2024 Vol. 73, No. 23
column
- INSTRUMENTATION AND MEASUREMENT
- DATA PAPERS
- COVER ARTICLE
- GENERAL
- NUCLEAR PHYSICS
- ELECTROMAGNETISM, OPTICS, ACOUSTICS, HEAT TRANSFER, CLASSICAL MECHANICS, AND FLUID DYNAMICS
- PHYSICS OF GASES, PLASMAS, AND ELECTRIC DISCHARGES
- CONDENSED MATTER: STRUCTURAL, MECHANICAL, AND THERMAL PROPERTIES
- CONDENSED MATTER: ELECTRONIC STRUCTURE, ELECTRICAL, MAGNETIC, AND OPTICAL PROPERTIES
- INTERDISCIPLINARY PHYSICS AND RELATED AREAS OF SCIENCE AND TECHNOLOGY
- GEOPHYSICS, ASTRONOMY, AND ASTROPHYSICS
- ERRATA
Display Method:
2024, 73(23): 230701.
doi: 10.7498/aps.73.20241211
Abstract:
Dilution refrigerator, as a refrigeration technology that can obtain extremely low temperatures below 10 mK, is widely used in fields such as quantum computing, and condensed matter physics. The development of the most widely used typical dry dilution refrigerators has been relatively mature, while there is little research on other types of dilution refrigerators, and there is a lack of comprehensive and systematic research on dilution refrigeration technology. This paper focuses on the current status of dilution refrigeration technology research, introduces its basic principles, and points out that the fundamental reason for continuous refrigeration is the limited solubility of 3He in 4He and the difference in enthalpy between the concentrated phase and the dilute phase. This paper summarizes the realization forms and research progress of typical dilution refrigerators, 4He cycle dilution refrigerators, cold cycle dilution refrigerators, and space dilution refrigerators, and discusses their respective application occasions and advantages and disadvantages. From the Kapitza thermal resistance, osmotic pressure, and resistance, this paper analyzes the key influencing factors and design calculation methods for realizing dilution refrigerators below 10 mK, which provides reference for studying dilution refrigeration technology.
2024, 73(23): 230201.
doi: 10.7498/aps.73.20241278
Abstract:
Discovering compact, stable, and easily controllable nanoscale non-trivial topological magnetic structures, such as magnetic skyrmions, is the key to developing next-generation high-density, high-speed, and low-energy non-volatile information storage devices. Based on the topological generation mechanism, magnetic skyrmions can be generated through the Dzyaloshinskii–Moriya interaction (DMI) caused by breaking space-reversal symmetry. Two-dimensional (2D) non-centrosymmetric Janus structurecan generate vertical built-in electric fields to break spatial inversion symmetry. Therefore, seeking for 2D Janus material with intrinsic magnetism is fundamental to develop the novel chiral magnetic storage technologies. In this work, we combine detailed machine learning techniques and first-principle calculations to investigate the magnetism of the unexplored 2D Janus material. We first collect 1179 2D hexagonal ABC-type Janus materials based on the Materials Project database, and use elemental composition as feature descriptors to construct four machine learning models: random forest (RF), gradient boosting decision trees (GBDT), extreme gradient boosting (XGB), and extra trees (ET). These algorithms and models are constructed to predict lattice constants, formation energy, and magnetic moment, via hyperparameter optimization and ten-fold cross-validation. The GBDT exhibits the highest accuracy and best prediction performance for magnetic moment classification. Subsequently, the collected data of 82018 yet-undiscovered 2D Janus materials, are input into the trained models to generate 4024 high magnetic moment 2D Janus materials with thermal stability. First-principles calculations are employed to validate random sample of 13 Janus materials with high magnetic moment. This study provides an effective machine learning framework for classifying the magnetic moments and screening highthroughput 2D Janus structures, thereby accelerating the exploration of their magnetic properties. The datasets provided in this work are available fromhttps://doi.org/10.57760/sciencedb.j00213.00072 .
Discovering compact, stable, and easily controllable nanoscale non-trivial topological magnetic structures, such as magnetic skyrmions, is the key to developing next-generation high-density, high-speed, and low-energy non-volatile information storage devices. Based on the topological generation mechanism, magnetic skyrmions can be generated through the Dzyaloshinskii–Moriya interaction (DMI) caused by breaking space-reversal symmetry. Two-dimensional (2D) non-centrosymmetric Janus structurecan generate vertical built-in electric fields to break spatial inversion symmetry. Therefore, seeking for 2D Janus material with intrinsic magnetism is fundamental to develop the novel chiral magnetic storage technologies. In this work, we combine detailed machine learning techniques and first-principle calculations to investigate the magnetism of the unexplored 2D Janus material. We first collect 1179 2D hexagonal ABC-type Janus materials based on the Materials Project database, and use elemental composition as feature descriptors to construct four machine learning models: random forest (RF), gradient boosting decision trees (GBDT), extreme gradient boosting (XGB), and extra trees (ET). These algorithms and models are constructed to predict lattice constants, formation energy, and magnetic moment, via hyperparameter optimization and ten-fold cross-validation. The GBDT exhibits the highest accuracy and best prediction performance for magnetic moment classification. Subsequently, the collected data of 82018 yet-undiscovered 2D Janus materials, are input into the trained models to generate 4024 high magnetic moment 2D Janus materials with thermal stability. First-principles calculations are employed to validate random sample of 13 Janus materials with high magnetic moment. This study provides an effective machine learning framework for classifying the magnetic moments and screening highthroughput 2D Janus structures, thereby accelerating the exploration of their magnetic properties. The datasets provided in this work are available from
2024, 73(23): 230202.
doi: 10.7498/aps.73.20241369
Abstract:
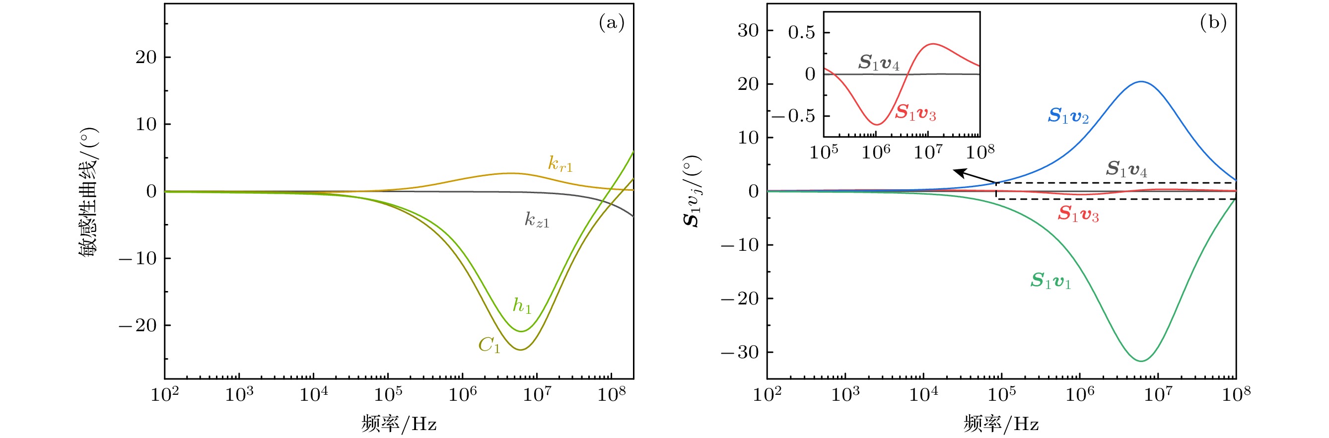
Thermoreflectance techniques, particularly frequency-domain thermoreflectance (FDTR), play a crucial role in measuring the thermal properties of bulk and thin-film materials. These methods precisely measure thermal conductivity, specific heat capacity, and interfacial thermal conductance by analyzing the surface temperature response signals through thermoreflectance. However, the complex interplay among parameters presents challenges in data analysis, where single-variable analysis often fails to accurately capture intra-layer and inter-layer interactions. In this work, FDTR is used as a case study and the relationships between sensitivity coefficients of various parameters are systematically explored through singular value decomposition (SVD). Specifically, the SVD of sensitivity matrix S of the system's parameters is performed to identify smaller singular values and their corresponding right singular vectors, which are the basis vectors of the null space of matrix S . These vectors reveal the relationships among parameter sensitivities, thereby uncovering the most fundamental combination parameters that determine the thermoreflectance signal. This method not only clarifies the dependency relationships between variables but also determines the maximum number of parameters that can be experimentally extracted, and the parameters that must be known beforehand. To demonstrate the practical value of these combination parameters, this work conducts a detailed analysis of FDTR signals from an aluminum/sapphire sample. Unlike traditional FDTR experiments, which typically fit only the thermal conductivity and interfacial thermal conductance of the substrate, our sensitivity analysis reveals that it is possible to simultaneously determine the thermal conductivity of the metal film, substrate’s thermal conductivity, substrate’s specific heat capacity, and interfacial thermal conductance. The fitting results are consistent with reference values from the literature and measurements from other thermoreflectance techniques, thus validating the effectiveness and reliability of our method. This comprehensive analysis not only deepens the understanding of thermoreflectance phenomena but also provides strong support for the future development of thermal characterization technology and material research, showing the significant potential application of SVD in complex multi-parameter systems.
Thermoreflectance techniques, particularly frequency-domain thermoreflectance (FDTR), play a crucial role in measuring the thermal properties of bulk and thin-film materials. These methods precisely measure thermal conductivity, specific heat capacity, and interfacial thermal conductance by analyzing the surface temperature response signals through thermoreflectance. However, the complex interplay among parameters presents challenges in data analysis, where single-variable analysis often fails to accurately capture intra-layer and inter-layer interactions. In this work, FDTR is used as a case study and the relationships between sensitivity coefficients of various parameters are systematically explored through singular value decomposition (SVD). Specifically, the SVD of sensitivity matrix S of the system's parameters is performed to identify smaller singular values and their corresponding right singular vectors, which are the basis vectors of the null space of matrix S . These vectors reveal the relationships among parameter sensitivities, thereby uncovering the most fundamental combination parameters that determine the thermoreflectance signal. This method not only clarifies the dependency relationships between variables but also determines the maximum number of parameters that can be experimentally extracted, and the parameters that must be known beforehand. To demonstrate the practical value of these combination parameters, this work conducts a detailed analysis of FDTR signals from an aluminum/sapphire sample. Unlike traditional FDTR experiments, which typically fit only the thermal conductivity and interfacial thermal conductance of the substrate, our sensitivity analysis reveals that it is possible to simultaneously determine the thermal conductivity of the metal film, substrate’s thermal conductivity, substrate’s specific heat capacity, and interfacial thermal conductance. The fitting results are consistent with reference values from the literature and measurements from other thermoreflectance techniques, thus validating the effectiveness and reliability of our method. This comprehensive analysis not only deepens the understanding of thermoreflectance phenomena but also provides strong support for the future development of thermal characterization technology and material research, showing the significant potential application of SVD in complex multi-parameter systems.
2024, 73(23): 230301.
doi: 10.7498/aps.73.20241382
Abstract:
Quantum key distribution (QKD) is a pivotal technology in the field of secure communication by using the principles of quantum mechanics to implement theoretically unbreakable encryption. However, QKD faces significant challenges in achieving large-scale deployment. The primary hurdle lies in the scarcity of quantum resources, especially entangled photon pairs, which are fundamental to protocols such as Ekert91. In traditional QKD implementations, only a small potion of the generated entanglement pairs contribute to generating the original key, resulting in lower efficiency and resource waste. Resolving this limitation is crucial to the advancement and scalability of QKD networks. This paper introduces an innovative approach to QKD by integrating the multiscale entanglement renormalization ansatz (MERA), a technique which is originally developed for many-body quantum systems. By utilizing MERA’s hierarchical structure, the proposed method not only improves the efficiency of entanglement distribution but also reduces the consumption of quantum resources. Specifically, MERA compresses many-body quantum states into lower-dimensional representations, allowing for the transmission and storage of entanglement in a more efficient manner. This compression significantly reduces the number of qubits required, optimizing both entanglement utilization and storage capacity in quantum networks. To evaluate the performance of this method, we conduct simulations under standardized conditions. In the simulation, a 1024-bit encryption request, an 8% error rate, an average path length of 4 hops in the quantum network, and a 95% success rate for link entanglement generation and entanglement swapping operations are assumed. These parameters reflect the real physical conditions in contemporary QKD networks. The results demonstrate that compared with traditional QKD protocols, the MERA-based approach saves 124151 entangled pairs, which is impressive. This significant reduction in resource consumption indicates the potential application of MERA in improving the efficiency of QKD systems without sacrificing security. Importantly, the security of the key exchange process remains intact, for the method inherently adheres to the principles of quantum mechanics, particularly the no-cloning theorem and the use of randomness in the decompression layer. Some conclusions can be drawn below. The MERA not only enhances the scalability of QKD by optimizing quantum resource allocation, but also maintains the necessary security guarantees for practical cryptographic applications. By integrating MERA into existing QKD frameworks, we can significantly reduce the resource overhead and make large-scale, secure quantum communication more feasible. These findings contribute a new dimension to the field of quantum cryptography, indicating that advanced quantum many-body techniques like MERA have the potential to unlock the full potential of quantum networks in real world.
2024, 73(23): 230302.
doi: 10.7498/aps.73.20241303
Abstract:
The quantum oscillator model plays a significant role in quantum optics and quantum information and has been one of the hot topics in related research fields. Inspired by the single-mode linear harmonic oscillator and the two-mode entangled state representation, we construct a two-mode coupled harmonic oscillator in this work. Different from the quantum transformation method used in previous literature, the entangled state representation is directly used in this work to solve its energy eigenvalues and eigenfunctions easily. The energy eigenvalues and eigenfunctions of this two-mode coupled harmonic oscillator are continuous compared with those of the one-mode harmonic oscillator. Using the matrix theory of quantum operators, we derive the transformation and inverse transformation of the time evolution operator corresponding to the two-mode coupled harmonic oscillator. In addition, using the entangled state representation, the specific form of the time evolution of the two-mode vacuum state under the action of the oscillator is obtained. Through the analysis of quantum fidelity, it is found that the fidelity of the output quantum state decreases with the oscillator frequency increasing, and the fidelity eventually tends to zero with the increase of time. When analyzing the orthogonal squeezing properties of the output quantum state, this type of two-mode oscillator does not have the orthogonal squeezing effect, but it has a strong quantum dissipation effect instead. This conclusion is further verified by the quasi-probability distribution Q function of the quantum state phase space. Therefore, the two-mode coupled harmonic oscillator has a major reference value in quantum control such as quantum decoherence and quantum information transmission. Like the two-mode squeezed vacuum state, the photon distribution of the output quantum light field corresponding to the two-mode harmonic oscillator presents a super-Poisson distribution, and the photons exhibit a strong anti-bunching effect. Using the three-dimensional discrete plot of the photon number distribution, the super-Poisson distribution and quantum dissipation effect of the output quantum state are intuitively demonstrated. Finally, the SV, which is an entanglement criterion, is used to determine that the output quantum state has a high degree of entanglement. Further numerical analysis shows that the degree of entanglement increases with the action time and the oscillator frequency. In summary, the two-mode coupled harmonic oscillator constructed in this work can be used to prepare highly entangled quantum states through a complete quantum dissipation process. This provides theoretical support for experimental preparing quantum entangled states based on dissipative mechanisms.
2024, 73(23): 230303.
doi: 10.7498/aps.73.20241094
Abstract:
In experimental setups of continuous-variable quantum key distribution (CVQKD) independently modulating the amplitude and phase of coherent states, the ideal Gaussian modulation will be degraded into discretized polar modulation (DPM) due to the finite resolution of the driving voltages of electro-optical modulators. To compensate for the performance degradation induced by the joint effect of amplitude and phase discretization, linear optics cloning machine (LOCM) can be introduced on the receiver side. Implemented by linear optical elements, heterodyne detection and controlled displacement, LOCM introduces extra noise that can be transformed into an advantageous one to combat channel excess noise by dynamically adjusting the relevant parameters into a suitable range. In this paper, the prepare-and-measure version of LOCM DPM-CVQKD is presented, where the incoming signal state enters a tunable LOCM before being measured by the nonideal heterodyne detector. The equivalent entanglement-based model is also established to perform security analysis, where the LOCM is reformulated into combination of the incoming signal state and a thermal state on a beam splitter. The composable secret key rate is derived to investigate the security of LOCM DPM-CVQKD. Simulation results demonstrate that the composable secret key rate and transmission distance are closely related to the tuning gain and the transmittance of LOCM. Once these two parameters are set to appropriate values, LOCM can improve the secret key rate and transmission distance of DPM-CVQKD, as well as its resistance to excess noise. Meanwhile, taking finite-size effect into consideration, the LOCM can also effectively reduce the requirement for the block size of the exchanged signals, which is beneficial to the feasibility and practicability of CVQKD. Owing to the fact that the performance of LOCM DPM-CVQKD is largely reliant on the calibration selection of relevant parameters, further research may concentrate on the optimization of LOCM in experimental implementations, where machine learning related methods may be utilized.
In experimental setups of continuous-variable quantum key distribution (CVQKD) independently modulating the amplitude and phase of coherent states, the ideal Gaussian modulation will be degraded into discretized polar modulation (DPM) due to the finite resolution of the driving voltages of electro-optical modulators. To compensate for the performance degradation induced by the joint effect of amplitude and phase discretization, linear optics cloning machine (LOCM) can be introduced on the receiver side. Implemented by linear optical elements, heterodyne detection and controlled displacement, LOCM introduces extra noise that can be transformed into an advantageous one to combat channel excess noise by dynamically adjusting the relevant parameters into a suitable range. In this paper, the prepare-and-measure version of LOCM DPM-CVQKD is presented, where the incoming signal state enters a tunable LOCM before being measured by the nonideal heterodyne detector. The equivalent entanglement-based model is also established to perform security analysis, where the LOCM is reformulated into combination of the incoming signal state and a thermal state on a beam splitter. The composable secret key rate is derived to investigate the security of LOCM DPM-CVQKD. Simulation results demonstrate that the composable secret key rate and transmission distance are closely related to the tuning gain and the transmittance of LOCM. Once these two parameters are set to appropriate values, LOCM can improve the secret key rate and transmission distance of DPM-CVQKD, as well as its resistance to excess noise. Meanwhile, taking finite-size effect into consideration, the LOCM can also effectively reduce the requirement for the block size of the exchanged signals, which is beneficial to the feasibility and practicability of CVQKD. Owing to the fact that the performance of LOCM DPM-CVQKD is largely reliant on the calibration selection of relevant parameters, further research may concentrate on the optimization of LOCM in experimental implementations, where machine learning related methods may be utilized.
2024, 73(23): 230304.
doi: 10.7498/aps.73.20241274
Abstract:
With the rapid development of quantum information technology, fully connected multi-user quantum entanglement distribution networks have received increasing attention. Among these, multi-wavelength quantum light sources are key devices for establishing connections between multiple users. Despite recent impressive advances, there are still challenges in increasing the wavelength number of photon pairs due to limitations in the design and fabrication of nonlinear optical devices. The potentials of silicon nitride (Si3N4) microring resonators (MRRs), as scalable platforms for multi-wavelength quantum light sources, are explored in this work. The key design parameters of the Si3N4 MRRs, including waveguide dimension, resonator dispersion, and coupling condition, are comprehensively analyzed to optimize photon-pair generation. Based on these parameters, a Si3N4 MRR with a free spectral range of 20 GHz and an average quality factor of 1.6 million is designed and fabricated. This small free spectral range can generate more channels of correlated photon pairs by using the same wavelength resources. The high-quality resonator contributes to the enhancement of the rate of generating high photon pairs , which are critical for quantum entanglement distribution. With a continuous-wave pump laser, correlated photon pairs across a wide spectral range are generated through the spontaneous four-wave mixing (SFWM). The coincidence-to-accidental ratio (CAR) measurements verify the strong quantum correlation between photon pairs, highlighting the reliability of the system for entanglement distribution. Furthermore, the generation and output characteristics of quantum-correlated photon pairs are experimentally investigated with a tunable bandpass filter. The results demonstrate that 71 wavelength-correlated photon pairs within a 25.6 nm spectral range are successively generated as shown in the Fig. A. Our results pave the way for developing the multi-wavelength quantum light sources with Si3N4 platform, thereby advancing the multi-user quantum networks.
2024, 73(23): 230305.
doi: 10.7498/aps.73.20241265
Abstract:
The paper proposes a quantum enhanced solution method based on quantum K-means for platform clustering and grouping in joint operations campaigns. The method first calculates the number of categories for platform clustering based on the determined number of task clusters, and sets the number of clustering categories in the classical K-means algorithm. By using the location information of the tasks, the clustering center points are calculated and derived. Secondly, the Euclidean distance is used as an indicator to measure the distance between the platform data and each cluster center point. The platform data are quantized and transformed into their corresponding quantum state representations. According to theoretical derivation, the Euclidean distance solution is transformed into the quantum state inner product solution. By designing and constructing a universal quantum state inner product solution quantum circuit, the Euclidean distance solution is completed. Then, based on the sum of squared errors of the clustering dataset, the corresponding quantum circuits are constructed through calculation and deduction. The experimental results show that compared with the classical K-means algorithm, the proposed method not only effectively solves the platform clustering and grouping problem on such action scales, but also significantly reduces the time and space complexity of the algorithm.
The paper proposes a quantum enhanced solution method based on quantum K-means for platform clustering and grouping in joint operations campaigns. The method first calculates the number of categories for platform clustering based on the determined number of task clusters, and sets the number of clustering categories in the classical K-means algorithm. By using the location information of the tasks, the clustering center points are calculated and derived. Secondly, the Euclidean distance is used as an indicator to measure the distance between the platform data and each cluster center point. The platform data are quantized and transformed into their corresponding quantum state representations. According to theoretical derivation, the Euclidean distance solution is transformed into the quantum state inner product solution. By designing and constructing a universal quantum state inner product solution quantum circuit, the Euclidean distance solution is completed. Then, based on the sum of squared errors of the clustering dataset, the corresponding quantum circuits are constructed through calculation and deduction. The experimental results show that compared with the classical K-means algorithm, the proposed method not only effectively solves the platform clustering and grouping problem on such action scales, but also significantly reduces the time and space complexity of the algorithm.
2024, 73(23): 232401.
doi: 10.7498/aps.73.20241198
Abstract:
In the measurement of pulsed neutrons in the MeV energy range, plastic scintillators are one of the most widely used materials, and their neutron energy spectrum responses are key data of pulsed neutron energy spectrum measurement. The neutron energy spectrum responses of ST401 plastic scintillators with 5 different thickness values ranging from 0.5 to 10 mm in an energy range from 0.5 MeV to 100 MeV are measured by using the time-of-flight (TOF) method on the white neutron source (WNS) beamline of the China Spallation Neutron Source (CSNS). The effects of in-beam gamma rays, the gamma flash produced slow component of scintillator, and the pulse width of the neutron source on the measurement of neutron spectrum response are analyzed. Owing to the boundary effect of the finite volume of the scintillator, the neutron energy spectrum response curves of ST401 with different thickness values present approximately logarithmic shape, and proton escape is the main reason for the deviation of the curve from linearity. The thicker the scintillator, the higher the neutron energy deviates from linearity.
In the measurement of pulsed neutrons in the MeV energy range, plastic scintillators are one of the most widely used materials, and their neutron energy spectrum responses are key data of pulsed neutron energy spectrum measurement. The neutron energy spectrum responses of ST401 plastic scintillators with 5 different thickness values ranging from 0.5 to 10 mm in an energy range from 0.5 MeV to 100 MeV are measured by using the time-of-flight (TOF) method on the white neutron source (WNS) beamline of the China Spallation Neutron Source (CSNS). The effects of in-beam gamma rays, the gamma flash produced slow component of scintillator, and the pulse width of the neutron source on the measurement of neutron spectrum response are analyzed. Owing to the boundary effect of the finite volume of the scintillator, the neutron energy spectrum response curves of ST401 with different thickness values present approximately logarithmic shape, and proton escape is the main reason for the deviation of the curve from linearity. The thicker the scintillator, the higher the neutron energy deviates from linearity.
2024, 73(23): 232402.
doi: 10.7498/aps.73.20241246
Abstract:
A large-format, high-resolution Hg1–xCdxTe infrared focal plane array (IRFPA) image sensor can be used in aerospace remote sensing and high-precision satellite imaging. The next generation of meteorological satellites in China will all adopt this type of image sensor. However, space high-energy protons can cause displacement damage effects in Hg1–xCdxTe IRFPA detectors and induce total ionizing dose (TID) effects in the pixel unit metal-oxide-semiconductor (MOS) transistors. This study focuses on a 55nm manufacturing process Hg1–xCdxTe IRFPA sensor widely used in image sensors by using a 2 pixel×2 pixel basic pixel unit model for large-format arrays and constructing a Geant4 simulation model. Simulations are conducted for different proton irradiation fluences, including 1010, 1011, 1012 and 1013 cm–2. The results show the displacement damage under various fluences, including non-ionizing energy loss and displacement atom distribution. It is found that at a proton cumulative fluence of 1013 cm–2, in addition to considering the displacement damage effect in the Hg1–xCdxTe IRFPA sensor, attention must also be paid to the TID effects on the MOS transistors in the pixel units. Additionally, this study provides a preliminary assessment of the damage conditions in the space environment based on simulation results. This study provides crucial data for supporting the space applications of future large-format Hg1–xCdxTe IRFPA image sensors.
A large-format, high-resolution Hg1–xCdxTe infrared focal plane array (IRFPA) image sensor can be used in aerospace remote sensing and high-precision satellite imaging. The next generation of meteorological satellites in China will all adopt this type of image sensor. However, space high-energy protons can cause displacement damage effects in Hg1–xCdxTe IRFPA detectors and induce total ionizing dose (TID) effects in the pixel unit metal-oxide-semiconductor (MOS) transistors. This study focuses on a 55nm manufacturing process Hg1–xCdxTe IRFPA sensor widely used in image sensors by using a 2 pixel×2 pixel basic pixel unit model for large-format arrays and constructing a Geant4 simulation model. Simulations are conducted for different proton irradiation fluences, including 1010, 1011, 1012 and 1013 cm–2. The results show the displacement damage under various fluences, including non-ionizing energy loss and displacement atom distribution. It is found that at a proton cumulative fluence of 1013 cm–2, in addition to considering the displacement damage effect in the Hg1–xCdxTe IRFPA sensor, attention must also be paid to the TID effects on the MOS transistors in the pixel units. Additionally, this study provides a preliminary assessment of the damage conditions in the space environment based on simulation results. This study provides crucial data for supporting the space applications of future large-format Hg1–xCdxTe IRFPA image sensors.
2024, 73(23): 234101.
doi: 10.7498/aps.73.20241160
Abstract:
Conformal metasurfaces with flexible structures can fit complicated platforms and have obvious advantages in moving platforms scattering manipulations. However, the far-field simulation of conformal metasurface is time-consuming and difficult to optimize, thereby making the its agile design difficult. Here, an efficient and intelligent scattering field calculation method is proposed based on transfer learning for conformal metasurfaces. Firstly, according to the consistency in physical mechanism between antenna theory and full wave simulation, an initial mapping model between phase distribution and far-field of metasurface is constructed and pre-trained based on a large quantity of theoretical data in source domain. Secondly, by pre-training, parameter freezing and model fine-tuning, the far-field prediction model for full wave simulation is transferred and achieved successfully, based on a small quantity of full wave simulation data in target domain. Finally, the transfer learning model for far-field prediction is transferred once again for conformal metasurfaces with different structures. Results indicate that the proposed method only consumes 0.1% of full wave simulation time for conformal metasurface far-field calculation. In fewer samples, the model with transfer learning can improve the average accuracy by 19.8%, and the training data account for only 42.9% for the models without transfer learning, which reduces the training data collection time by 50.1%. Moreover, our far-field calculation method demonstrates good transfer performance between conformal metasurfaces with different structures.
Conformal metasurfaces with flexible structures can fit complicated platforms and have obvious advantages in moving platforms scattering manipulations. However, the far-field simulation of conformal metasurface is time-consuming and difficult to optimize, thereby making the its agile design difficult. Here, an efficient and intelligent scattering field calculation method is proposed based on transfer learning for conformal metasurfaces. Firstly, according to the consistency in physical mechanism between antenna theory and full wave simulation, an initial mapping model between phase distribution and far-field of metasurface is constructed and pre-trained based on a large quantity of theoretical data in source domain. Secondly, by pre-training, parameter freezing and model fine-tuning, the far-field prediction model for full wave simulation is transferred and achieved successfully, based on a small quantity of full wave simulation data in target domain. Finally, the transfer learning model for far-field prediction is transferred once again for conformal metasurfaces with different structures. Results indicate that the proposed method only consumes 0.1% of full wave simulation time for conformal metasurface far-field calculation. In fewer samples, the model with transfer learning can improve the average accuracy by 19.8%, and the training data account for only 42.9% for the models without transfer learning, which reduces the training data collection time by 50.1%. Moreover, our far-field calculation method demonstrates good transfer performance between conformal metasurfaces with different structures.
2024, 73(23): 234301.
doi: 10.7498/aps.73.20241123
Abstract:
Transcranial focused ultrasound (tFUS) possesses significant advantages such as non-invasiveness and high tissue penetration depth, making it a promising tool in the field of brain science. Acoustic holographic lenses can manipulate the sound field through phase modulation, providing a low-cost and convenient approach for realizing transcranial focusing. Acoustic holographic lenses have been successfully utilized for achieving precise transcranial focusing in living mice to open the blood-brain barrier and for performing neural modulation, which shows considerable application potential. However, existing transcranial acoustic holographic lenses can only be driven by specific ultrasound frequencies and focused at predetermined positions, which limits their flexibility in complex applications. To address this issue, this study establishes a multi-frequency transcranial focusing method based on acoustic holographic lenses to enhance its adaptability in the field of tFUS. By integrating acoustic holographic lenses designed for different focal positions at various frequencies, we generate multi-frequency acoustic holographic lenses suitable for transcranial focusing and conduct experiments to evaluate their performance. In simulations, for single-focus tasks, the peak signal to noise ratio(PSNR) of the proposed method achieves 32.16 dB under 1 MHz ultrasound excitation, and 40.18 dB and 2 MHz ultrasound excitation, respectively; for multi-focus tasks, the PSNR values are 29.39 dB and 39.89 dB, respectively. In experiments, for single-focus tasks, the PSNR value of the proposed method is 27.48 dB under 1 MHz ultrasound excitation, and 32.33 dB under 2 MHz ultrasound excitation, respectively; for multi-focus tasks, the PSNR values are 23.30 dB and 32.17 dB, respectively. These results demonstrate that the multi-frequency transcranial acoustic holographic lens can effectively modulate the sound field under varying ultrasound frequencies and create high-quality focal points at different locations behind the skull, which significantly enhances the application flexibility of transcranial acoustic holographic lenses.
Transcranial focused ultrasound (tFUS) possesses significant advantages such as non-invasiveness and high tissue penetration depth, making it a promising tool in the field of brain science. Acoustic holographic lenses can manipulate the sound field through phase modulation, providing a low-cost and convenient approach for realizing transcranial focusing. Acoustic holographic lenses have been successfully utilized for achieving precise transcranial focusing in living mice to open the blood-brain barrier and for performing neural modulation, which shows considerable application potential. However, existing transcranial acoustic holographic lenses can only be driven by specific ultrasound frequencies and focused at predetermined positions, which limits their flexibility in complex applications. To address this issue, this study establishes a multi-frequency transcranial focusing method based on acoustic holographic lenses to enhance its adaptability in the field of tFUS. By integrating acoustic holographic lenses designed for different focal positions at various frequencies, we generate multi-frequency acoustic holographic lenses suitable for transcranial focusing and conduct experiments to evaluate their performance. In simulations, for single-focus tasks, the peak signal to noise ratio(PSNR) of the proposed method achieves 32.16 dB under 1 MHz ultrasound excitation, and 40.18 dB and 2 MHz ultrasound excitation, respectively; for multi-focus tasks, the PSNR values are 29.39 dB and 39.89 dB, respectively. In experiments, for single-focus tasks, the PSNR value of the proposed method is 27.48 dB under 1 MHz ultrasound excitation, and 32.33 dB under 2 MHz ultrasound excitation, respectively; for multi-focus tasks, the PSNR values are 23.30 dB and 32.17 dB, respectively. These results demonstrate that the multi-frequency transcranial acoustic holographic lens can effectively modulate the sound field under varying ultrasound frequencies and create high-quality focal points at different locations behind the skull, which significantly enhances the application flexibility of transcranial acoustic holographic lenses.
Three-dimensional receptivity of high-speed blunt cone to different types of freestream disturbances
2024, 73(23): 234701.
doi: 10.7498/aps.73.20241383
Abstract:
Receptivity to freestream disturbances is the initial stage of the boundary-layer transition process, which can determine the final path of boundary-layer disturbance triggering transition. At present, there is relatively sufficient research on the receptivity of two-dimensional boundary layers to zero incident angle disturbances. In fact, the freestream disturbances often propagate into the boundary layer in the form of non-zero incident angle, resulting in a component of spatial disturbance in the circumferential direction of rotating body (such as a cone). It is a receptivity problem with distinct three-dimensional features. However, there is relatively little research on this three-dimensional receptivity issue. The preliminary work only studied the three-dimensional receptivity to low-frequency incident slow acoustic waves. There has not been a systematic study on the three-dimensional receptivity to different types of freestream disturbances. The three-dimensional receptivity of a blunt cone to different freestream disturbances is studied in this work. Firstly, a high-resolution numerical simulation method is used to investigate the three-dimensional receptivity process by introducing freestream disturbances with an incident angle of 15°. The freestream disturbances include fast acoustic wave, slow acoustic wave, entropy wave, and vortex wave. Their frequencies are chosen as dimensionless 1.1 and 5, corresponding to the first mode frequency and the second mode frequency, respectively. Then, the phase velocity and shape function of the boundary-layer disturbances at each position of circumference for the numerical results are obtained by Fourier transform. To explain the receptivity mechanisms, the corresponding results by linear stability analysis are obtained for comparisons. The results are shown below. The first mode and the second mode of the boundary layer can be effectively excited by the incident slow acoustic waves; it is difficult for the incident fast acoustic waves to excite unstable modes in the boundary layer; the incident entropy wave and vortex wave are difficult to excite the first mode at low frequency, but can excite the second mode at high frequency. Furthermore, the incident angle of the freestream disturbances can lead to the differences in the receptivity at different circumferential positions of the cone, which can be reflected in two ways. One is the difference in the dominant disturbance form at different circumferential positions, and the other is the difference in the amplitude of boundary-layer disturbances. Under different disturbance types and frequencies, these differences between different circumferential positions exhibit different results. The strongest receptivity may occur on the incident front, the incident back, and the incident side. These phenomena may result from the combined action of the upstream head disturbance and the disturbance on the incident front.
Receptivity to freestream disturbances is the initial stage of the boundary-layer transition process, which can determine the final path of boundary-layer disturbance triggering transition. At present, there is relatively sufficient research on the receptivity of two-dimensional boundary layers to zero incident angle disturbances. In fact, the freestream disturbances often propagate into the boundary layer in the form of non-zero incident angle, resulting in a component of spatial disturbance in the circumferential direction of rotating body (such as a cone). It is a receptivity problem with distinct three-dimensional features. However, there is relatively little research on this three-dimensional receptivity issue. The preliminary work only studied the three-dimensional receptivity to low-frequency incident slow acoustic waves. There has not been a systematic study on the three-dimensional receptivity to different types of freestream disturbances. The three-dimensional receptivity of a blunt cone to different freestream disturbances is studied in this work. Firstly, a high-resolution numerical simulation method is used to investigate the three-dimensional receptivity process by introducing freestream disturbances with an incident angle of 15°. The freestream disturbances include fast acoustic wave, slow acoustic wave, entropy wave, and vortex wave. Their frequencies are chosen as dimensionless 1.1 and 5, corresponding to the first mode frequency and the second mode frequency, respectively. Then, the phase velocity and shape function of the boundary-layer disturbances at each position of circumference for the numerical results are obtained by Fourier transform. To explain the receptivity mechanisms, the corresponding results by linear stability analysis are obtained for comparisons. The results are shown below. The first mode and the second mode of the boundary layer can be effectively excited by the incident slow acoustic waves; it is difficult for the incident fast acoustic waves to excite unstable modes in the boundary layer; the incident entropy wave and vortex wave are difficult to excite the first mode at low frequency, but can excite the second mode at high frequency. Furthermore, the incident angle of the freestream disturbances can lead to the differences in the receptivity at different circumferential positions of the cone, which can be reflected in two ways. One is the difference in the dominant disturbance form at different circumferential positions, and the other is the difference in the amplitude of boundary-layer disturbances. Under different disturbance types and frequencies, these differences between different circumferential positions exhibit different results. The strongest receptivity may occur on the incident front, the incident back, and the incident side. These phenomena may result from the combined action of the upstream head disturbance and the disturbance on the incident front.
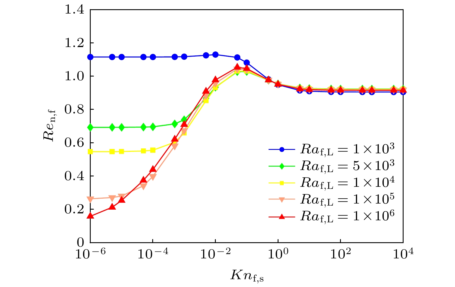
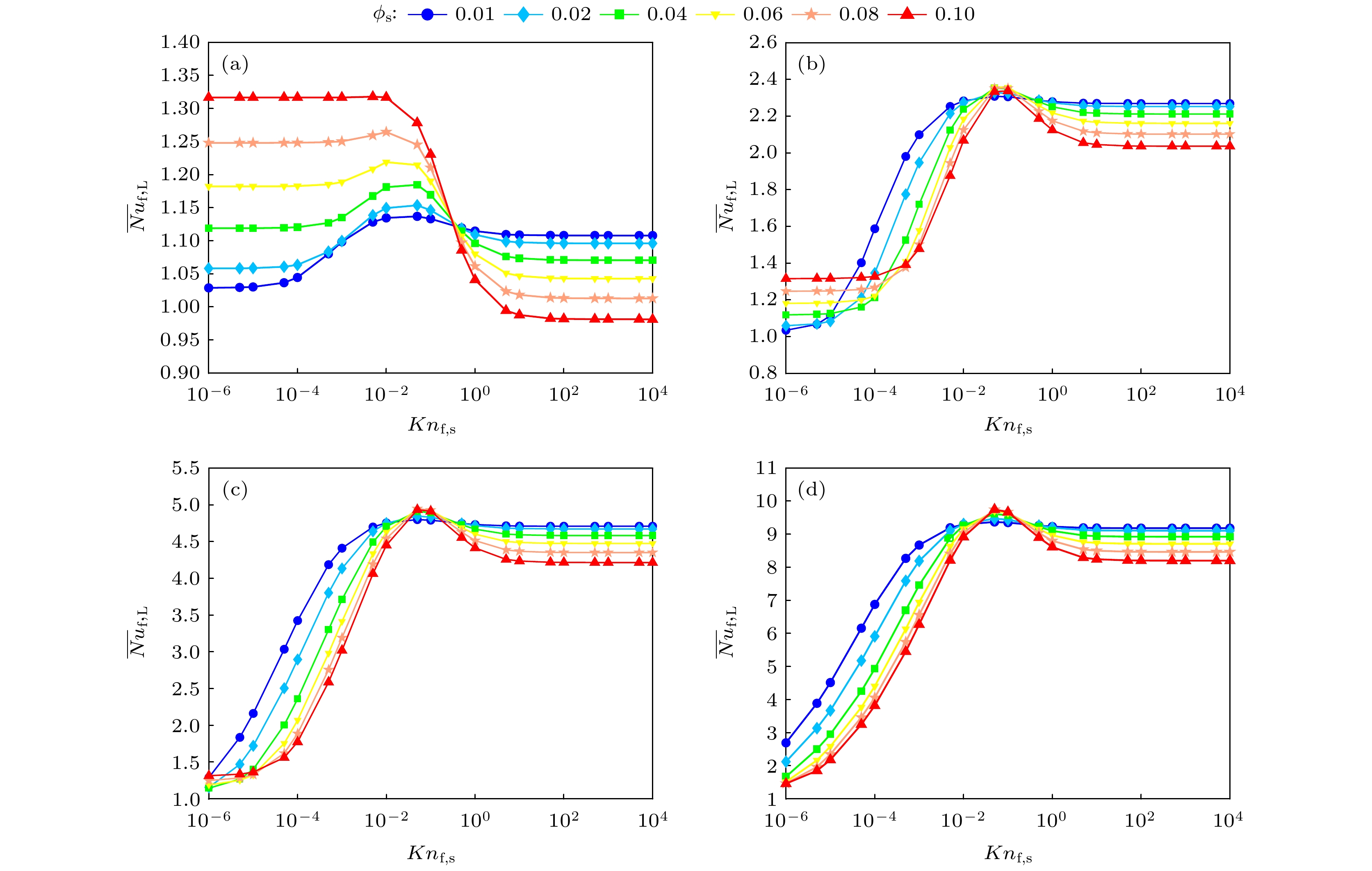
2024, 73(23): 234702.
doi: 10.7498/aps.73.20241332
Abstract:
In this work, numerical simulation of natural convection of nanofluids within a square enclosure are conducted by using the non-dimensional lattice Boltzmann method (NDLBM). The effects of key governing parameters Knudsen number (\begin{document}$10^{-6} \leqslant Kn_{{\rm{f}},{\rm{s}}} \leqslant 10^4$\end{document} ), Rayleigh number (\begin{document}$10^3 \leqslant Ra_{{\rm{f}},{\rm{L}}} \leqslant 10^6$\end{document} ), and nanoparticle volume fraction (\begin{document}$10^{-2} \leqslant \phi_{\rm{s}} \leqslant 10^{-1}$\end{document} ) on the heat and mass transfer of nanofluids are discussed. The results show that in the low \begin{document}$Ra_{{\rm{f}},{\rm{L}}}$\end{document} conduction dominated regime, the nanoparticle size has little effect on heat transfer, whereas in the high \begin{document}$Ra_{{\rm{f}},{\rm{L}}}$\end{document} convection dominated regime, larger nanoparticle size significantly enhances flow intensity and heat transfer efficiency. For fixed \begin{document}$Ra_{{\rm{f}},{\rm{L}}}$\end{document} and \begin{document}$\phi_{\rm{s}}$\end{document} , the heat transfer patterns change from conduction to convection dominated regime with \begin{document}$Kn_{{\rm{f}},{\rm{s}}}$\end{document} increasing. The influence of nanoparticle volume fraction is also investigated, and in the convection-dominated regime, the maximum heat transfer efficiency is achieved when \begin{document}$\phi_{\rm{s}} = 8 {\text{%}}$\end{document} , balancing thermal conduction and drag fore of nanofluid. Additionally, by analyzing the full maps of mean Nusselt number (\begin{document}$\overline {Nu}_{{\rm{f}},{\rm{L}}}$\end{document} ) and the enhancement ratio related to the base fluid (\begin{document}$Re_{{\rm{n}},{\rm{f}}}$\end{document} ), the maximum value of \begin{document}$\overline {Nu}_{{\rm{f}},{\rm{L}}}$\end{document} and \begin{document}$Re_{{\rm{n}},{\rm{f}}}$\end{document} occur when the nanoparticle size is \begin{document}$Kn_{{\rm{f}},{\rm{s}}} = 10^{-1}$\end{document} for both conductive and convection dominated regime. To ascertain the effects of all key governing parameters on \begin{document}$\overline {Nu}_{{\rm{f}},{\rm{L}}}$\end{document} , a new empirical correlation is derived from the numerical results, providing a more in-depth insight into how these parameters influence on heat transfer performance.
In this work, numerical simulation of natural convection of nanofluids within a square enclosure are conducted by using the non-dimensional lattice Boltzmann method (NDLBM). The effects of key governing parameters Knudsen number (
2024, 73(23): 235101.
doi: 10.7498/aps.73.20241177
Abstract:
Gas breakdown is one of the key factors limiting the increase of power capacity of the outer surface of high-power microwave dielectric window. It is of great significance to conduct corresponding simulation studies. Compared with the fluid model, the particle-in-cell-Monte Carlo collision model has two advantages. One is that the influence of numerical dispersion and instability problems is insignificant, and the other is that it can accurately describe microphysical processes. Therefore, the breakdown characteristics on the gas side of dielectric window are simulated by using the particle-in-cell-Monte Carlo collision model. The two-in-one macro-particle merging method is introduced into the model, thereby greatly reducing the number of macro-particles tracked. Therefore, the whole breakdown process can be simulated and analyzed. The results show that the spatial and temporal evolution of breakdown under the variable macro-particle weight is in good agreement with that under the constant macro-particle weight. This suggests that the two-in-one macro-particle merging method is applicable under the simulation conditions of interest in this paper, i.e., when the ratio of the effective electric field of microwaves to the pressure is between\begin{document}$1.76\times10^3$\end{document} and \begin{document}$1.41\times10^4$\end{document} V/(m\begin{document}$\cdot$\end{document} Torr). Since the yield of the secondary electron emission is much less than 1, gas ionization is the dominant mechanism of breakdown on the gas side of dielectric window. Electron ionization and electron diffusion lead the density and thickness of the plasma to significantly increase over time. The peak of electron density does not appear at the dielectric surface, but at a position of 100–150 μm away from the dielectric surface. This is because a large number of electrons are deposited on the dielectric surface, and the accompanying self-organized normal electric field drives the electrons away from the dielectric surface. Because the pressure of background gas of interest in this work is higher than the critical pressure corresponding to the maximum ionization rate (about 10 Torr), the ionization rate decreases monotonically with pressure increasing, resulting in a slower development of breakdown. The accuracy of the particle-in-cell-Monte Carlo collision model is confirmed by comparing the simulated values of breakdown time with experimental data. This work provides an important theoretical basis for understanding and controlling the breakdown on the gas side of dielectric window. The following figure (a) shows that the mean electron energy under the variable macro-particle weight agrees well with that under the constant macro-particle weight at about 100 Torr. The following figure (b) shows that when the plasma density is increased by a factor of 108, the breakdown process can be considered by using the particle-in-cell-Monte Carlo collision model and a two-in-one macro-particle merging method.
Gas breakdown is one of the key factors limiting the increase of power capacity of the outer surface of high-power microwave dielectric window. It is of great significance to conduct corresponding simulation studies. Compared with the fluid model, the particle-in-cell-Monte Carlo collision model has two advantages. One is that the influence of numerical dispersion and instability problems is insignificant, and the other is that it can accurately describe microphysical processes. Therefore, the breakdown characteristics on the gas side of dielectric window are simulated by using the particle-in-cell-Monte Carlo collision model. The two-in-one macro-particle merging method is introduced into the model, thereby greatly reducing the number of macro-particles tracked. Therefore, the whole breakdown process can be simulated and analyzed. The results show that the spatial and temporal evolution of breakdown under the variable macro-particle weight is in good agreement with that under the constant macro-particle weight. This suggests that the two-in-one macro-particle merging method is applicable under the simulation conditions of interest in this paper, i.e., when the ratio of the effective electric field of microwaves to the pressure is between
2024, 73(23): 235201.
doi: 10.7498/aps.73.20241380
Abstract:
Stability plays a significant role in successfully observing Fermi-Pasta-Ulam-Tsingou (FPUT) phenomenon in experiment. However, there are few relevant studies in the literature. The primary object of this work is to study the stability of FPUT phenomenon in the nonlinear fibers numerically. In this study, we take the sinusoidally perturbed continuous waves (CWs) with white noise as the imposed initial condition, which can be readily realized in real experiments. We find that both the perturbation amplitude and phase difference between the perturbation and pump can drastically affect the stability of the resulting FPUT phenomenon. Firstly, as the perturbation amplitude increases, the FPUT phenomenon becomes much more stable. When the perturbation amplitude reaches a critical value, the most stable FPUT phenomenon can be observed. With the further increase of the perturbation amplitude, the stability of the resulting FPUT phenomenon weakens. Secondly, the phase difference between the perturbation and pump takes distinct effects on the stability of FPUT phenomenon for perturbation frequency located inside and outside the conventional modulation instability (MI) band. For the perturbation frequency located inside the conventional MI band, as the phase difference between the perturbation and pump increases from zero, the corresponding FPUT phenomenon first is less stable, and then becomes most instable at a critical phase difference; after that, the stability of the FPUT phenomenon is enhanced again. For the perturbation frequency located outside the conventional MI band, the stability of FPUT phenomenon is enhanced monotonically as the phase difference increases from 0 to π/2. In order to observe a much more stable FPUT phenomenon, as shown in the above results, the perturbation amplitude should be moderately large, and the phase difference between the perturbation and the pump should be appropriate to avoid the most instable FPUT phenomenon.
2024, 73(23): 236801.
doi: 10.7498/aps.73.20241155
Abstract:
Two-dimensional materials with tunable wrinkled structures open up a new way to modulate their electronic and optoelectronic properties. However, the mechanisms of forming wrinkles and their influences on the band structures and associated properties are still unclear. Here, we investigate the strain distribution, bandgap, and anisotropic energy funneling effect of wrinkled monolayer GeSe and their evolution with the wrinkle wavelength based on the atomic-bond-relaxation approach and continuum medium mechanics. We find that the top region and valley region of wrinkled monolayer GeSe exhibit tensile and compressive strains, respectively, and the strain increases with wrinkle wavelength decreasing. Moreover, the periodic undulation strain in the wrinkles can lead to continuously adjustable bandgaps and band edges in wrinkled monolayer GeSe. For zigzag wrinkled monolayer GeSe, when the wrinkle wavelength is long, the conduction band minimum value (valence band maximum value) continuously decreases (increases) from the top to the valley, forming an energy funnel. As a result, the excitons accumulate in the valleys of wrinkles, and their accumulation capability increases with wrinkle wavelength decreasing. However, as the wavelength further decreases, the energy funnel will disappear, causing some excitons to t accumulate at the top of wrinkles, while the remaining excitons will accumulate in the valleys of wrinkles. The critical wavelength for the energy funnel of zigzag wrinkled GeSe to disappear is 106nm. The physical origin is that when the top strain exceeds 4%, the bandgap will decrease. Owing to the monotonic variation of bandgap with strain, the energy funneling effect of armchair wrinkled monolayer GeSe is still retained when the wavelength decreases to 80 nm, and the accumulation of excitons is further enhanced. Our results demonstrate that the energy funneling effect induced by nonuniform can realize excitons’ accumulation in one material without the need of p-n junctions, which is of great benefit to the collection of photogenerated excitons. Therefore, the proposed theory not only clarifies the physical mechanism regarding the anisotropic energy funneling effect of wrinkled monolayer GeSe, but also provides a new avenue for designing the next-generation optoelectronic devices.
Two-dimensional materials with tunable wrinkled structures open up a new way to modulate their electronic and optoelectronic properties. However, the mechanisms of forming wrinkles and their influences on the band structures and associated properties are still unclear. Here, we investigate the strain distribution, bandgap, and anisotropic energy funneling effect of wrinkled monolayer GeSe and their evolution with the wrinkle wavelength based on the atomic-bond-relaxation approach and continuum medium mechanics. We find that the top region and valley region of wrinkled monolayer GeSe exhibit tensile and compressive strains, respectively, and the strain increases with wrinkle wavelength decreasing. Moreover, the periodic undulation strain in the wrinkles can lead to continuously adjustable bandgaps and band edges in wrinkled monolayer GeSe. For zigzag wrinkled monolayer GeSe, when the wrinkle wavelength is long, the conduction band minimum value (valence band maximum value) continuously decreases (increases) from the top to the valley, forming an energy funnel. As a result, the excitons accumulate in the valleys of wrinkles, and their accumulation capability increases with wrinkle wavelength decreasing. However, as the wavelength further decreases, the energy funnel will disappear, causing some excitons to t accumulate at the top of wrinkles, while the remaining excitons will accumulate in the valleys of wrinkles. The critical wavelength for the energy funnel of zigzag wrinkled GeSe to disappear is 106nm. The physical origin is that when the top strain exceeds 4%, the bandgap will decrease. Owing to the monotonic variation of bandgap with strain, the energy funneling effect of armchair wrinkled monolayer GeSe is still retained when the wavelength decreases to 80 nm, and the accumulation of excitons is further enhanced. Our results demonstrate that the energy funneling effect induced by nonuniform can realize excitons’ accumulation in one material without the need of p-n junctions, which is of great benefit to the collection of photogenerated excitons. Therefore, the proposed theory not only clarifies the physical mechanism regarding the anisotropic energy funneling effect of wrinkled monolayer GeSe, but also provides a new avenue for designing the next-generation optoelectronic devices.
2024, 73(23): 237301.
doi: 10.7498/aps.73.20241095
Abstract:
A magnetic flux threading through magnetic atomic rings can induce topological superconductivity. It provides a novel approach to achieving low-dimensional (2D) topological superconductivity, which requires neither spin-orbit coupling nor helical magnetic order. In this paper, we introduce a topological superconductor model by depositing a ferromagnetic atomic ring on the surface of a 2D s-wave superconductor. When the moments of the magnetic atoms are perpendicular to the external magnetic field, a magnetic flux can induce topological superconductivity. Considering practical experiments, because the magnetic atomic chain breaks the inversion symmetry of the surface of the 2D substrate, the Rashba spin-orbit coupling (SOC) is introduced, leading to the appearance of helical magnetic order in the atomic chain. According to previous researches, this helical magnetic order ensures that the magnetic moments of the ring are perpendicular to the external magnetic field, and the patch angle of neighbor moment of the helical order is proportional to the strength of the SOC. However, the helical order or Rashba SOC may introduce topological superconductivity on their own. It is meaningful to investigate the influence of the effects of the Rashba SOC and helical magnetic order on the flux induced topological superconducting states. We find that the Rashba SOC has a disruptive effect on the existing topological state, while helical magnetic order merely shifts its transition position in the parameter space. Therefore, when selecting materials for experiment, it is recommended to choose materials with lower Rashba SOC strength.
A magnetic flux threading through magnetic atomic rings can induce topological superconductivity. It provides a novel approach to achieving low-dimensional (2D) topological superconductivity, which requires neither spin-orbit coupling nor helical magnetic order. In this paper, we introduce a topological superconductor model by depositing a ferromagnetic atomic ring on the surface of a 2D s-wave superconductor. When the moments of the magnetic atoms are perpendicular to the external magnetic field, a magnetic flux can induce topological superconductivity. Considering practical experiments, because the magnetic atomic chain breaks the inversion symmetry of the surface of the 2D substrate, the Rashba spin-orbit coupling (SOC) is introduced, leading to the appearance of helical magnetic order in the atomic chain. According to previous researches, this helical magnetic order ensures that the magnetic moments of the ring are perpendicular to the external magnetic field, and the patch angle of neighbor moment of the helical order is proportional to the strength of the SOC. However, the helical order or Rashba SOC may introduce topological superconductivity on their own. It is meaningful to investigate the influence of the effects of the Rashba SOC and helical magnetic order on the flux induced topological superconducting states. We find that the Rashba SOC has a disruptive effect on the existing topological state, while helical magnetic order merely shifts its transition position in the parameter space. Therefore, when selecting materials for experiment, it is recommended to choose materials with lower Rashba SOC strength.
2024, 73(23): 237501.
doi: 10.7498/aps.73.20240934
Abstract:
In order to further study the nonlinear characteristics of the resonance magnetoelectric coefficient and vibration mode at the resonance frequency, three-layer magnetoelectric composite with length direction magnetization and thickness direction polarization is investigated in the article. Firstly, based on the Z-L model and the numerical solution characteristics of magnetization intensity, the magnetization intensity function is fitted, and the dynamic parameters of the giant magnetostrictive material, including dynamic piezomagnetic coefficient, dynamic elastic compliance coefficient, and dynamic magnetic permeability, are further derived. The effects of bias magnetic field and prestress on the corresponding composite are analyzed. Secondly, based on the nonlinear magnetostrictive constitutive equation, a symmetric magneto-elastic-electric equivalent circuit model of magnetoelectric laminate composite is established, and the expression of magnetoelectric coefficient is derived. The variation curve with bias magnetic field and prestress is analyzed, which is consistent with the conclusions of existing literature [Zhou H M, Ou X W, Xiao Y, Qu S X, Wu H P2013 Smart Mater. Struct. 22 035018 ; Zhou H M, Li C, Xuan L M, Wei J 2011 Smart Mater. Struct. 20 035001 ]. Finally, in order to compare with the theoretical results, the same parameters are set by using COMSOL software, and the corresponding magnetoelectric coefficient frequency curve is plotted. The two results are in good agreement with each other, and the maximum peak modal vibration shape is extracted, making it easy to observe the vibration of the magneto electric laminated composite in the length direction. The results indicate that the theoretical model of this symmetric magneto-elastic-electric equivalent circuit and the numerical simulation method using COMSOL software are feasible, thereby laying the foundation for further nonlinear analysis of magnetoelectric laminate composite and making it possible to design high-precision magnetoelectric micro devices.
In order to further study the nonlinear characteristics of the resonance magnetoelectric coefficient and vibration mode at the resonance frequency, three-layer magnetoelectric composite with length direction magnetization and thickness direction polarization is investigated in the article. Firstly, based on the Z-L model and the numerical solution characteristics of magnetization intensity, the magnetization intensity function is fitted, and the dynamic parameters of the giant magnetostrictive material, including dynamic piezomagnetic coefficient, dynamic elastic compliance coefficient, and dynamic magnetic permeability, are further derived. The effects of bias magnetic field and prestress on the corresponding composite are analyzed. Secondly, based on the nonlinear magnetostrictive constitutive equation, a symmetric magneto-elastic-electric equivalent circuit model of magnetoelectric laminate composite is established, and the expression of magnetoelectric coefficient is derived. The variation curve with bias magnetic field and prestress is analyzed, which is consistent with the conclusions of existing literature [Zhou H M, Ou X W, Xiao Y, Qu S X, Wu H P
2024, 73(23): 238101.
doi: 10.7498/aps.73.20241439
Abstract:
The new all-inorganic CsPbX3 perovskite material is expected to be used as an absorbing layer to prepare solar cells for efficient and stable commercial devices. However, the problems of high cost and poor stability, caused by precious metal electrodes and hole transport materials, urgently need solving. Therefore, carbon-based perovskite solar cells (C-PSCs) based on the HTL-free all-inorganic system have attracted widespread attention. This work adopts a strategy of finely regulating the ratio of I to Br in X-site of perovskite. Using the one-step anti-solvent method, CsPbIxBr3–x films and HTL-free C-PSCs are prepared under ambient air condition. By comparing their light absorption characteristics, carrier transport, and corresponding optoelectronic properties, a balance point between efficiency and stability is found. Finally, HTL-free C-PSCs achieve an optimal efficiency of 10.10% and can be stably prepared under ambient air conditions. In order to further improve the performance of the corresponding devices, phenylethylammonium bromide (PEABr) is introduced into the perovskite, and the crystallinity, carrier transport, defect situation, and corresponding optoelectronic properties of perovskite films and devices are compared under different conditions. Ultimately, the perovskite film treated with PEABr reaches better crystallinity and lower defect density, while generating a small amount of two-dimensional perovskite which can passivate the perovskite film and suppress non-radiative recombination of charge carriers. After appropriate PEABr treatment, the photoelectric conversion efficiency (PCE) of the device is significantly enhanced, increasing from 10.18% of the optimal device in the control group to 12.61%. Thus, this method provides an optimal approach for preparing efficient and low-cost HTL-free C-PSCs under ambient air environments.
The new all-inorganic CsPbX3 perovskite material is expected to be used as an absorbing layer to prepare solar cells for efficient and stable commercial devices. However, the problems of high cost and poor stability, caused by precious metal electrodes and hole transport materials, urgently need solving. Therefore, carbon-based perovskite solar cells (C-PSCs) based on the HTL-free all-inorganic system have attracted widespread attention. This work adopts a strategy of finely regulating the ratio of I to Br in X-site of perovskite. Using the one-step anti-solvent method, CsPbIxBr3–x films and HTL-free C-PSCs are prepared under ambient air condition. By comparing their light absorption characteristics, carrier transport, and corresponding optoelectronic properties, a balance point between efficiency and stability is found. Finally, HTL-free C-PSCs achieve an optimal efficiency of 10.10% and can be stably prepared under ambient air conditions. In order to further improve the performance of the corresponding devices, phenylethylammonium bromide (PEABr) is introduced into the perovskite, and the crystallinity, carrier transport, defect situation, and corresponding optoelectronic properties of perovskite films and devices are compared under different conditions. Ultimately, the perovskite film treated with PEABr reaches better crystallinity and lower defect density, while generating a small amount of two-dimensional perovskite which can passivate the perovskite film and suppress non-radiative recombination of charge carriers. After appropriate PEABr treatment, the photoelectric conversion efficiency (PCE) of the device is significantly enhanced, increasing from 10.18% of the optimal device in the control group to 12.61%. Thus, this method provides an optimal approach for preparing efficient and low-cost HTL-free C-PSCs under ambient air environments.
2024, 73(23): 238201.
doi: 10.7498/aps.73.20241176
Abstract:
The mechanical performance of solid oxide fuel cell is one of the main factors limiting its commercialization process. In order to reduce the degree of crack propagation in the cooling process and improve the stability and durability of the cell, the finite element analysis is conducted on a three-dimensional model of solid oxide fuel cell containing pre-crack. Utilizing the extended finite element method (XFEM) and fracture theory, and considering the stress distribution, length and maximum width after crack propagation and deflection angle of crack as criteria, this paper investigates the influence of various parameters, including working temperature, material properties, pre-crack angle, and pre-crack location, on pre-crack propagation behavior and proposes a solution based on material optimization and structural optimization to improve the stability of the cell. A pre-crack is set at the left boundary of the anode to analyze the influence of different operating conditions on the propagation of anode cracks in the cell. The correctness of finite element simulation is verified by comparing the simulation results with theoretical results of crack stress intensity factors in the same model. From the comprehensive analysis of the thermal stress of the cell, the crack length and maximum width after pre-crack propagation, and the two deflection angles of crack propagation, it can be seen that within the selected parameters, in order to ensure the stability of the cell and inhibit the degree of crack propagation, the operating temperature of the cell should not be lower than 1023 K, and the thermal expansion coefficient of anode should be less than 12.50×10–6 K–1. In addition, when the pre-crack angle is 45° or 0.45 mm away from the bottom of anode, the maximum width after crack propagation is the smallest, and the propagation path is the most predictable. In this case, the cell is affected by the smallest crack range and the highest stability. This research provides a guidance for suppressing crack propagation in solid oxide fuel cell, improving the lifetime and promoting the commercialization process of fuel cell.
The mechanical performance of solid oxide fuel cell is one of the main factors limiting its commercialization process. In order to reduce the degree of crack propagation in the cooling process and improve the stability and durability of the cell, the finite element analysis is conducted on a three-dimensional model of solid oxide fuel cell containing pre-crack. Utilizing the extended finite element method (XFEM) and fracture theory, and considering the stress distribution, length and maximum width after crack propagation and deflection angle of crack as criteria, this paper investigates the influence of various parameters, including working temperature, material properties, pre-crack angle, and pre-crack location, on pre-crack propagation behavior and proposes a solution based on material optimization and structural optimization to improve the stability of the cell. A pre-crack is set at the left boundary of the anode to analyze the influence of different operating conditions on the propagation of anode cracks in the cell. The correctness of finite element simulation is verified by comparing the simulation results with theoretical results of crack stress intensity factors in the same model. From the comprehensive analysis of the thermal stress of the cell, the crack length and maximum width after pre-crack propagation, and the two deflection angles of crack propagation, it can be seen that within the selected parameters, in order to ensure the stability of the cell and inhibit the degree of crack propagation, the operating temperature of the cell should not be lower than 1023 K, and the thermal expansion coefficient of anode should be less than 12.50×10–6 K–1. In addition, when the pre-crack angle is 45° or 0.45 mm away from the bottom of anode, the maximum width after crack propagation is the smallest, and the propagation path is the most predictable. In this case, the cell is affected by the smallest crack range and the highest stability. This research provides a guidance for suppressing crack propagation in solid oxide fuel cell, improving the lifetime and promoting the commercialization process of fuel cell.
2024, 73(23): 238501.
doi: 10.7498/aps.73.20241365
Abstract:
In this paper, graphene field effect transistors (GFETs) with the top-gate structure are taken as the research object. The electrical stress reliabilities are studied under different bias voltage conditions. The electrical pressure conditions are gate electrical stress (VG = –10 V, VD = 0 V, and VS = 0 V), drain electric stress (VD = –10 V, VG = 0 V, and VS = 0 V), and electrical stresses applied simultaneously by gate voltage and drain voltage (VG = –10 V, VD = –10 V, VS = 0 V). Using a semiconductor parameter analyzer, the transfer characteristic curves of GFETs before and after electrical stress are obtained. At the same time, the carrier migration and the Dirac voltage VDirac degradation are extracted from the transfer characteristic curves. The test results show that under different electrical pressures, the carrier mobility of GFETs degrades continuously with the increase of electric stress time. Different electrical pressure conditions have varying effects on the drift direction and degradation of VDirac: gate electrical stress and drain electrical stress cause VDirac drift of the device in opposite directions, and the gate electrical stress is greater than the electrical stress applied by both gate voltage and drain voltage, leading to VDirac degradation of GFETs. An analysis of the causes indicates that different electrical stresses produce different electric field directions in the device, which can affect the carrier concentration and movement direction. Electrons and holes in the channel are induced and tunnel into the oxide layer, and they are captured by trap charges in the oxide layer and at the interface between graphene and oxide, forming oxide trap charges and interface trap charges. This is the main reason for reducing carrier mobility of GFET. Different electric field directions under different electric stresses produce positively charged trap charges and negatively charged trap charges. The difference in the type of trap charge banding is the main reason for the different directions of VDirac drift in GFETs. When both trap charges coexist, they have a canceling effect on the VDirac drift of the GFETs. Finally, by combining TCAD simulation the simulation model of the influence of electrical stress induced trap charge on the VDirac generation of GFET is further revealed. The result demonstrates that the differences in the type of trap charge banding have different degradation effects on the VDirac of GFETs. The related research provides data and theoretical support for putting graphene devices into practical application.
In this paper, graphene field effect transistors (GFETs) with the top-gate structure are taken as the research object. The electrical stress reliabilities are studied under different bias voltage conditions. The electrical pressure conditions are gate electrical stress (VG = –10 V, VD = 0 V, and VS = 0 V), drain electric stress (VD = –10 V, VG = 0 V, and VS = 0 V), and electrical stresses applied simultaneously by gate voltage and drain voltage (VG = –10 V, VD = –10 V, VS = 0 V). Using a semiconductor parameter analyzer, the transfer characteristic curves of GFETs before and after electrical stress are obtained. At the same time, the carrier migration and the Dirac voltage VDirac degradation are extracted from the transfer characteristic curves. The test results show that under different electrical pressures, the carrier mobility of GFETs degrades continuously with the increase of electric stress time. Different electrical pressure conditions have varying effects on the drift direction and degradation of VDirac: gate electrical stress and drain electrical stress cause VDirac drift of the device in opposite directions, and the gate electrical stress is greater than the electrical stress applied by both gate voltage and drain voltage, leading to VDirac degradation of GFETs. An analysis of the causes indicates that different electrical stresses produce different electric field directions in the device, which can affect the carrier concentration and movement direction. Electrons and holes in the channel are induced and tunnel into the oxide layer, and they are captured by trap charges in the oxide layer and at the interface between graphene and oxide, forming oxide trap charges and interface trap charges. This is the main reason for reducing carrier mobility of GFET. Different electric field directions under different electric stresses produce positively charged trap charges and negatively charged trap charges. The difference in the type of trap charge banding is the main reason for the different directions of VDirac drift in GFETs. When both trap charges coexist, they have a canceling effect on the VDirac drift of the GFETs. Finally, by combining TCAD simulation the simulation model of the influence of electrical stress induced trap charge on the VDirac generation of GFET is further revealed. The result demonstrates that the differences in the type of trap charge banding have different degradation effects on the VDirac of GFETs. The related research provides data and theoretical support for putting graphene devices into practical application.
2024, 73(23): 238701.
doi: 10.7498/aps.73.20241170
Abstract:
WC-Co cemented carbide has excellent cutting performance, which is a potential tool material. But when it is used as cutting ultra-high strength and high hardness materials, the machining accuracy and service life of the tool are significantly reduced. Graphene is a potential coating material for cemented carbide cutting tools due to its excellent mechanical properties. In this work, molecular dynamics (MD) is used to simulate the deposition of nickel transition layer and high-temperature catalytic growth of graphene in cemented carbide. The Ni and C atomic deposition process and the high temperature annealing process are simulated, and a combination of potential functions is adopted to continuously simulate these two deposition processes. The effect of deposition temperature and the effect of incident energy on the growth of graphene are analyzed. The healing mechanism of nickel-based catalytic defective graphene under high-temperature annealing is explored in detail. The simulation results show that at the deposition temperature of 1100 K, the coverage of graphene is higher and the microstructure is flat. The higher temperature helps to provide enough kinetic energy for carbon atoms to overcome the potential energy barrier of nucleation, thereby promoting the migration and rearrangement of carbon atoms and reducing graphene growth defects. Too high a temperature will lead to continuous accumulation of carbon atoms on the deposited carbon rings, forming a multilayered reticulation and disordered structure, which will cause a low coverage rate of graphene. The increase of incident energy helps to reduce the vacancy defects in the film, but excessive energy leads to poor continuity of the film, agglomeration, the more obvious stacking effect of carbon atoms and the tendency of epitaxial growth. When the incident energy is 1 eV, the surface roughness of the film is lower, and more monolayer graphene can be grown. During annealing at 1100 K, the carbon film dissolves and nucleates simultaneously in the Ni transition layer, and the nickel transition layer catalyzes the repair of defective graphene. The graphene film becomes more uniform, and the number of hexagonal carbon rings increases. Appropriate high-temperature annealing can help to repair and reconstruct defective carbon rings and rearrange carbon chains into rings. Therefore, when the deposition temperature is 1100 K and the incident energy is 1 eV, graphene can be deposited and annealed to grow a high-quality graphene coatings. The simulation results provide the reference for preparing the cemented carbide graphene coated tools.
2024, 73(23): 239501.
doi: 10.7498/aps.73.20241281
Abstract:
Charged dust on the lunar surface poses a threat to space missions. Research into charged dust is essential for the safety of future space missions. When calculating the charging currents related to photoelectrons, a single constant work function is assumed in the conventional lunar dust charging theory. However, the components of lunar regolith exhibit considerable diversity, including plagioclase, pyroxene, and ilmenite. Because the ability of the lunar surface or lunar dust to emit photoelectrons strongly depends on its work function, it is necessary to analyze the effect of the work function on dust charging and dynamics near the lunar surface. In this work, we use a novel method that can predict the photoelectric yield of materials with different work functions to recalculate the surface charging currents of four types of dust particles and derive their subsequent charging and dynamic results at different solar zenith angles (SZAs). As SZA varies from 0° to 90°, the work function value of dust decreases into 6 eV (Apollo lunar soil), 5.58 eV (plagioclase), 5.14 eV (pyroxene), and 4.29 eV (ilmenite), correspondingly. With each decrement in work function, the equilibrium charging current of dust particles increases about 0.25 times, the equilibrium charge number increases about 120–170 elemental charges, and the equilibrium height increases about 0.3–2 m. It is found that dust particles cannot levitate stably at a critical SZA, and the critical SZAs for the four types of dust particles are 28°, 76°, 85.8°, and 89.6°, respectively (arranged in decreasing order of work functions). These results indicate that the equilibrium heights, equilibrium currents, and critical SZAs all have an inverse relationship with the work function of dust particles as the SZA varies from 0° to 90°. Furthermore, a higher photoelectron density in areas with lower work functions leads energy losses to decrease, thus causing dust particles to take longer time to reach equilibrium. This means that the equilibrium time follows the pattern similar to that of the work function.
Charged dust on the lunar surface poses a threat to space missions. Research into charged dust is essential for the safety of future space missions. When calculating the charging currents related to photoelectrons, a single constant work function is assumed in the conventional lunar dust charging theory. However, the components of lunar regolith exhibit considerable diversity, including plagioclase, pyroxene, and ilmenite. Because the ability of the lunar surface or lunar dust to emit photoelectrons strongly depends on its work function, it is necessary to analyze the effect of the work function on dust charging and dynamics near the lunar surface. In this work, we use a novel method that can predict the photoelectric yield of materials with different work functions to recalculate the surface charging currents of four types of dust particles and derive their subsequent charging and dynamic results at different solar zenith angles (SZAs). As SZA varies from 0° to 90°, the work function value of dust decreases into 6 eV (Apollo lunar soil), 5.58 eV (plagioclase), 5.14 eV (pyroxene), and 4.29 eV (ilmenite), correspondingly. With each decrement in work function, the equilibrium charging current of dust particles increases about 0.25 times, the equilibrium charge number increases about 120–170 elemental charges, and the equilibrium height increases about 0.3–2 m. It is found that dust particles cannot levitate stably at a critical SZA, and the critical SZAs for the four types of dust particles are 28°, 76°, 85.8°, and 89.6°, respectively (arranged in decreasing order of work functions). These results indicate that the equilibrium heights, equilibrium currents, and critical SZAs all have an inverse relationship with the work function of dust particles as the SZA varies from 0° to 90°. Furthermore, a higher photoelectron density in areas with lower work functions leads energy losses to decrease, thus causing dust particles to take longer time to reach equilibrium. This means that the equilibrium time follows the pattern similar to that of the work function.









