in adapting to complex environments and improving the wireless communication performance. Moreover, the download speed of signals passing through the metalens is increased by more than 12 Mb/s in both test environmentsthan that of ordinary glass. This effectively improves not only the signal strength but also the communication efficiency. Concurrently, the designed optically transparent metasurface lens is straightforward in structure and user-friendly, and at the same time, it is moveable and can be positioned according to the needs of communication enhancement. The optically transparent metasurface lens scheme proposed in this study provides a potential solution to the high penetration loss problem currently encountered in indoor wireless communication.
2024, 73(14): 144201.
doi: 10.7498/aps.73.20231721
Abstract:
A deception tracking system based on optical hidden visual code is proposed. The system uses visual cryptography to decompose the secret image into a number of realistic masked images, which can be used to conceal the secret information. One of the masked images is embedded with a fragile watermark to ensure that it is not modified. This image serves as an inspection key to verify the other images, and the inspection key is transmitted separately. The rest of the camouflaged image is hidden in the phase key using the phase recovery algorithm, which ensures good invisibility during transmission. If the pixel arrangement of the masked image is tampered with by a dishonest participant, it is called a fraudulent image. Each phase key is distributed to different participants to ensure that the corresponding deceiver can be identified when the spoofing image is traced. In the extraction process, only the diffraction transformation of the phase key is needed to obtain the mask image. During the inspection, the inspection key is incoherently superimposed with any masked image, and the appearance of the verification image indicates whether the masked image has been tampered with, thereby achieving the purpose of deception tracking. The secret image can be obtained by incoherently superimposing the masking images, provided that the number of superimposed masking images is is greater than or equal to the threshold k, along with the inspection key. When the inspection key is superimposed with any masked image, if there is a spoofed image, no verification image will appear, and as a result, the secret image will not be restored. If there is no spoofed image, the verification image will appear, indicating that the secret image can be restored by covering all the images. The system can be used to track internal fraudsters when actual information is transmitted through invisible visual cryptography.
A deception tracking system based on optical hidden visual code is proposed. The system uses visual cryptography to decompose the secret image into a number of realistic masked images, which can be used to conceal the secret information. One of the masked images is embedded with a fragile watermark to ensure that it is not modified. This image serves as an inspection key to verify the other images, and the inspection key is transmitted separately. The rest of the camouflaged image is hidden in the phase key using the phase recovery algorithm, which ensures good invisibility during transmission. If the pixel arrangement of the masked image is tampered with by a dishonest participant, it is called a fraudulent image. Each phase key is distributed to different participants to ensure that the corresponding deceiver can be identified when the spoofing image is traced. In the extraction process, only the diffraction transformation of the phase key is needed to obtain the mask image. During the inspection, the inspection key is incoherently superimposed with any masked image, and the appearance of the verification image indicates whether the masked image has been tampered with, thereby achieving the purpose of deception tracking. The secret image can be obtained by incoherently superimposing the masking images, provided that the number of superimposed masking images is is greater than or equal to the threshold k, along with the inspection key. When the inspection key is superimposed with any masked image, if there is a spoofed image, no verification image will appear, and as a result, the secret image will not be restored. If there is no spoofed image, the verification image will appear, indicating that the secret image can be restored by covering all the images. The system can be used to track internal fraudsters when actual information is transmitted through invisible visual cryptography.
2024, 73(14): 144202.
doi: 10.7498/aps.73.20240521
Abstract:
In recent years, the radiative properties of atomic systems have been a hot topic in the research fields of quantum optics and quantum information. With the continuous development of nanophotonics, quantum antennas have become an important model for studying atomic radiation. In order to investigate these phenomena in depth, we investigate a system composed of two two-level atoms, and study the two-photon emission phenomenon of diatomic system under conditions of driving directional tunable laser field, interatomic dipole-dipole interaction, and spontaneous emission coherence. In this study, we diagonalize the atomic Hamiltonian to obtain the eigenvalues and entangled states of the system (symmetric and asymmetric states of two atoms), and use the rotating wave approximation to rotate the system into the laser frame. The evolution of the system is characterized mainly by the evolution of symmetric and asymmetric state, as well as the evolution of coherent terms. In our studies it is found that for identical atoms, certain laser directions and geometric configurations can exclusively drive the superradiant and subradiant states of atoms, which can enhance the first-order interference effect of the atoms and markedly increase the probability of two-photon emission in a specific detection direction. When the superradiant state of the atom is solely driven, there will be no coupling between the superradiant state and subradiant state, resulting in a correlation function angular distribution that is symmetric along the direction perpendicular to atomic axis. Further adjusting the laser direction causes the atomic interference patterns to shift, and the system will exhibit two-photon emission characteristics on one side or both sides. For nonidentical atomic systems, due to detuning between the two atoms, the laser cannot drive the superradiant state or subradiant state individually, and the influence of changing the laser direction on the coupling strength diminishes with the increase of detuning between the atoms. When the laser is in resonance with one of the atoms, due to the atomic interactions, the other atom can achieve the strongest coherent effect without resonating with the laser. This research reveals that atomic detuning is crucial for the correlation values and angular distribution of the correlation function. By adjusting the atomic detuning and laser direction, the system can display highly directed one-sided two-photon emission characteristics. However, different dissipation rates will lead the probability of two-photon emission to decrease. Our studies can achieve highly directional two-photon emission on one side or both sides, which provides a theoretical basis for studying the two-photon emission of nanoantennas.
2024, 73(14): 144203.
doi: 10.7498/aps.73.20240400
Abstract:
Electro-optic frequency combs (EOCs) are optical frequency combs constructed by phase modulation of single frequency lasers. The electro-optic modulated optical frequency combs have shown their unique advantages in many application fields due to their high repetition frequencies, high stabilities and other advantages, especially in precision measurement applications. Through accurate dispersion control, the electro-optical frequency combs can output ultra-short pulse laser sequences in the time domain, and their timing jitter characteristic is very important for precision measurement and other applications. This work presents a scheme to measure the timing jitter of the electro-optic combs directly in the time domain based on the principle of dual-comb asynchronous optical sampling method(ASOPS), which relies on temporal cross-correlation between the high repetition rate electro-optic combs and a low repetition rate passively mode-locked fiber laser. The ASOPS process allows timing jitter measurement in a magnified time scale where the timing jitter at a femtosecond level can be received and visualized by standard low speed electronics. We build a theoretical model for timing jitter measurement, conduct a numerical study to verify the model, and also construct an experimental system to characterize the period jitter of a 10-GHz electro-optic comb. Firstly, the theoretical model for measuring timing jitter is established. In this work, the basic theory of measuring the timing jitter is discussed by analyzing the histogram directly in time domain through using the obtained ASOPS signal. Subsequently, numerical simulations are conducted to simulate the ASOPS process after establishing a sequence of Gaussian pulse train with quantum limited timing jitter. Another pulse train without timing jitter serves as a local oscillator. Through the square law optical detection after sum-frequency generation between LO and LUT, the ASOPS process can be realized and periodic jitter can be obtained directly through histogram statistical analysis. The simulation result is consistent with the theoretical result very well. Finally, an EOC system with cascaded modulators at a repetition rate of 10 GHz is designed and built, and a timing jitter measurement system is designed and built with an all-fiber configuration. The period jitter of 10-GHz EOC is measured by using a 161-MHz mode-locked fiber laser as local oscillator. Histogram analysis shows that the period jitter of the EOC is 3.86 fs. This measurement technique does not require to use the intricate electrical phase-locked circuits or a high-speed photodetector to receive ultrashort pulses of EOC. Like the eye map analysis method commonly used in telecommunication, the histogram analysis can be used to determine the timing jitter approaching the quantum limit. This approach is easy to set up and operate, and it is anticipated to become a standard method of measuring period jitter of ultrashort pulse with high repetition frequency in a laboratory setting. It will be particularly useful for measuring timing jitters of the sources of novel high repetition rate optical frequency combs, such as micro-resonators and electro-optic frequency combs.
2024, 73(14): 144204.
doi: 10.7498/aps.73.20240225
Abstract:
Digitally encoded hypersurfaces show great potential in the field of electromagne-tic wave modulation. Currently, digitally encoded hypersurfaces in the terahertz band are mainly classified into two types: structure-encoded and controllable material-encoded. Once a structure-encoded hypersurface is fabricated, its function is fixed, which makes it difficult to adapt to changing application requirements. In contrast, the controllable material-encoded hypersurfaces can achieve dynamic regulation and multifunctional switching of terahertz beams by changing the external excitation, which shows good reconfigurability. To address this challenge, a Dirac semimetal-based encoded hypersurface is proposed in this paper. The Fermi energy level of the Dirac semimetal is varied by changing the bias voltage, which in turn dynamically adjusts its relative permittivity to obtain the coded unit. Besides, the traditional gradient-phase method encodes arrays by periodically arranging the cell structure, but there are limitations in the flexibility and accuracy of beam modulation. In order to break through these limitations, this paper employs a genetic algorithm for the inverse design of hypersurface coding arrays, which effectively improves the initiative and flexibility of beam modulation. In this paper, a three-layer terahertz-encoded hypersurface unit with a “back” structure composed of Dirac semimetallic materials is firstly designed, and the Dirac semimetallic dielectric constant is dynamically adjusted by using an applied bias voltage, so that the hypersurface unit is at 1.95 THz when the Fermi energy levels are 0.01 eV, 0.05 eV, 0.09 eV, and 0.55 eV can achieve 2bit coding. The results show that, for beam configuration, single-beam and multi-beam (two-beam to five-beam) modulation can be achieved at 1.95 THz within 40° pitch angle and 360° azimuth angle; for vortex beam generation, single-vortex beams with ±1 and ±2 topological charges can be generated, with mode purity exceeding 60%, and single-vortex, double-vortex and triple-vortex beams in pitch angle and 360° azimuth angle can be realised with the vortex-phase convolution. In terms of RCS reduction, in the frequency range of 1.72–2.51 THz, the hypersurface is able to achieve more than 10 dB of RCS reduction, especially in the frequency range of 1.82 THz, the maximum reduction value is up to 27.5 dB. achieves the diversity of functions, but also has a high degree of reconfigurability to meet the needs of complex application scenarios.
Digitally encoded hypersurfaces show great potential in the field of electromagne-tic wave modulation. Currently, digitally encoded hypersurfaces in the terahertz band are mainly classified into two types: structure-encoded and controllable material-encoded. Once a structure-encoded hypersurface is fabricated, its function is fixed, which makes it difficult to adapt to changing application requirements. In contrast, the controllable material-encoded hypersurfaces can achieve dynamic regulation and multifunctional switching of terahertz beams by changing the external excitation, which shows good reconfigurability. To address this challenge, a Dirac semimetal-based encoded hypersurface is proposed in this paper. The Fermi energy level of the Dirac semimetal is varied by changing the bias voltage, which in turn dynamically adjusts its relative permittivity to obtain the coded unit. Besides, the traditional gradient-phase method encodes arrays by periodically arranging the cell structure, but there are limitations in the flexibility and accuracy of beam modulation. In order to break through these limitations, this paper employs a genetic algorithm for the inverse design of hypersurface coding arrays, which effectively improves the initiative and flexibility of beam modulation. In this paper, a three-layer terahertz-encoded hypersurface unit with a “back” structure composed of Dirac semimetallic materials is firstly designed, and the Dirac semimetallic dielectric constant is dynamically adjusted by using an applied bias voltage, so that the hypersurface unit is at 1.95 THz when the Fermi energy levels are 0.01 eV, 0.05 eV, 0.09 eV, and 0.55 eV can achieve 2bit coding. The results show that, for beam configuration, single-beam and multi-beam (two-beam to five-beam) modulation can be achieved at 1.95 THz within 40° pitch angle and 360° azimuth angle; for vortex beam generation, single-vortex beams with ±1 and ±2 topological charges can be generated, with mode purity exceeding 60%, and single-vortex, double-vortex and triple-vortex beams in pitch angle and 360° azimuth angle can be realised with the vortex-phase convolution. In terms of RCS reduction, in the frequency range of 1.72–2.51 THz, the hypersurface is able to achieve more than 10 dB of RCS reduction, especially in the frequency range of 1.82 THz, the maximum reduction value is up to 27.5 dB. achieves the diversity of functions, but also has a high degree of reconfigurability to meet the needs of complex application scenarios.
2024, 73(14): 144205.
doi: 10.7498/aps.73.20240463
Abstract:
900-nm Nd-doped fiber laser can find widespread applications including biomedical diagnosis, laser detection, and spectral analysis. The four-level gain competition of Nd3+ around 1060 nm severely constrains the laser power scaling of the 900-nm three-level Nd-doped fiber laser. In this work, we propose a large-mode-area Nd-doped double-layer solid-core anti-resonant fiber with a core diameter of 27 μm for generating a high-power 900-nm laser based on the resonant and anti-resonant conditions of anti-resonant fiber. The transmission properties and mode profiles of the designed fiber are analyzed theoretically by using the full-vector finite-element method combined with an optimized mesh size. By introducing the double-layer anti-resonant elements into the active fiber and optimizing the fiber structure parameters and refractive index distribution, the high-order modes are well coupled with cladding modes. Finally, the designed fiber exhibits a confinement loss below 0.1 dB/m for fundamental mode and the confinement losses of all high-order modes are greater than 10 dB/m in 880–913 nm band. More importantly, around 1060 nm, the confinement losses of all modes can reach up to 100 dB/m, which enables the designed Nd-doped fiber to effectively suppress parasitic lasing and even amplified spontaneous emission. The Nd-doped solid-core anti-resonant fiber proposed in this study shows broad application prospects in the fields of 900-nm high-power fiber laser and amplifier. The developed chemical vapor deposition process combined with stack-and-draw technology can be adopted for the fabrication of the designed fiber. In order to ensure the optical performance of the anti-resonant fiber, it is necessary to accurately control the thickness of all anti-resonant tubes, the glass composition of the active core and background area in actual fabrication.
900-nm Nd-doped fiber laser can find widespread applications including biomedical diagnosis, laser detection, and spectral analysis. The four-level gain competition of Nd3+ around 1060 nm severely constrains the laser power scaling of the 900-nm three-level Nd-doped fiber laser. In this work, we propose a large-mode-area Nd-doped double-layer solid-core anti-resonant fiber with a core diameter of 27 μm for generating a high-power 900-nm laser based on the resonant and anti-resonant conditions of anti-resonant fiber. The transmission properties and mode profiles of the designed fiber are analyzed theoretically by using the full-vector finite-element method combined with an optimized mesh size. By introducing the double-layer anti-resonant elements into the active fiber and optimizing the fiber structure parameters and refractive index distribution, the high-order modes are well coupled with cladding modes. Finally, the designed fiber exhibits a confinement loss below 0.1 dB/m for fundamental mode and the confinement losses of all high-order modes are greater than 10 dB/m in 880–913 nm band. More importantly, around 1060 nm, the confinement losses of all modes can reach up to 100 dB/m, which enables the designed Nd-doped fiber to effectively suppress parasitic lasing and even amplified spontaneous emission. The Nd-doped solid-core anti-resonant fiber proposed in this study shows broad application prospects in the fields of 900-nm high-power fiber laser and amplifier. The developed chemical vapor deposition process combined with stack-and-draw technology can be adopted for the fabrication of the designed fiber. In order to ensure the optical performance of the anti-resonant fiber, it is necessary to accurately control the thickness of all anti-resonant tubes, the glass composition of the active core and background area in actual fabrication.
2024, 73(14): 144301.
doi: 10.7498/aps.73.20240484
Abstract:
In recent years, the discovery of the transverse spin of acoustic wave in a structural acoustic field and acoustic structural surface wave has expanded our knowledge of the basic characteristics of acoustic waves and opened up new avenues for their manipulation. On the structured surface, however, the distribution of acoustic surface waves often presents a uniform distribution, which restricts the local modification of acoustic spin angular momentum and particle manipulation capabilities. In this study, we develop some acoustic waveguides with gradients that are flat, up-convex, and down-concave in order to manipulate the lateral spin distributions of acoustic surface waves. We verify the direction-locking near-field acoustic spin-momentum, explore the pressure field distribution and the spin angular momentum density distribution of a spin acoustic source excited in each of the three gradient structures, and we also show how to manipulate the spin intensity distributions of acoustic surface waves in the gradient waveguides through theoretical analysis and numerical simulation. The numerical calculation results show that when the acoustic surface wave is excited by a clockwise rotating spin source and propagates along the left side of the waveguide, the spin angular momentum density is positive on the upper surface of the structured waveguide and negative on the lower surface. The spin angular momentum distribution and the direction of propagation of acoustic wave are entirely changed when the spin source is rotated counterclockwise. Specifically, an unequal distribution of acoustic spin angular momentum is produced by the upper convex-type waveguide and bottom concave-type waveguide when we convert the flat-type acoustic structure waveguide into a gradient-type waveguide. According to the computation results, the down-concave type waveguide exhibits a stronger density of acoustic spin angular momentum at the end and the acoustic surface waves gather at the end of the constructed waveguide. On the other hand, the waveguide collects acoustic waves close to the structure center when it is an up-convex structural waveguide. The findings can open up new avenues for manipulating particles using acoustic waves, by providing a means for controlling the acoustic spin angular momentum density and improving our understanding of symmetry in acoustic near-field physics.
In recent years, the discovery of the transverse spin of acoustic wave in a structural acoustic field and acoustic structural surface wave has expanded our knowledge of the basic characteristics of acoustic waves and opened up new avenues for their manipulation. On the structured surface, however, the distribution of acoustic surface waves often presents a uniform distribution, which restricts the local modification of acoustic spin angular momentum and particle manipulation capabilities. In this study, we develop some acoustic waveguides with gradients that are flat, up-convex, and down-concave in order to manipulate the lateral spin distributions of acoustic surface waves. We verify the direction-locking near-field acoustic spin-momentum, explore the pressure field distribution and the spin angular momentum density distribution of a spin acoustic source excited in each of the three gradient structures, and we also show how to manipulate the spin intensity distributions of acoustic surface waves in the gradient waveguides through theoretical analysis and numerical simulation. The numerical calculation results show that when the acoustic surface wave is excited by a clockwise rotating spin source and propagates along the left side of the waveguide, the spin angular momentum density is positive on the upper surface of the structured waveguide and negative on the lower surface. The spin angular momentum distribution and the direction of propagation of acoustic wave are entirely changed when the spin source is rotated counterclockwise. Specifically, an unequal distribution of acoustic spin angular momentum is produced by the upper convex-type waveguide and bottom concave-type waveguide when we convert the flat-type acoustic structure waveguide into a gradient-type waveguide. According to the computation results, the down-concave type waveguide exhibits a stronger density of acoustic spin angular momentum at the end and the acoustic surface waves gather at the end of the constructed waveguide. On the other hand, the waveguide collects acoustic waves close to the structure center when it is an up-convex structural waveguide. The findings can open up new avenues for manipulating particles using acoustic waves, by providing a means for controlling the acoustic spin angular momentum density and improving our understanding of symmetry in acoustic near-field physics.
2024, 73(14): 144401.
doi: 10.7498/aps.73.20240491
Abstract:
Compared to the classical Fourier’s law, the phonon hydrodynamic model has demonstrated significant advantages in describing ultrafast phonon heat transport at the nanoscale. The gate-all-around field-effect transistor (GAAFET) greatly optimizes its electrical performance through its three-dimensional channel design, but its nanoscale characteristics also lead to challenges such as self-heating and localized overheating. Therefore, it is of great significance to study the internal heat transport mechanism of GAAFET devices to obtain the thermal process and heat distribution characteristics. Based on this, this paper conducts theoretical and numerical simulation analyses on the phonon heat transfer characteristics within nanoscale GAAFET devices. Firstly, based on the phonon Boltzmann equation, the phonon hydrodynamic model and boundary conditions are rigorously derived, establishing a numerical solution method based on finite elements. For the novel GAAFET devices, the effects of factors such as surface roughness, channel length, channel radius, gate dielectric, and interface thermal resistance on their heat transfer characteristics are analyzed. The research results indicate that the larger the surface roughness, the smaller the channel length and the channel radius, the larger the interface thermal resistance leads to the higher hot spot peak temperature. The non-Fourier heat analysis method based on the phonon hydrodynamic model and temperature jump condition within the continuous medium framework constructed in this paper can accurately predict the non-Fourier phonon heat conduction process inside GAAFET and reveal the mechanisms of resistive scattering and phonon/interface scattering. This work provides important theoretical support for further optimizing the thermal reliability design of GAAFET, improving its thermal stability, and operational performance.
Compared to the classical Fourier’s law, the phonon hydrodynamic model has demonstrated significant advantages in describing ultrafast phonon heat transport at the nanoscale. The gate-all-around field-effect transistor (GAAFET) greatly optimizes its electrical performance through its three-dimensional channel design, but its nanoscale characteristics also lead to challenges such as self-heating and localized overheating. Therefore, it is of great significance to study the internal heat transport mechanism of GAAFET devices to obtain the thermal process and heat distribution characteristics. Based on this, this paper conducts theoretical and numerical simulation analyses on the phonon heat transfer characteristics within nanoscale GAAFET devices. Firstly, based on the phonon Boltzmann equation, the phonon hydrodynamic model and boundary conditions are rigorously derived, establishing a numerical solution method based on finite elements. For the novel GAAFET devices, the effects of factors such as surface roughness, channel length, channel radius, gate dielectric, and interface thermal resistance on their heat transfer characteristics are analyzed. The research results indicate that the larger the surface roughness, the smaller the channel length and the channel radius, the larger the interface thermal resistance leads to the higher hot spot peak temperature. The non-Fourier heat analysis method based on the phonon hydrodynamic model and temperature jump condition within the continuous medium framework constructed in this paper can accurately predict the non-Fourier phonon heat conduction process inside GAAFET and reveal the mechanisms of resistive scattering and phonon/interface scattering. This work provides important theoretical support for further optimizing the thermal reliability design of GAAFET, improving its thermal stability, and operational performance.
2024, 73(14): 144701.
doi: 10.7498/aps.73.20240164
Abstract:
In this paper, the motion of a circular particle in a lid-driven square cavity with the power-law fluid is studied by using the diffuse interface lattice Boltzmann method, and the study mainly considers the effects of the particle's initial position, the power-law index, the Reynolds number, and the particle size. The numerical results show that the circular particle is first in a centrifugal motion under the effect of inertia, and it finally moves steadily on the limit cycle. Furthermore, it is also found that the initial position of the particle has no influence on the limit cycle. For a shear-thinning fluid flow, the limit cycle moves towards the bottom right corner of the square cavity. Moreover, the particle velocity is small, and the period of the particle motion is long. On the other hand, in the case of shear-thickening fluid flow, the limit cycle moves towards the top left corner of the cavity. In addition, the particle velocity is large, and the period of the particle motion is short.With the increase of Reynolds number, the limit cycle moves towards the bottom right corner of the square cavity, which is caused by a strong fluid flow field. Meanwhile, the particle velocity becomes larger, and the period of the particle motion is shorter. With the increase of particle size, the effect of confinement of the cavity boundary becomes significant, and the circular particle is pushed towards the center of the cavity. In this case, the limit cycle shrinks towards the center of the cavity. The circular particle squeezes the secondary vortices, especially when the circular particle is located in the bottom left, bottom right and top left corners. Additionally, the appearance of the circular particle has a significant influence on the position of the primary vortex, which changes periodically near the position of the primary vortex without the particle. It is also observed that the influence of the circular particle becomes more significant as its size increases and the power-law index decreases.
In this paper, the motion of a circular particle in a lid-driven square cavity with the power-law fluid is studied by using the diffuse interface lattice Boltzmann method, and the study mainly considers the effects of the particle's initial position, the power-law index, the Reynolds number, and the particle size. The numerical results show that the circular particle is first in a centrifugal motion under the effect of inertia, and it finally moves steadily on the limit cycle. Furthermore, it is also found that the initial position of the particle has no influence on the limit cycle. For a shear-thinning fluid flow, the limit cycle moves towards the bottom right corner of the square cavity. Moreover, the particle velocity is small, and the period of the particle motion is long. On the other hand, in the case of shear-thickening fluid flow, the limit cycle moves towards the top left corner of the cavity. In addition, the particle velocity is large, and the period of the particle motion is short.With the increase of Reynolds number, the limit cycle moves towards the bottom right corner of the square cavity, which is caused by a strong fluid flow field. Meanwhile, the particle velocity becomes larger, and the period of the particle motion is shorter. With the increase of particle size, the effect of confinement of the cavity boundary becomes significant, and the circular particle is pushed towards the center of the cavity. In this case, the limit cycle shrinks towards the center of the cavity. The circular particle squeezes the secondary vortices, especially when the circular particle is located in the bottom left, bottom right and top left corners. Additionally, the appearance of the circular particle has a significant influence on the position of the primary vortex, which changes periodically near the position of the primary vortex without the particle. It is also observed that the influence of the circular particle becomes more significant as its size increases and the power-law index decreases.
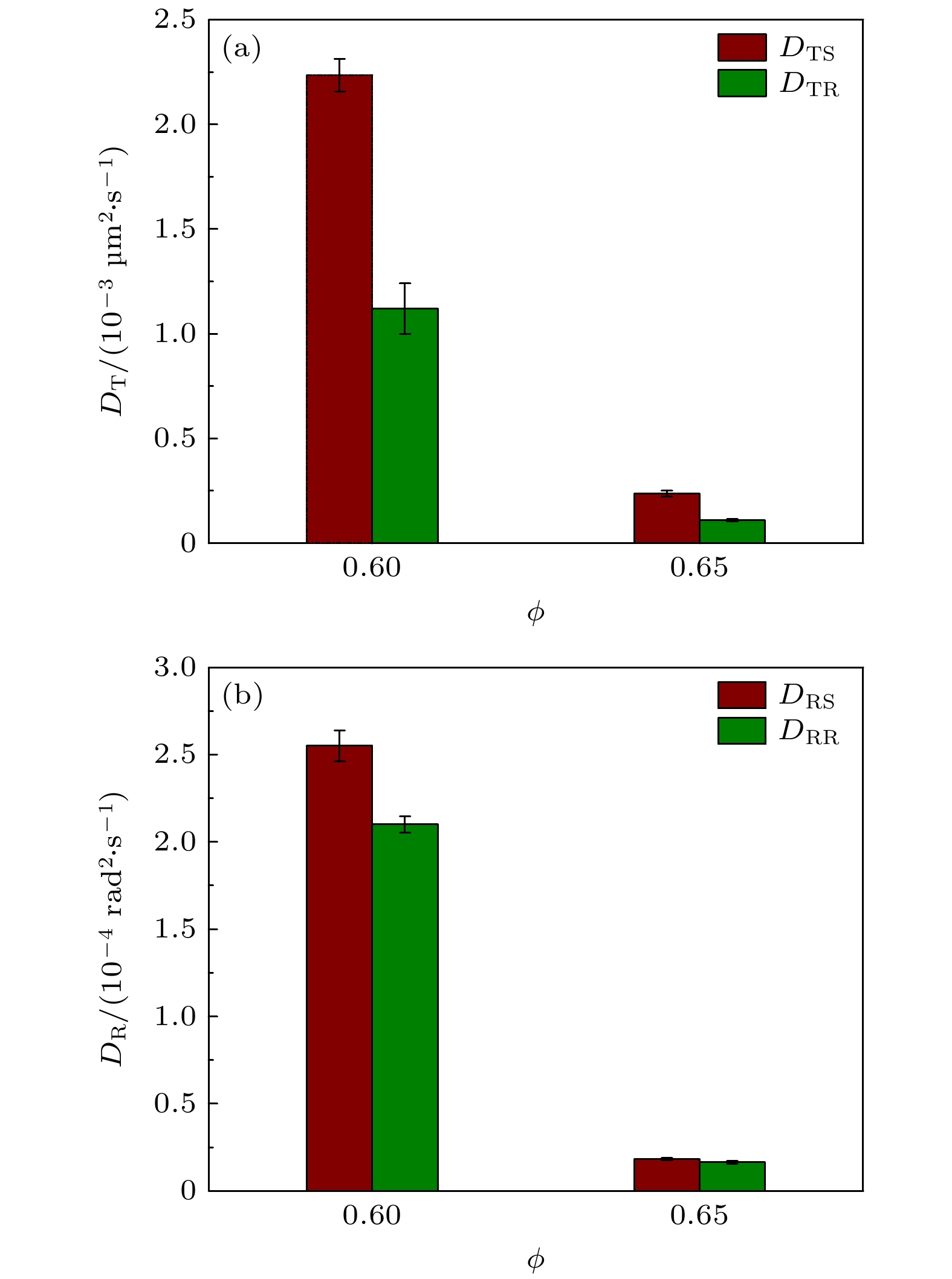
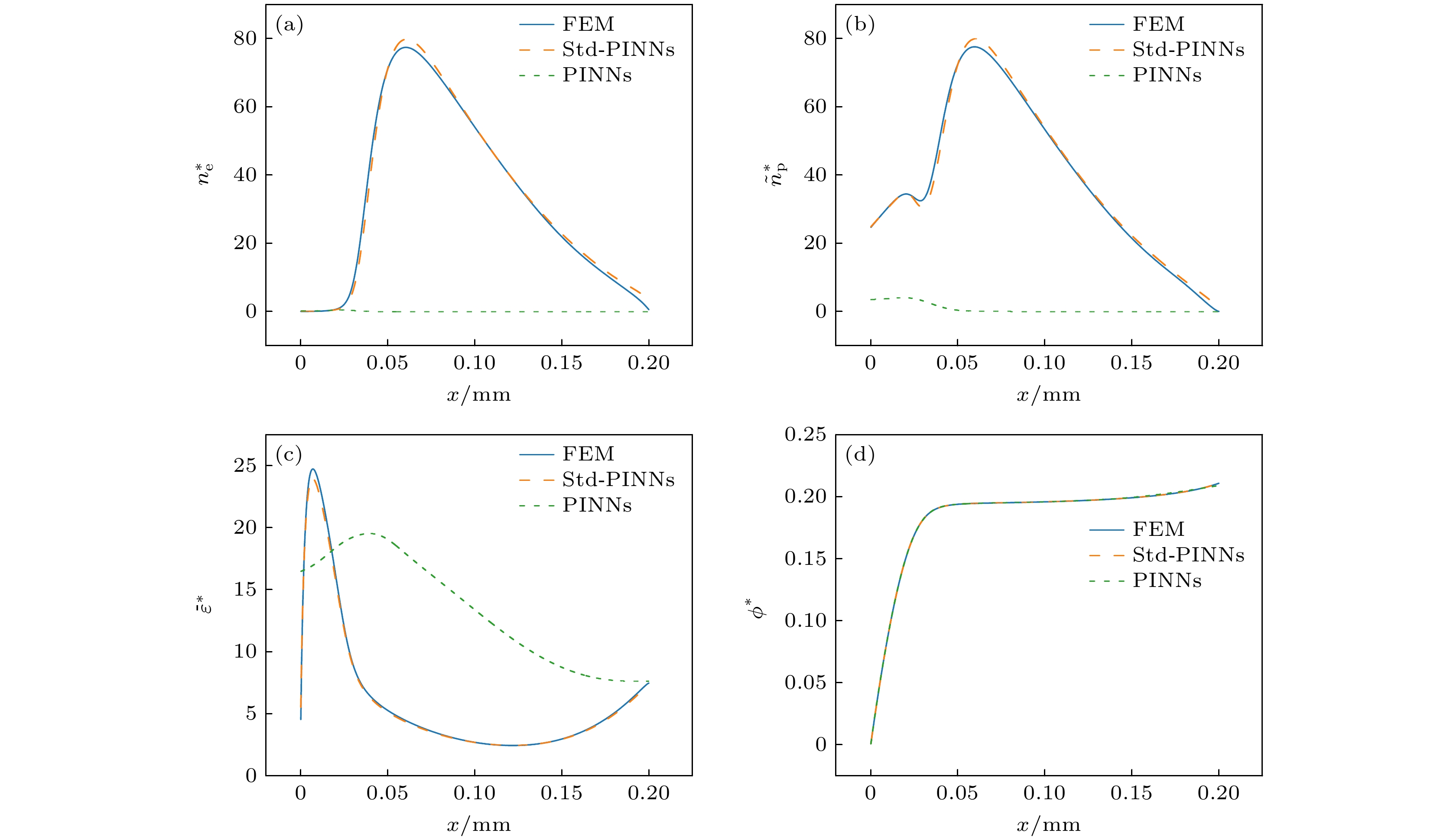
2024, 73(14): 145201.
doi: 10.7498/aps.73.20240343
Abstract:
In recent years, the artificial intelligence computing paradigm represented by physics-informed neural networks (PINNs) has received great attention in the field of plasma numerical simulation. However, the plasma chemical system considered in related research is relatively simplified, and the research on solving the more complex multi-particle low-temperature fluid model based on PINNs is still blank. In more complex chemical systems, the coupling relationship between particle densities and between particle densities and mean electron energy become more intricate. Therefore, the applicability of PINNs in dealing with sophisticated reaction systems needs further exploring and improving. In this work, we propose a general PINN framework (source term decoupled PINNs, Std-PINNs) for solving multi-particle low-temperature plasma fluid model. By introducing equivalent positive ions and replacing each particle transport equation with the current continuity equation as a physical constraint, Std-PINN splits the entire solution process into the training processes of two neural networks, realizing the decoupling of the source term of the heavy particle transport equation from the electron density and mean electron energy, which greatly reduces the complexity of neural network training. In this work, the application of Std-PINNs to solving multi-particle low-temperature plasma fluid models is demonstrated through two classic discharge cases with different complexity of reaction systems (low-pressure argon glow discharge and atmospheric-pressure helium glow discharge) and the performance of Std-PINN is compared with that of conventional PINN and finite element method (FEM). The results show that the training results output from the traditional PINN are completely incorrect due to the strong coupling correlation of each physical variable through the source terms of each particle transport equation, while the L2 relative error between Std-PINN and FEM results can reach up to ~10–2 , thus verifying the feasibility of Std-PINN in simulating multi-particle plasma fluid model. Std-PINN expands the application of deep learning method to modeling complex physical systems and provides new ideas for conducting low-temperature plasma simulations. In addition, this study provides novel insights into the field of artificial intelligence scientific computing: the mathematical form that describes the state of a physical system is not unique. By introducing equivalent physical variables, equations suitable for neural network solutions can be derived and combined with observable data to simplify problems.
In recent years, the artificial intelligence computing paradigm represented by physics-informed neural networks (PINNs) has received great attention in the field of plasma numerical simulation. However, the plasma chemical system considered in related research is relatively simplified, and the research on solving the more complex multi-particle low-temperature fluid model based on PINNs is still blank. In more complex chemical systems, the coupling relationship between particle densities and between particle densities and mean electron energy become more intricate. Therefore, the applicability of PINNs in dealing with sophisticated reaction systems needs further exploring and improving. In this work, we propose a general PINN framework (source term decoupled PINNs, Std-PINNs) for solving multi-particle low-temperature plasma fluid model. By introducing equivalent positive ions and replacing each particle transport equation with the current continuity equation as a physical constraint, Std-PINN splits the entire solution process into the training processes of two neural networks, realizing the decoupling of the source term of the heavy particle transport equation from the electron density and mean electron energy, which greatly reduces the complexity of neural network training. In this work, the application of Std-PINNs to solving multi-particle low-temperature plasma fluid models is demonstrated through two classic discharge cases with different complexity of reaction systems (low-pressure argon glow discharge and atmospheric-pressure helium glow discharge) and the performance of Std-PINN is compared with that of conventional PINN and finite element method (FEM). The results show that the training results output from the traditional PINN are completely incorrect due to the strong coupling correlation of each physical variable through the source terms of each particle transport equation, while the L2 relative error between Std-PINN and FEM results can reach up to ~10–2 , thus verifying the feasibility of Std-PINN in simulating multi-particle plasma fluid model. Std-PINN expands the application of deep learning method to modeling complex physical systems and provides new ideas for conducting low-temperature plasma simulations. In addition, this study provides novel insights into the field of artificial intelligence scientific computing: the mathematical form that describes the state of a physical system is not unique. By introducing equivalent physical variables, equations suitable for neural network solutions can be derived and combined with observable data to simplify problems.
2024, 73(14): 146301.
doi: 10.7498/aps.73.20240432
Abstract:
The quantum restriction effect of charge carriers in two-dimensional materials can significantly improve their power factors. MXene, as a new type of two-dimensional double transition metal material, has attracted extensive attention due to thermoelectric properties, and higher controllability than single transition metal MXene, which has potential applications in thermoelectric devices. In this work, new two-dimensional monolayer double transition metal MXene, i.e. TiZrCO2 and VYCO2, are designed and their stabilities, electronic and thermoelectric properties are studied by the first principles and Boltzmann transport theory. It has been shown that both are indirect bandgap semiconductors with mechanical, thermodynamic and kinetic stability, and their thermoelectric properties (Seebeck coefficients, electrical and electronic thermal conductivities and lattice thermal conductivities) in a temperature range from 300 K to 900 K are studied. For the optimal carrier concentration at 300 K, the p-type TiZrCO2 power factor is 11.40 mW/(m·K2), much higher than that of n-type one, and the VYCO2 power factor of p-type (2.80 mW/(m·K2)) and n-type (2.20 mW/(m·K2)) are similar to each other. At 300 K, TiZrCO2 and VYCO2 have low lattice thermal conductivities of 5.08 W/(m·K) and 3.22 W/(m·K), respectively, and the contributions of optical phonon to the lattice thermal conductivity are both about 30%, i.e. 2.14 W/(m·K) and 1.09 W/(m·K) at 900 K, respectively. At the same time, it is found that at 300 K, when the material sizes of TiZrCO2 and VYCO2 are within 12.84 nm and 5.47 nm respectively, their lattice thermal conductivities are almost unchanged, and can be adjusted by adjusting the compositions. At 900 K, the thermoelectric value of p-type TiZrCO2 and VYCO2 reach 1.83 and 0.93, respectively, which are better than those of n-type, 0.23 and 0.84. The double transition metals MXene TiZrCO2 and VYCO2 have better thermoelectric properties than the single transition metal MXene (such as Sc2C(OH)2, ZT = 0.5), and have the potential applications in new thermoelectric materials with excellent comprehensive properties. A set of calculation methods used in this paper can also provide some reference for exploring the thermoelectric properties of a new double transition metal element MXene.
The quantum restriction effect of charge carriers in two-dimensional materials can significantly improve their power factors. MXene, as a new type of two-dimensional double transition metal material, has attracted extensive attention due to thermoelectric properties, and higher controllability than single transition metal MXene, which has potential applications in thermoelectric devices. In this work, new two-dimensional monolayer double transition metal MXene, i.e. TiZrCO2 and VYCO2, are designed and their stabilities, electronic and thermoelectric properties are studied by the first principles and Boltzmann transport theory. It has been shown that both are indirect bandgap semiconductors with mechanical, thermodynamic and kinetic stability, and their thermoelectric properties (Seebeck coefficients, electrical and electronic thermal conductivities and lattice thermal conductivities) in a temperature range from 300 K to 900 K are studied. For the optimal carrier concentration at 300 K, the p-type TiZrCO2 power factor is 11.40 mW/(m·K2), much higher than that of n-type one, and the VYCO2 power factor of p-type (2.80 mW/(m·K2)) and n-type (2.20 mW/(m·K2)) are similar to each other. At 300 K, TiZrCO2 and VYCO2 have low lattice thermal conductivities of 5.08 W/(m·K) and 3.22 W/(m·K), respectively, and the contributions of optical phonon to the lattice thermal conductivity are both about 30%, i.e. 2.14 W/(m·K) and 1.09 W/(m·K) at 900 K, respectively. At the same time, it is found that at 300 K, when the material sizes of TiZrCO2 and VYCO2 are within 12.84 nm and 5.47 nm respectively, their lattice thermal conductivities are almost unchanged, and can be adjusted by adjusting the compositions. At 900 K, the thermoelectric value of p-type TiZrCO2 and VYCO2 reach 1.83 and 0.93, respectively, which are better than those of n-type, 0.23 and 0.84. The double transition metals MXene TiZrCO2 and VYCO2 have better thermoelectric properties than the single transition metal MXene (such as Sc2C(OH)2, ZT = 0.5), and have the potential applications in new thermoelectric materials with excellent comprehensive properties. A set of calculation methods used in this paper can also provide some reference for exploring the thermoelectric properties of a new double transition metal element MXene.
2024, 73(14): 146302.
doi: 10.7498/aps.73.20240557
Abstract:
Transition metal dichalcogenides (TMDs) is an important member of two-dimensional material family, which has various crystal structures and physical properties, thus providing a broad platform for scientific research and device applications. The diversity of TMD's properties arises not only from their relatively large family but also from the variety of their crystal structure phases. The most common structure of TMD is the trigonal prismatic phase (H phase) and the octahedral phase (T phase). Studies have shown that, in addition to these two high-symmetry phases, TMD has other distorted phases. Distorted phase often exhibits different physical properties from symmetric phases and can perform better in certain systems. Because the structural differences between different distorted phases are sometimes very small, it is experimentally challenging to observe multiple distorted phases coexisting. Therefore, it is meaningful to theoretically investigate the structural stability and physical properties of different distorted phases. In this study, we investigate the structure and phase transition of monolayer RuSe2 through first-principles calculation. While confirming that its ground state is a the dimerized phase (\begin{document}$T^\prime$\end{document} ![]()
![]()
phase), we find the presence of another energetically competitive trimerized phase (\begin{document}$T^{\prime\prime\prime}$\end{document} ![]()
![]()
phase). By comparing the energy values of four different structures and combining the results of phonon spectra and molecular dynamics simulations, we predict the stability of the \begin{document}$T^{\prime\prime\prime}$\end{document} ![]()
![]()
phase at room temperature. Because the H phase and T phase of two-dimensional RuSe2 have already been observed experimentally, and considering the fact that \begin{document}$T^{\prime\prime\prime}$\end{document} ![]()
![]()
phase has much lower energy than the H and T phases, it is highly likely that the \begin{document}$T^{\prime\prime\prime}$\end{document} ![]()
![]()
phase exists in experiment. Combining the calculations of the phase transition barrier and the molecular dynamics simulations, we anticipate that applying a slight stress to the \begin{document}$T^\prime$\end{document} ![]()
![]()
phase structure at room temperature can induce a lattice transition from \begin{document}$T^\prime$\end{document} ![]()
![]()
phase to \begin{document}$T^{\prime\prime\prime}$\end{document} ![]()
![]()
phase, resulting in significant changes in the band structure and carrier mobility, with the bandgap changing from an indirect bandgap of 1.11 eV to a direct bandgap of 0.71 eV, and the carrier mobility in the armchair direction increasing from \begin{document}$ 0.82 \times $\end{document} ![]()
![]()
\begin{document}$ 10^3 \, {\rm cm}^{2}{\cdot}{\rm V}^{-1}{\cdot}{\rm s}^{-1}$\end{document} ![]()
![]()
to \begin{document}$3.22 \times 10^3 \, {\rm cm}^{2}{\cdot}{\rm V}^{-1}{\cdot}{\rm s}^{-1}$\end{document} ![]()
![]()
, an approximately threefold enhancement. In this work, two possible coexisting distorted phases in monolayer RuSe2 are compared with each other and studied, and their electronic structures and carrier mobilities are analyzed, thereby facilitating experimental research on two-dimensional RuSe2 materials and their applications in future electronic devices.
Transition metal dichalcogenides (TMDs) is an important member of two-dimensional material family, which has various crystal structures and physical properties, thus providing a broad platform for scientific research and device applications. The diversity of TMD's properties arises not only from their relatively large family but also from the variety of their crystal structure phases. The most common structure of TMD is the trigonal prismatic phase (H phase) and the octahedral phase (T phase). Studies have shown that, in addition to these two high-symmetry phases, TMD has other distorted phases. Distorted phase often exhibits different physical properties from symmetric phases and can perform better in certain systems. Because the structural differences between different distorted phases are sometimes very small, it is experimentally challenging to observe multiple distorted phases coexisting. Therefore, it is meaningful to theoretically investigate the structural stability and physical properties of different distorted phases. In this study, we investigate the structure and phase transition of monolayer RuSe2 through first-principles calculation. While confirming that its ground state is a the dimerized phase (
2024, 73(14): 146303.
doi: 10.7498/aps.73.20240637
Abstract:
Infrared imaging systems are being updated towards greater performance as well as lighter and smaller devices. Developing infrared materials with special properties is a critical for enhancing the performance of optical systems as well as miniaturizing devices. Chalcogenide glass becomes a popular option for advanced IR materials due to its component-property tunability. Se—based glasses such as Ge33As12Se55, Ge10As40Se50, and As40Se60, which completely cover the mid- and long-wave infrared windows, are the most typical materials used in infrared equipment. However, these classical materials can no longer meet the requirements of high-performance imaging systems, and adding more elements such as Te, Ga, Sb, and Ag to enhance the performance is a reliable way to solve this problem. By analysing the structure and properties of the Ge20Se80–xTex glass system, the law of its structure and properties evolving with Te content is illustrated. The obtained typical results are shown below. With the increase of Te content, the glass transition temperature (Tg) increases and then decreases, which is caused by the network structure and the average bond energy; the density and refractive index increase in an approximately linear gradient; the Abbe number gradually increases, while the Vickers hardness hardly changes with Te content; the fracture toughness decreases with the Te content increasing. Aiming at the problem that the average coordination number is unable to evaluate the glass systems composed of two or more elements from the same main group, a theoretical bandgap-glass property evaluation system is successfully established. The functional relationships among parameters such as density, refractive index, Abbe number, and fracture toughness, and theoretical band gap are established for Ge20Se80–xTex glass system as shown in the summary figure, which can be used to rapidly evaluate the glass components and properties.
Infrared imaging systems are being updated towards greater performance as well as lighter and smaller devices. Developing infrared materials with special properties is a critical for enhancing the performance of optical systems as well as miniaturizing devices. Chalcogenide glass becomes a popular option for advanced IR materials due to its component-property tunability. Se—based glasses such as Ge33As12Se55, Ge10As40Se50, and As40Se60, which completely cover the mid- and long-wave infrared windows, are the most typical materials used in infrared equipment. However, these classical materials can no longer meet the requirements of high-performance imaging systems, and adding more elements such as Te, Ga, Sb, and Ag to enhance the performance is a reliable way to solve this problem. By analysing the structure and properties of the Ge20Se80–xTex glass system, the law of its structure and properties evolving with Te content is illustrated. The obtained typical results are shown below. With the increase of Te content, the glass transition temperature (Tg) increases and then decreases, which is caused by the network structure and the average bond energy; the density and refractive index increase in an approximately linear gradient; the Abbe number gradually increases, while the Vickers hardness hardly changes with Te content; the fracture toughness decreases with the Te content increasing. Aiming at the problem that the average coordination number is unable to evaluate the glass systems composed of two or more elements from the same main group, a theoretical bandgap-glass property evaluation system is successfully established. The functional relationships among parameters such as density, refractive index, Abbe number, and fracture toughness, and theoretical band gap are established for Ge20Se80–xTex glass system as shown in the summary figure, which can be used to rapidly evaluate the glass components and properties.
2024, 73(14): 146801.
doi: 10.7498/aps.73.20240230
Abstract:
Transparent conducting oxides (TCOs), especially indium tin oxides (ITOs), have played an important role in realizing optoelectronics devices. Composite electrodes fabricated by introducing different types of metal-meshes into TCO have exhibited improved electric properties as well as good transparency. This technology can also reduce the demand for ITO and provide the candidates of flexible electrodes for wearable devices. Analysis of the electric properties of this type of electrode, such as the variance of the sheet resistance of the composite electrodes with the embedded mesh structure parameters, can provide a theoretical basis for designing and fabricating this electrode. But detailed studies are still lacking. This work focuses on the electrical property analysis of the typical square hole and grid shaped metal mesh-TCO composite electrodes based on Rayleigh model and finite-element simulation, respectively. The electric potential distribution and current density distribution are obtained from the finite element calculations, revealing that the dramatic deformation of the metallic channels in the composite results in the failure of a conventional Rayleigh model for the moderate and high opening rates. Accordingly, we adopt a lattice correction to the Rayleigh model to reduce the channel deformation by increasing the symmetry of the exterior boundary of the lattice cell. A comparison of the results from the simulations with those from the second-order approximation of the lattice-adapted Rayleigh model shows that the new analytic form of the effective conductivity is applicable to a much larger opening-rate range for both the monolayer and the sandwich structures of metal-mesh TCO composite electrodes. The variances of the sheet resistance and the effective conductivity with different material and structure parameters of the composite electrodes are calculated and discussed based on the lattice-adapted Rayleigh approximation. The results are well consistent with experimental results. A comparison of our model with other theoretical models is also made, showing that this lattice-adapted Rayleigh approximation can be used as a simple and efficient theoretical tool to analyze and design the concerned transparent composite electrodes.
Transparent conducting oxides (TCOs), especially indium tin oxides (ITOs), have played an important role in realizing optoelectronics devices. Composite electrodes fabricated by introducing different types of metal-meshes into TCO have exhibited improved electric properties as well as good transparency. This technology can also reduce the demand for ITO and provide the candidates of flexible electrodes for wearable devices. Analysis of the electric properties of this type of electrode, such as the variance of the sheet resistance of the composite electrodes with the embedded mesh structure parameters, can provide a theoretical basis for designing and fabricating this electrode. But detailed studies are still lacking. This work focuses on the electrical property analysis of the typical square hole and grid shaped metal mesh-TCO composite electrodes based on Rayleigh model and finite-element simulation, respectively. The electric potential distribution and current density distribution are obtained from the finite element calculations, revealing that the dramatic deformation of the metallic channels in the composite results in the failure of a conventional Rayleigh model for the moderate and high opening rates. Accordingly, we adopt a lattice correction to the Rayleigh model to reduce the channel deformation by increasing the symmetry of the exterior boundary of the lattice cell. A comparison of the results from the simulations with those from the second-order approximation of the lattice-adapted Rayleigh model shows that the new analytic form of the effective conductivity is applicable to a much larger opening-rate range for both the monolayer and the sandwich structures of metal-mesh TCO composite electrodes. The variances of the sheet resistance and the effective conductivity with different material and structure parameters of the composite electrodes are calculated and discussed based on the lattice-adapted Rayleigh approximation. The results are well consistent with experimental results. A comparison of our model with other theoretical models is also made, showing that this lattice-adapted Rayleigh approximation can be used as a simple and efficient theoretical tool to analyze and design the concerned transparent composite electrodes.
2024, 73(14): 146701.
doi: 10.7498/aps.73.20240570
Abstract:
Absorption imaging is the foundation for quantitative measurements in experiments on ultracold atoms. This technique mainly involves capturing images of both the probing light field and the atom absorption light field. In this process, the unavoidable jitter of the probing light introduces imaging noise of fringe patterns into the atomic optical density distribution OD. In conventional fringe removal algorithms, this type of noise can be normalized by constructing an optimal reference image from multiple reference images that have been actually taken, which shares similar fringe patterns to an absorption image (Fig. (a)). Although this method works well in the region without atomic signal, they often overlook the modulation of the noise signal due to atomic absorption effects, leading to persistent residual fringes on the atom clouds. This problem becomes more pronounced with atomic density increasing. Here, we propose an enhanced fringe removal algorithm that takes into account the effects of atomic absorption, and actively modulates the intensity of the noise signal in the reference image constructed by conventional fringe removal algorithms (Fig. (b)), effectively preventing the residual fringes from forming, thus significantly improving the signal-to-noise ratio of the atomic images. When applied to the absorption imaging of homogeneous Fermi gases with high density, as shown in Fig. (d), this new algorithm successfully reduces the relative standard deviation of optical depth characterizing atomic density fluctuations by approximately 37%, which is about 3 times the relative standard deviation by conventional algorithm. Three subgraphs in Fig. (e) show the optical depth distribution at corresponding data points labeled by square boxes in Fig. (d). Furthermore, we also use this technique to quantitatively determine the second sound in the unitary Fermi superfluid of 6Li atoms. Compared with conventional fringe removal methods, our new algorithm increases the correlation function’s contrast of the density wave nearly 4 times, therefore enhancing the intensity of the density response spectrum by approximately 15% with half the measured standard error, paving the way for quantitatively determining the speed and attenuation of the second sound. These results demonstrate that the enhanced fringe removal algorithm not only effectively suppresses fringe noise, but also facilitates the identification and detection of important physical phenomena in high-density atomic systems, such as some collective excitations and new quantum phases.
Absorption imaging is the foundation for quantitative measurements in experiments on ultracold atoms. This technique mainly involves capturing images of both the probing light field and the atom absorption light field. In this process, the unavoidable jitter of the probing light introduces imaging noise of fringe patterns into the atomic optical density distribution OD. In conventional fringe removal algorithms, this type of noise can be normalized by constructing an optimal reference image from multiple reference images that have been actually taken, which shares similar fringe patterns to an absorption image (Fig. (a)). Although this method works well in the region without atomic signal, they often overlook the modulation of the noise signal due to atomic absorption effects, leading to persistent residual fringes on the atom clouds. This problem becomes more pronounced with atomic density increasing. Here, we propose an enhanced fringe removal algorithm that takes into account the effects of atomic absorption, and actively modulates the intensity of the noise signal in the reference image constructed by conventional fringe removal algorithms (Fig. (b)), effectively preventing the residual fringes from forming, thus significantly improving the signal-to-noise ratio of the atomic images. When applied to the absorption imaging of homogeneous Fermi gases with high density, as shown in Fig. (d), this new algorithm successfully reduces the relative standard deviation of optical depth characterizing atomic density fluctuations by approximately 37%, which is about 3 times the relative standard deviation by conventional algorithm. Three subgraphs in Fig. (e) show the optical depth distribution at corresponding data points labeled by square boxes in Fig. (d). Furthermore, we also use this technique to quantitatively determine the second sound in the unitary Fermi superfluid of 6Li atoms. Compared with conventional fringe removal methods, our new algorithm increases the correlation function’s contrast of the density wave nearly 4 times, therefore enhancing the intensity of the density response spectrum by approximately 15% with half the measured standard error, paving the way for quantitatively determining the speed and attenuation of the second sound. These results demonstrate that the enhanced fringe removal algorithm not only effectively suppresses fringe noise, but also facilitates the identification and detection of important physical phenomena in high-density atomic systems, such as some collective excitations and new quantum phases.
2024, 73(14): 147101.
doi: 10.7498/aps.73.20240498
Abstract:
Understanding nonequilibrium transport phenomena in bosonic systems is highly challenging. Magnons, as bosons, exhibit different transport behavior from fermionic electron spins. This study focuses on the key factors influencing the nonequilibrium transport of magnons in steady states within magnetic insulators by taking Y3Fe5O12 (YIG) for example. By incorporating the Bose-Einstein distribution function with a non-zero chemical potential\begin{document}$ {\mu }_{m} $\end{document} ![]()
![]()
into the Boltzmann transport equation, analytical expressions for transport parameters in power of \begin{document}$ \alpha $\end{document} ![]()
![]()
(\begin{document}$ =-{\mu }_{{\mathrm{m}}}/({k}_{{\mathrm{B}}}T) $\end{document} ![]()
![]()
) are obtained under the condition α<1. It is the biggest different from previous researches that our theory establishes a nonlinear relationship between the chemical potential and the nonequilibrium particle density \begin{document}$ \delta {n}_{{\mathrm{m}}}\propto -{\alpha }^{1/2}\propto $\end{document} ![]()
![]()
\begin{document}$ -{(-{\mu }_{{\mathrm{m}}})}^{1/2} $\end{document} ![]()
![]()
for magnons under α\begin{document}$\ll 1 $\end{document} ![]()
![]()
. For a large chemical potential, higher-order terms of α must be taken into account. Owing to this nonlinear relationship, the magnon diffusion equation markedly differs from that governing electron spin,which evolves into more complex nonlinear differential equation. We specifically focus on the ferrimagnetic insulator YIG by making a comparison of the spatial distribution of the nonequilibrium magnon density \begin{document}$ \delta {n}_{m} $\end{document} ![]()
![]()
and chemical potential \begin{document}$ {\mu }_{m} $\end{document} ![]()
![]()
between two extreme temperature gradients, namely, \begin{document}$ \nabla T \sim 1\;{\mathrm{K}}/{\mathrm{m}}{\mathrm{m}} $\end{document} ![]()
![]()
and \begin{document}$ {10}^{4}\;{\mathrm{K}}/{\mathrm{m}}{\mathrm{m}}, $\end{document} ![]()
![]()
which correspond to \begin{document}$ {\mu }_{{\mathrm{m}}} $\end{document} ![]()
![]()
values on the order of \begin{document}$ -0.1\;{\text{μ}}{\mathrm{e}}{\mathrm{V}} $\end{document} ![]()
![]()
and \begin{document}$ -6.2\;{\mathrm{m}}{\mathrm{e}}{\mathrm{V}} $\end{document} ![]()
![]()
, respectively, while still satisfying the prerequisite α < 1. Given the known temperature gradient distribution, the nonequilibrium magnon density \begin{document}$ \delta {n}_{{\mathrm{m}}} $\end{document} ![]()
![]()
calculated based on our theory is in good agreement with the experimental result. Our theoretical and numerical findings greatly contribute to a profound understanding of the nonequilibrium magnon transport characteristics in magnetic insulators.
Understanding nonequilibrium transport phenomena in bosonic systems is highly challenging. Magnons, as bosons, exhibit different transport behavior from fermionic electron spins. This study focuses on the key factors influencing the nonequilibrium transport of magnons in steady states within magnetic insulators by taking Y3Fe5O12 (YIG) for example. By incorporating the Bose-Einstein distribution function with a non-zero chemical potential
2024, 73(14): 147501.
doi: 10.7498/aps.73.20240651
Abstract:
Polarization refers to the orientation of the wave oscillation which is a fundamental property of wave. It has been used widely to encode information in photonics and phononics. In magnonics, spin wave also has been used for transmitting and processing information. However, exploiting the spin wave polarization to design devices has not been achieved yet in ferromagnets as only the right-handed polarized spin waves can be accommodated in ferromagnets. Our eariler study suggests that the left-handed polarized spin waves can be introduced into ferromagnets by appling a spin-polarized electric current, thus making it possible to design spin wave devices with polarization encoding. But the critical current needed to induce left-handed polarized spin wave in a uniformly magnetized ferromagnet is too high to be realized experimentally. Magnetic domain wall can serve as spin wave guide, and the cutoff frequency of spin wave in a domain wall approaches zero. In this work, the dispersion relationship and propagation characteristics of spin wave in a Bloch domain wall are studied based on the Landau-Lifshitz equation in the presence of a spin-polarized electrical current. It is found that the stable left-handed spin wave can be generated in the domain wall with only a small current density. Micromagnetic simulations confirm the theoretical analysis results. In addition, due to the different excitation efficiencies and spin transfer torque induced propagating nonreciprocity of left- and right-handed polarized spin wave, it is possible to excite selectively the left- and right-handed polarized spin wave, as well as nearly linearly polarized spin waves. This study provides a practical and feasible solution for designing spin wave devices based on the polarization coding technique.
Polarization refers to the orientation of the wave oscillation which is a fundamental property of wave. It has been used widely to encode information in photonics and phononics. In magnonics, spin wave also has been used for transmitting and processing information. However, exploiting the spin wave polarization to design devices has not been achieved yet in ferromagnets as only the right-handed polarized spin waves can be accommodated in ferromagnets. Our eariler study suggests that the left-handed polarized spin waves can be introduced into ferromagnets by appling a spin-polarized electric current, thus making it possible to design spin wave devices with polarization encoding. But the critical current needed to induce left-handed polarized spin wave in a uniformly magnetized ferromagnet is too high to be realized experimentally. Magnetic domain wall can serve as spin wave guide, and the cutoff frequency of spin wave in a domain wall approaches zero. In this work, the dispersion relationship and propagation characteristics of spin wave in a Bloch domain wall are studied based on the Landau-Lifshitz equation in the presence of a spin-polarized electrical current. It is found that the stable left-handed spin wave can be generated in the domain wall with only a small current density. Micromagnetic simulations confirm the theoretical analysis results. In addition, due to the different excitation efficiencies and spin transfer torque induced propagating nonreciprocity of left- and right-handed polarized spin wave, it is possible to excite selectively the left- and right-handed polarized spin wave, as well as nearly linearly polarized spin waves. This study provides a practical and feasible solution for designing spin wave devices based on the polarization coding technique.
2024, 73(14): 147502.
doi: 10.7498/aps.73.20240615
Abstract:
Compared with single-phase multiferroic materials, magnetoelectric (ME) composites composed of piezoelectric and magnetostrictive materials have great ME coupling, and have received widespread attention in various application fields. The application of ME devices in wireless power transfer (WPT) is attractive due to their compactness and ability to operate at lower frequencies than conventional coils. However, traditional ME composites rely on permanent magnets or electromagnets to provide biased magnetic fields, thus leading to problems such as high noise, large size, and high cost, which significantly hinder the advancement of miniaturized and high-performance ME devices. To solve this problem, a self-biased ME laminated structure based on the magnetization grading effect is proposed in this work. Using the equivalent magnetization and nonlinear magnetostrictive constitutive relationship, a finite element simulation model for a self-biased ME transducer operating in L-T mode is constructed. The ME coupling performances without DC bias in bending vibration mode and stretching vibration mode are studied. Based on the model, the corresponding experimental samples are prepared for measurement. The measurement results are in agreement with the simulation data, thereby validating the accuracy and effectiveness of the model. The measured results show that the Metglas/Galfenol/PZT-5A structure can exhibit more significant self-biased ME effect under the stretching resonance mode than under bending resonance mode. Its ME coefficient attains a notable value of 10.7 V·cm–1·Oe–1 at 99.4 kHz, while ME power coefficient reaches 5.01 μW·Oe–2 at 97.9 kHz. Its on-load ME power coefficient can reach up to 4.62 μW·Oe–2 at 99.3 kHz without impedance matching. When an external bias magnetic field of 25 Oe is applied, these performance indexes increase significantly to 47.06 V·cm–1·Oe–1 at 99.4 kHz and 82.13 μW·Oe–2 at 99.0 kHz, respectively. The simulation results further show that the performance of the self-biased ME transducer can be significantly improved by increasing the thickness of the high permeability layer. For example, by increasing the Metglas layer thickness from 30 μm to 90 μm, both the ME coefficient and ME power coefficient increase rapidly by 2.47 times and 6.96 times the original values, respectively. Self-biased ME transducers effectively reduce the dependence on external bias magnetic field, thereby providing a good approach for applying and developing ME composites in low-frequency WPT systems.
Compared with single-phase multiferroic materials, magnetoelectric (ME) composites composed of piezoelectric and magnetostrictive materials have great ME coupling, and have received widespread attention in various application fields. The application of ME devices in wireless power transfer (WPT) is attractive due to their compactness and ability to operate at lower frequencies than conventional coils. However, traditional ME composites rely on permanent magnets or electromagnets to provide biased magnetic fields, thus leading to problems such as high noise, large size, and high cost, which significantly hinder the advancement of miniaturized and high-performance ME devices. To solve this problem, a self-biased ME laminated structure based on the magnetization grading effect is proposed in this work. Using the equivalent magnetization and nonlinear magnetostrictive constitutive relationship, a finite element simulation model for a self-biased ME transducer operating in L-T mode is constructed. The ME coupling performances without DC bias in bending vibration mode and stretching vibration mode are studied. Based on the model, the corresponding experimental samples are prepared for measurement. The measurement results are in agreement with the simulation data, thereby validating the accuracy and effectiveness of the model. The measured results show that the Metglas/Galfenol/PZT-5A structure can exhibit more significant self-biased ME effect under the stretching resonance mode than under bending resonance mode. Its ME coefficient attains a notable value of 10.7 V·cm–1·Oe–1 at 99.4 kHz, while ME power coefficient reaches 5.01 μW·Oe–2 at 97.9 kHz. Its on-load ME power coefficient can reach up to 4.62 μW·Oe–2 at 99.3 kHz without impedance matching. When an external bias magnetic field of 25 Oe is applied, these performance indexes increase significantly to 47.06 V·cm–1·Oe–1 at 99.4 kHz and 82.13 μW·Oe–2 at 99.0 kHz, respectively. The simulation results further show that the performance of the self-biased ME transducer can be significantly improved by increasing the thickness of the high permeability layer. For example, by increasing the Metglas layer thickness from 30 μm to 90 μm, both the ME coefficient and ME power coefficient increase rapidly by 2.47 times and 6.96 times the original values, respectively. Self-biased ME transducers effectively reduce the dependence on external bias magnetic field, thereby providing a good approach for applying and developing ME composites in low-frequency WPT systems.
2024, 73(14): 147701.
doi: 10.7498/aps.73.20240478
Abstract:
The coupling between translational motion and rotational motion in liquids is one of the long-standing concerns in condensed matter physics. The relaxation times of α relaxation and probe ion conductivities in a series of small molecular liquids, 15 types of single and binary small molecular liquids with different molecular shapes and functional groups when the number of carbon atoms is in a range from 3 to 14, are simultaneously obtained by dielectric spectroscopy method in this work. The results indicate that the coupling between translation and rotation is not directly related to the functional group of liquid molecules, nor very sensitive to the shape nor the size of molecules or ion size. However, the microstructure of liquid is a key factor affecting the coupling between translation and rotation. In other words, when the microstructure of the liquid is unchanged, the dependence of relaxation time on temperature is consistent with the dependence of conductivity reciprocal on temperature, whether in single small molecular liquids or in binary small molecular liquids, which provides a method for measuring relaxation time. The research results also show that the temperature dependence of the conductivity of the impurity ions carried by the liquid itself is consistent with the one of quantitatively doped ions, providing the ideas for investigating the ion conductivity behavior in organic small molecular liquids with low electrolyte solubilities. The experimental results of monohydroxy alcohol are consistent with the viewpoint that α relaxation rather than Debye relaxation corresponds to the system structure relaxation.
The coupling between translational motion and rotational motion in liquids is one of the long-standing concerns in condensed matter physics. The relaxation times of α relaxation and probe ion conductivities in a series of small molecular liquids, 15 types of single and binary small molecular liquids with different molecular shapes and functional groups when the number of carbon atoms is in a range from 3 to 14, are simultaneously obtained by dielectric spectroscopy method in this work. The results indicate that the coupling between translation and rotation is not directly related to the functional group of liquid molecules, nor very sensitive to the shape nor the size of molecules or ion size. However, the microstructure of liquid is a key factor affecting the coupling between translation and rotation. In other words, when the microstructure of the liquid is unchanged, the dependence of relaxation time on temperature is consistent with the dependence of conductivity reciprocal on temperature, whether in single small molecular liquids or in binary small molecular liquids, which provides a method for measuring relaxation time. The research results also show that the temperature dependence of the conductivity of the impurity ions carried by the liquid itself is consistent with the one of quantitatively doped ions, providing the ideas for investigating the ion conductivity behavior in organic small molecular liquids with low electrolyte solubilities. The experimental results of monohydroxy alcohol are consistent with the viewpoint that α relaxation rather than Debye relaxation corresponds to the system structure relaxation.
2024, 73(14): 147702.
doi: 10.7498/aps.73.20240583
Abstract:
Hybrid improper ferroelectricity with quasi-two-dimensional (quasi-2D) structure has attracted much attention recently due to its great potential in realizing strong magnetoelectric coupling and room-temperature multiferroicity in a single phase. However, recent studies show that there appears high coercive field and low remnant polarization in ceramics, which severely hinders the applications of this material. In this work, high-quality Sr3Sn2O7 and Sr3Sn1.99Ge0.01O7 ceramics with a Ruddlesden-Popper (R-P) structure are successfully prepared, and their crystal structures and electrical properties are investigated in detail. It is found that the Sr3Sn2O7 ceramic exhibits a lower coercive field that is close to that of Sr3Sn2O7 single crystal. Moreover, via a small amount of Ge doping, the polarization reaches 0.34 μC/cm2 for Sr3Sn2O7 and 0.61 μC/cm2 for Sr3Sn1.99Ge0.01O7. Combining crystal lattice dynamic studies, we analyze the Raman and infrared responses of the samples, showing the information about the tilting and rotation of the oxygen octahedra in the samples. The improved ferroelectricity after doping may be attributed to the increased amplitude of the tilt mode and the reduced amplitude of rotation mode. Besides, the enhanced ferroelectric properties through Ge doping and its mechanism are further investigated by the Berry phase approach and the Born effective charge method. Furthermore, via the UV-visible spectra, the optical bandgap is determined to be 3.91 eV for Sr3Sn2O7 ceramic and 3.95 eV for Sr3Sn1.99Ge0.01O7 ceramic. Using the Becke-Johnson potential combined with the local density approximation correlation, the bandgap is calculated and is found to be in close agreement with the experimental result. And the electronic excitations can be assigned to the charge transfer excitation from O 2p to Sn 5s (Ge 4s). The effects of Ge doping on the ability of Sr3Sn2O7 to gain and lose electrons and the bonding strength of Sn-O bond are analyzed via two-dimensional charge density difference. In conclusion, this study provides insights into the synthesis method and modulation of ferroelectric properties of hybrid improper ferroelectrics Sr3Sn2O7, potentially facilitating their widespread applications in various capacitors and non-volatile memory devices.
Hybrid improper ferroelectricity with quasi-two-dimensional (quasi-2D) structure has attracted much attention recently due to its great potential in realizing strong magnetoelectric coupling and room-temperature multiferroicity in a single phase. However, recent studies show that there appears high coercive field and low remnant polarization in ceramics, which severely hinders the applications of this material. In this work, high-quality Sr3Sn2O7 and Sr3Sn1.99Ge0.01O7 ceramics with a Ruddlesden-Popper (R-P) structure are successfully prepared, and their crystal structures and electrical properties are investigated in detail. It is found that the Sr3Sn2O7 ceramic exhibits a lower coercive field that is close to that of Sr3Sn2O7 single crystal. Moreover, via a small amount of Ge doping, the polarization reaches 0.34 μC/cm2 for Sr3Sn2O7 and 0.61 μC/cm2 for Sr3Sn1.99Ge0.01O7. Combining crystal lattice dynamic studies, we analyze the Raman and infrared responses of the samples, showing the information about the tilting and rotation of the oxygen octahedra in the samples. The improved ferroelectricity after doping may be attributed to the increased amplitude of the tilt mode and the reduced amplitude of rotation mode. Besides, the enhanced ferroelectric properties through Ge doping and its mechanism are further investigated by the Berry phase approach and the Born effective charge method. Furthermore, via the UV-visible spectra, the optical bandgap is determined to be 3.91 eV for Sr3Sn2O7 ceramic and 3.95 eV for Sr3Sn1.99Ge0.01O7 ceramic. Using the Becke-Johnson potential combined with the local density approximation correlation, the bandgap is calculated and is found to be in close agreement with the experimental result. And the electronic excitations can be assigned to the charge transfer excitation from O 2p to Sn 5s (Ge 4s). The effects of Ge doping on the ability of Sr3Sn2O7 to gain and lose electrons and the bonding strength of Sn-O bond are analyzed via two-dimensional charge density difference. In conclusion, this study provides insights into the synthesis method and modulation of ferroelectric properties of hybrid improper ferroelectrics Sr3Sn2O7, potentially facilitating their widespread applications in various capacitors and non-volatile memory devices.
2024, 73(14): 148201.
doi: 10.7498/aps.73.20240393
Abstract:
Due to the small neutron absorption cross section and excellent thermal creep performance, zirconium alloy is one of the most important cladding materials for fuel rods in commercial fission reactors. However, quantitative analysis of the effects of temperature and grain boundaries on the corrosion microstructure evolution of zirconium alloys is still needed. The establishing of a phase field simulation for the corrosion process of polycrystalline zirconium alloy and the systematical investigating of the thermodynamic influence are both very important. In this study, the phase field model of the corrosion process in zirconium alloys is developed by combining corrosion electrochemistry through calculating the interfacial energy at the metal-oxide and oxide-fluid boundaries. Then the model is used to investigate the uniform corrosion behavior on the surface of Zr-2.5Sn alloy, which demonstrates that the corrosion kinetic curve follows a cubic rule. Subsequently, the influence of temperature on the corrosion thickening curve of zirconium alloy is examined, and good agreement between simulation and experimental results is achieved. It is observed that during early stage of oxide layer formation, there is a high growth rate with minimal temperature dependence; however, as the oxide layer thickness increases, temperature becomes a significant factor affecting its growth rate, with higher temperatures resulting in faster corrosion rates. Furthermore, the effect of polycrystalline zirconium alloy matrices on corrosion rate is investigated, revealing that the grain boundaries accelerate oxide layer thickening due to enhanced oxygen diffusion rates. At metal-oxide interface, O2– bands are formed in areas with higher O2– concentration along these grain boundaries towards the metal matrix, which mainly influences oxidation-corrosion rate during the initial oxidation stage.
Due to the small neutron absorption cross section and excellent thermal creep performance, zirconium alloy is one of the most important cladding materials for fuel rods in commercial fission reactors. However, quantitative analysis of the effects of temperature and grain boundaries on the corrosion microstructure evolution of zirconium alloys is still needed. The establishing of a phase field simulation for the corrosion process of polycrystalline zirconium alloy and the systematical investigating of the thermodynamic influence are both very important. In this study, the phase field model of the corrosion process in zirconium alloys is developed by combining corrosion electrochemistry through calculating the interfacial energy at the metal-oxide and oxide-fluid boundaries. Then the model is used to investigate the uniform corrosion behavior on the surface of Zr-2.5Sn alloy, which demonstrates that the corrosion kinetic curve follows a cubic rule. Subsequently, the influence of temperature on the corrosion thickening curve of zirconium alloy is examined, and good agreement between simulation and experimental results is achieved. It is observed that during early stage of oxide layer formation, there is a high growth rate with minimal temperature dependence; however, as the oxide layer thickness increases, temperature becomes a significant factor affecting its growth rate, with higher temperatures resulting in faster corrosion rates. Furthermore, the effect of polycrystalline zirconium alloy matrices on corrosion rate is investigated, revealing that the grain boundaries accelerate oxide layer thickening due to enhanced oxygen diffusion rates. At metal-oxide interface, O2– bands are formed in areas with higher O2– concentration along these grain boundaries towards the metal matrix, which mainly influences oxidation-corrosion rate during the initial oxidation stage.
2024, 73(14): 148202.
doi: 10.7498/aps.73.20240559
Abstract:
The study of diffusion in complex confined environments has received great attention in the field of condensed matter physics. The emergence of colloidal systems provides an excellent experimental model system for quantitatively studying the confined diffusion of microscopic particles. When colloidal particles change from spherical to ellipsoidal shape, the system presents anisotropic diffusion dynamics. Recent studies have found that rough surfaces, another important physical parameter of colloids, can lead to unusual rotational dynamics in spherical colloidal systems. However, due to the lack of a suitable experimental system, little is known about the effect of rough surfaces on the confined diffusion of ellipsoidal colloidal particles. In this work, rough colloidal spheres, rough colloidal ellipsoids, and smooth colloidal ellipsoids are prepared, and then monolayer colloidal samples are prepared to study the confined diffusions of these two types of ellipsoids in dense packing of the rough sphere colloids. By calculating the mean square displacement, intermediate self-scattering function, and orientation correlation function of the ellipsoids, we quantitatively characterize the diffusion dynamics of rough and smooth ellipsoids in varying concentrations of rough spheres. The results indicate that the translational diffusion and rotational diffusion of rough ellipsoids and smooth ellipsoids slow down as the concentration of rough spheres increases. This is due to the confinement of the ellipsoid by the surrounding spheres. At low stacking fractions of spheres, smooth and rough ellipsoids show similar translational diffusion and rotational diffusion. However, as the stacking fraction of spheres increases, there is a significant difference in advection diffusion between rough ellipsoids and smooth ellipsoids. The advection diffusion of rough ellipsoids is significantly slower than that of smooth ellipsoids. This is because the rough surface strongly inhibits rotation, meaning that the rotational diffusion of the rough ellipsoids is significantly slower than that of the smooth ellipsoids. By extracting the diffusion coefficients for translation and rotation from the ellipsoid's long-time mean-square displacements, we find that at ϕ = 0.60 and 0.65, the diffusion coefficients of rough ellipsoids are smaller than those of smooth ellipsoids. The translational diffusion coefficient of the rough ellipsoids is notably smaller than that of the smooth ellipsoids. However, the rotation diffusion coefficient of the rough ellipsoids is not significantly different from that of the smooth ellipsoids. This suggests that the rough surface mainly affect translational diffusion, strongly suppressing the translational diffusion of the ellipsoids. By calculating the displacement probability distribution for ellipsoidal motion, we find that at ϕ = 0.65, the translational displacements of rough ellipsoids have a relatively narrow distribution. This suggests that the translational motion of particles is suppressed by the rough surface. However, the distributions of rotation displacement for smooth ellipsoids and rough ellipsoids are very similar, indicating that the rough surface has less influence on particle rotation. At ϕ = 0.74, the rough surface suppresses both the translation and the rotation of the ellipsoid, resulting in a narrower displacement distribution than in the case of smooth ellipsoid. These findings suggest that rough surfaces significantly impede ellipsoidal diffusion, leading the translational and rotational motions not to occur simultaneously. This study provides an in-depth understanding of the role of rough surfaces of colloidal particles in confined diffusion, as well as an experimental basis for explaining the diffusion laws of rough materials.
The study of diffusion in complex confined environments has received great attention in the field of condensed matter physics. The emergence of colloidal systems provides an excellent experimental model system for quantitatively studying the confined diffusion of microscopic particles. When colloidal particles change from spherical to ellipsoidal shape, the system presents anisotropic diffusion dynamics. Recent studies have found that rough surfaces, another important physical parameter of colloids, can lead to unusual rotational dynamics in spherical colloidal systems. However, due to the lack of a suitable experimental system, little is known about the effect of rough surfaces on the confined diffusion of ellipsoidal colloidal particles. In this work, rough colloidal spheres, rough colloidal ellipsoids, and smooth colloidal ellipsoids are prepared, and then monolayer colloidal samples are prepared to study the confined diffusions of these two types of ellipsoids in dense packing of the rough sphere colloids. By calculating the mean square displacement, intermediate self-scattering function, and orientation correlation function of the ellipsoids, we quantitatively characterize the diffusion dynamics of rough and smooth ellipsoids in varying concentrations of rough spheres. The results indicate that the translational diffusion and rotational diffusion of rough ellipsoids and smooth ellipsoids slow down as the concentration of rough spheres increases. This is due to the confinement of the ellipsoid by the surrounding spheres. At low stacking fractions of spheres, smooth and rough ellipsoids show similar translational diffusion and rotational diffusion. However, as the stacking fraction of spheres increases, there is a significant difference in advection diffusion between rough ellipsoids and smooth ellipsoids. The advection diffusion of rough ellipsoids is significantly slower than that of smooth ellipsoids. This is because the rough surface strongly inhibits rotation, meaning that the rotational diffusion of the rough ellipsoids is significantly slower than that of the smooth ellipsoids. By extracting the diffusion coefficients for translation and rotation from the ellipsoid's long-time mean-square displacements, we find that at ϕ = 0.60 and 0.65, the diffusion coefficients of rough ellipsoids are smaller than those of smooth ellipsoids. The translational diffusion coefficient of the rough ellipsoids is notably smaller than that of the smooth ellipsoids. However, the rotation diffusion coefficient of the rough ellipsoids is not significantly different from that of the smooth ellipsoids. This suggests that the rough surface mainly affect translational diffusion, strongly suppressing the translational diffusion of the ellipsoids. By calculating the displacement probability distribution for ellipsoidal motion, we find that at ϕ = 0.65, the translational displacements of rough ellipsoids have a relatively narrow distribution. This suggests that the translational motion of particles is suppressed by the rough surface. However, the distributions of rotation displacement for smooth ellipsoids and rough ellipsoids are very similar, indicating that the rough surface has less influence on particle rotation. At ϕ = 0.74, the rough surface suppresses both the translation and the rotation of the ellipsoid, resulting in a narrower displacement distribution than in the case of smooth ellipsoid. These findings suggest that rough surfaces significantly impede ellipsoidal diffusion, leading the translational and rotational motions not to occur simultaneously. This study provides an in-depth understanding of the role of rough surfaces of colloidal particles in confined diffusion, as well as an experimental basis for explaining the diffusion laws of rough materials.
2024, 73(14): 148701.
doi: 10.7498/aps.73.20240525
Abstract:
Metasurfaces can realize flexible modulation of electromagnetic waves at the wavelength level. However, the reported functions of metasurface are usually fixed and cannot be changed, once its structural design is completed. The designed metasurface cannot meet the requirements for flexible regulation of terahertz waves. We find that the phase change material of vanadium dioxide can achieve a transition from insulating state to metallic state through thermal, electrical, or light excitation, and the phase transition of this material is reversible. Therefore, using vanadium dioxide to form a composite metasurface can achieve dynamic modulation of terahertz waves. In this study, we propose a terahertz metasurface with switchable broadband absorption and polarization conversion. The proposed metasurface is composed of a 9-layer structure stacked from bottom to top with a combination pattern of different dielectric layers. By adjusting the conductivity of vanadium dioxide, the designed metasurface can achieve flexible switching between terahertz wave absorption function and polarization conversion function. When the vanadium dioxide is in the metal state, the designed metasurface behaves as a broadband absorber with an absorption rate of more than 90% in a range of 6.32–18.06 THz and a relative bandwidth of 96.3%. When the vanadium dioxide is in the insulated state, the designed structure acts as a polarization converter in a frequency range of 2.41–3.42 THz, 4.78–7.48 THz, and 9.53–9.73 THz, respectively, with a polarization conversion rate of over 90%. We believe that this metasurface structure will have good applications in the fields of terahertz wave detection, terahertz switches, terahertz filtering, terahertz communication, and terahertz sensing.
Metasurfaces can realize flexible modulation of electromagnetic waves at the wavelength level. However, the reported functions of metasurface are usually fixed and cannot be changed, once its structural design is completed. The designed metasurface cannot meet the requirements for flexible regulation of terahertz waves. We find that the phase change material of vanadium dioxide can achieve a transition from insulating state to metallic state through thermal, electrical, or light excitation, and the phase transition of this material is reversible. Therefore, using vanadium dioxide to form a composite metasurface can achieve dynamic modulation of terahertz waves. In this study, we propose a terahertz metasurface with switchable broadband absorption and polarization conversion. The proposed metasurface is composed of a 9-layer structure stacked from bottom to top with a combination pattern of different dielectric layers. By adjusting the conductivity of vanadium dioxide, the designed metasurface can achieve flexible switching between terahertz wave absorption function and polarization conversion function. When the vanadium dioxide is in the metal state, the designed metasurface behaves as a broadband absorber with an absorption rate of more than 90% in a range of 6.32–18.06 THz and a relative bandwidth of 96.3%. When the vanadium dioxide is in the insulated state, the designed structure acts as a polarization converter in a frequency range of 2.41–3.42 THz, 4.78–7.48 THz, and 9.53–9.73 THz, respectively, with a polarization conversion rate of over 90%. We believe that this metasurface structure will have good applications in the fields of terahertz wave detection, terahertz switches, terahertz filtering, terahertz communication, and terahertz sensing.









