-
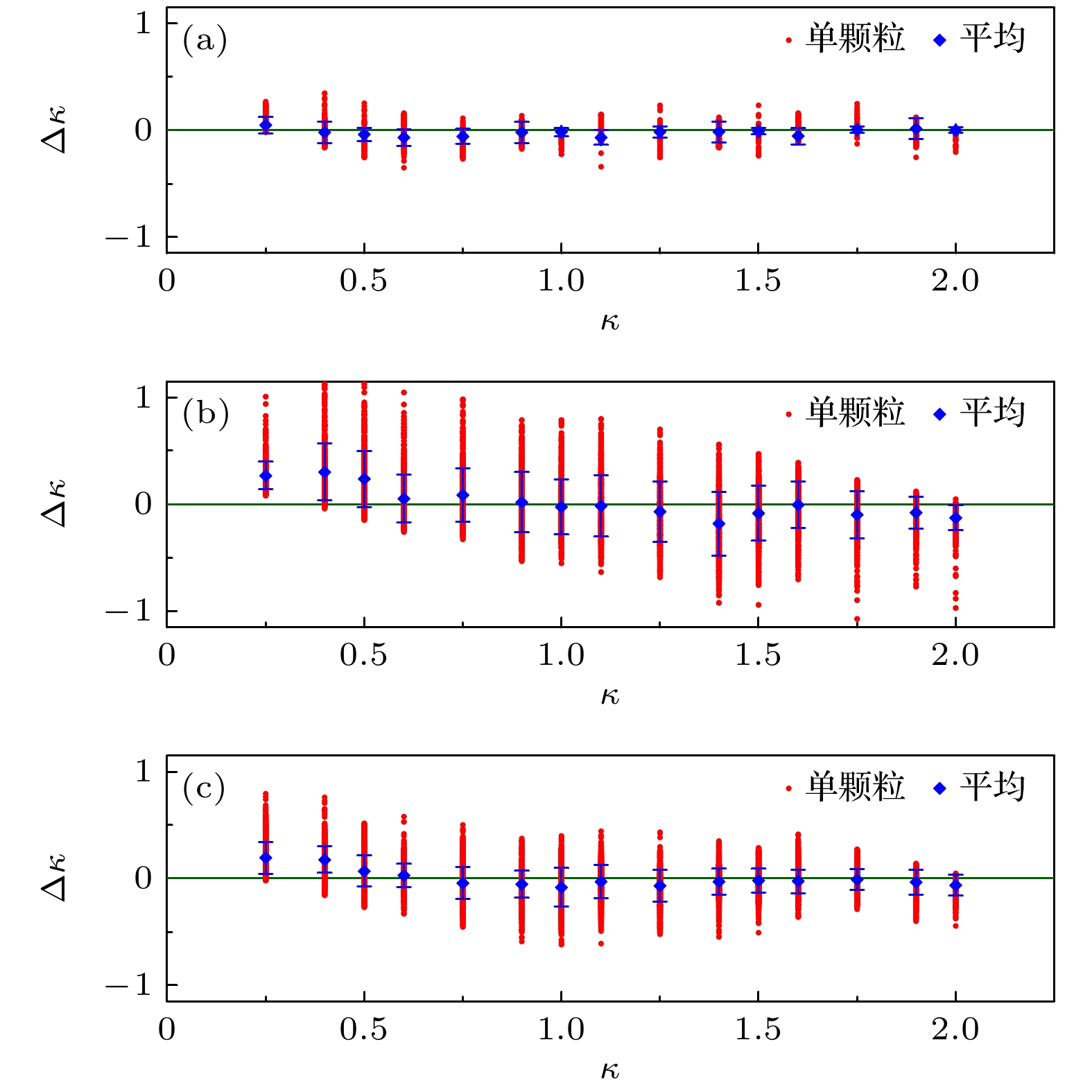
Currently, it is a great challenge to accurately diagnose global properties of dusty plasmas from limited data. Based on machine learning, a novel diagnostic method for various global properties in dusty plasma experiments is developed from single particle dynamics. It is found that for both two-dimensional (2D) dusty plasma simulations and experiments, the global properties such as the screening parameters κ and the coupling parameter Γ can be accurately determined purely from the position fluctuations of individual particles. Hundreds of independent Langevin dynamical simulations are performed with various specified κ and Γ values, resulting in a great number of individual particle position fluctuation data, which can be used for training, validating, and testing various convolutional neural network (CNN) models. To confirm the feasibility of this diagnostic method, three different CNN models are designed to determin the κ value. For the simulation data, all these CNN models perform excellently in determining the κ value, with the averaged determined κ value almost equal to the specified κ value. For the experiment data, the distribution of the determined κ values always exhibits one prominent peak, which is very consistent with the κ value obtained from the widely accepted phonon spectra fitting method. Furthermore, this diagnostic method is extended to simulatneously determining both the κ and Γ values, achieving satisfactory results by using 2D dusty plasma data from both simulations and experiments. The excellent performance of the CNN models developed here clearly indicates that through machine learning, the global properties of 2D dusty plasmas can be fully characterized purely from single particle dynamics.
-
Keywords:
- machine learning /
- convolutional neural network /
- dusty plasma /
- diagnositc
[1] Pathria R K, Beale P D 2021 Statistical Mechanics (London: Academic) pp1–22
[2] Feng Y, Goree J, Liu B 2007 Rev. Sci. Instrum. 78 053704
Google Scholar
[3] Feng Y, Goree J, Liu B 2011 Rev. Sci. Instrum. 82 053707
Google Scholar
[4] He Y F, Ai B Q, Dai C X, Song C, Wang R Q, Sun W T, Liu F C, Feng Y 2020 Phys. Rev. Lett. 124 075001
Google Scholar
[5] Beckers J, Berndt J, Block D, Bonitz M, Bruggeman P J, Couëdel L, Delzanno G L, Feng Y, Gopalakrishnan R, Greiner F, Hartmann P, Horányi M, Kersten H, Knapek C A, Konopka U, Kortshagen U, Kostadinova E G, Kovačević E, Krasheninnikov S I, Mann I, Mariotti D, Matthews L S, Melzer A, Mikikian M, Nosenko V, Pustylnik M Y, Ratynskaia S, Sankaran R M, Schneider V, Thimsen E J, Thomas E, Thomas H M, Tolias P, van de Kerkhof M 2023 Phys. Plasmas 30 120601
Google Scholar
[6] Goree J 1994 Plasma Sources Sci. Technol. 3 400
Google Scholar
[7] Feng Y, Goree J, Liu B 2008 Phys. Rev. Lett. 100 205007
Google Scholar
[8] Feng Y, Goree J, Liu B 2010 Phys. Rev. Lett. 105 025002
Google Scholar
[9] Lu S, Huang D, Feng Y 2021 Phys. Rev. E 103 063214
Google Scholar
[10] Huang D, Lu S, Shi X Q, Goree J, Feng Y 2021 Phys. Rev. E 104 035207
[11] Konopka U, Morfill G, Ratke L 2000 Phys. Rev. Lett. 84 891
Google Scholar
[12] Ichimaru S 1982 Rev. Mod. Phys. 54 1017
Google Scholar
[13] Khrapak S, Couëdel L 2020 Phys. Rev. E 102 033207
Google Scholar
[14] Bajaj P, Khrapak S, Yaroshenko V, Schwabe M 2022 Phys. Rev. E 105 025202
Google Scholar
[15] Nunomura S, Goree J, Hu S, Wang X, Bhattacharjee A, Avinash K 2002 Phys. Rev. Lett. 89 035001
Google Scholar
[16] Nunomura S, Zhdanov S, Morfill G E, Goree J 2003 Phys. Rev. E 68 026407
Google Scholar
[17] Nosenko V, Goree J 2004 Phys. Rev. Lett. 93 155004
Google Scholar
[18] Melzer A, Homann A, Piel A 1996 Phys. Rev. E 53 2757
Google Scholar
[19] 张顺欣, 王硕, 刘雪, 王新占, 刘富成, 贺亚峰 2025 物理学报 74 075202
Google Scholar
Zhang S X, Wang S, Liu X , Wang X Z, Liu F C, He Y F 2025 Acta Phys. Sin. 74 075202
Google Scholar
[20] 田淼, 姚廷昱, 才志民, 刘富成, 贺亚峰 2024 物理学报 73 115201
Google Scholar
Tian M, Yao T Y, Cai Z M, Liu F C, He Y F 2024 Acta Phys. Sin. 73 115201
Google Scholar
[21] 黄渝峰, 贾文柱, 张莹莹, 宋远红 2024 物理学报 73 085202
Google Scholar
Huang Y F, Jia W Z, Zhang Y Y, Song Y H 2024 Acta Phys. Sin. 73 085202
Google Scholar
[22] Kalman G J, Hartmann P, Donkó Z, Rosenberg M 2004 Phys. Rev. Lett. 92 065001
Google Scholar
[23] Nosenko V, Goree J, Ma Z W, Piel A 2002 Phys. Rev. Lett. 88 135001
Google Scholar
[24] Brunton S L, Noack B R, Koumoutsakos P 2020 Annu. Rev. Fluid Mech. 52 477
Google Scholar
[25] Butler K T, Davies D W, Cartwright H, Isayev O, Walsh A 2018 Nature 559 547
Google Scholar
[26] Degrave J, Felici F, Buchli J, et al. 2022 Nature 602 414
Google Scholar
[27] Huang H, Nosenko V, Huang-Fu H X, Thomas H M, Du C R 2022 Phys. Plasmas 29 073702
Google Scholar
[28] Huang H, Schwabe M, Du C R 2019 J. Imaging 5 36
Google Scholar
[29] Wang Z, Xu J, Kovach Y E, Wolfe B T, Thomas E, Guo H, Foster J E, Shen H W 2020 Phys. Plasmas 27 033703
Google Scholar
[30] Dormagen N, Klein M, Schmitz A S, Thoma M H, Schwarz M 2024 J. Imaging 10 40
Google Scholar
[31] Ding Z, Yao J, Wang Y, Yuan C, Zhou Z, Kudryavtsev A A, Gao R, Jia J 2021 Plasma Sci. Technol. 23 095403
Google Scholar
[32] Yu W, Cho J, Burton J C 2022 Phys. Rev. E 106 035303
[33] Liang C, Huang D, Lu S, Feng Y 2023 Phys. Rev. Res. 5 033086
Google Scholar
[34] Liang C, Huang D, Lu S, Feng Y 2024 Phys. Plasmas 31 113702
Google Scholar
[35] Liu B, Avinash K, Goree J 2003 Phys. Rev. Lett. 91 255003
Google Scholar
[36] Feng Y, Liu B, Goree J 2008 Phys. Rev. E 78 026415
Google Scholar
[37] LeCun Y, Bengio Y, Hinton G 2015 Nature 521 436
Google Scholar
[38] Kingma D P, Ba J 2014 arXiv: 1412.6980 [cs.LG]
-
-
[1] Pathria R K, Beale P D 2021 Statistical Mechanics (London: Academic) pp1–22
[2] Feng Y, Goree J, Liu B 2007 Rev. Sci. Instrum. 78 053704
Google Scholar
[3] Feng Y, Goree J, Liu B 2011 Rev. Sci. Instrum. 82 053707
Google Scholar
[4] He Y F, Ai B Q, Dai C X, Song C, Wang R Q, Sun W T, Liu F C, Feng Y 2020 Phys. Rev. Lett. 124 075001
Google Scholar
[5] Beckers J, Berndt J, Block D, Bonitz M, Bruggeman P J, Couëdel L, Delzanno G L, Feng Y, Gopalakrishnan R, Greiner F, Hartmann P, Horányi M, Kersten H, Knapek C A, Konopka U, Kortshagen U, Kostadinova E G, Kovačević E, Krasheninnikov S I, Mann I, Mariotti D, Matthews L S, Melzer A, Mikikian M, Nosenko V, Pustylnik M Y, Ratynskaia S, Sankaran R M, Schneider V, Thimsen E J, Thomas E, Thomas H M, Tolias P, van de Kerkhof M 2023 Phys. Plasmas 30 120601
Google Scholar
[6] Goree J 1994 Plasma Sources Sci. Technol. 3 400
Google Scholar
[7] Feng Y, Goree J, Liu B 2008 Phys. Rev. Lett. 100 205007
Google Scholar
[8] Feng Y, Goree J, Liu B 2010 Phys. Rev. Lett. 105 025002
Google Scholar
[9] Lu S, Huang D, Feng Y 2021 Phys. Rev. E 103 063214
Google Scholar
[10] Huang D, Lu S, Shi X Q, Goree J, Feng Y 2021 Phys. Rev. E 104 035207
[11] Konopka U, Morfill G, Ratke L 2000 Phys. Rev. Lett. 84 891
Google Scholar
[12] Ichimaru S 1982 Rev. Mod. Phys. 54 1017
Google Scholar
[13] Khrapak S, Couëdel L 2020 Phys. Rev. E 102 033207
Google Scholar
[14] Bajaj P, Khrapak S, Yaroshenko V, Schwabe M 2022 Phys. Rev. E 105 025202
Google Scholar
[15] Nunomura S, Goree J, Hu S, Wang X, Bhattacharjee A, Avinash K 2002 Phys. Rev. Lett. 89 035001
Google Scholar
[16] Nunomura S, Zhdanov S, Morfill G E, Goree J 2003 Phys. Rev. E 68 026407
Google Scholar
[17] Nosenko V, Goree J 2004 Phys. Rev. Lett. 93 155004
Google Scholar
[18] Melzer A, Homann A, Piel A 1996 Phys. Rev. E 53 2757
Google Scholar
[19] 张顺欣, 王硕, 刘雪, 王新占, 刘富成, 贺亚峰 2025 物理学报 74 075202
Google Scholar
Zhang S X, Wang S, Liu X , Wang X Z, Liu F C, He Y F 2025 Acta Phys. Sin. 74 075202
Google Scholar
[20] 田淼, 姚廷昱, 才志民, 刘富成, 贺亚峰 2024 物理学报 73 115201
Google Scholar
Tian M, Yao T Y, Cai Z M, Liu F C, He Y F 2024 Acta Phys. Sin. 73 115201
Google Scholar
[21] 黄渝峰, 贾文柱, 张莹莹, 宋远红 2024 物理学报 73 085202
Google Scholar
Huang Y F, Jia W Z, Zhang Y Y, Song Y H 2024 Acta Phys. Sin. 73 085202
Google Scholar
[22] Kalman G J, Hartmann P, Donkó Z, Rosenberg M 2004 Phys. Rev. Lett. 92 065001
Google Scholar
[23] Nosenko V, Goree J, Ma Z W, Piel A 2002 Phys. Rev. Lett. 88 135001
Google Scholar
[24] Brunton S L, Noack B R, Koumoutsakos P 2020 Annu. Rev. Fluid Mech. 52 477
Google Scholar
[25] Butler K T, Davies D W, Cartwright H, Isayev O, Walsh A 2018 Nature 559 547
Google Scholar
[26] Degrave J, Felici F, Buchli J, et al. 2022 Nature 602 414
Google Scholar
[27] Huang H, Nosenko V, Huang-Fu H X, Thomas H M, Du C R 2022 Phys. Plasmas 29 073702
Google Scholar
[28] Huang H, Schwabe M, Du C R 2019 J. Imaging 5 36
Google Scholar
[29] Wang Z, Xu J, Kovach Y E, Wolfe B T, Thomas E, Guo H, Foster J E, Shen H W 2020 Phys. Plasmas 27 033703
Google Scholar
[30] Dormagen N, Klein M, Schmitz A S, Thoma M H, Schwarz M 2024 J. Imaging 10 40
Google Scholar
[31] Ding Z, Yao J, Wang Y, Yuan C, Zhou Z, Kudryavtsev A A, Gao R, Jia J 2021 Plasma Sci. Technol. 23 095403
Google Scholar
[32] Yu W, Cho J, Burton J C 2022 Phys. Rev. E 106 035303
[33] Liang C, Huang D, Lu S, Feng Y 2023 Phys. Rev. Res. 5 033086
Google Scholar
[34] Liang C, Huang D, Lu S, Feng Y 2024 Phys. Plasmas 31 113702
Google Scholar
[35] Liu B, Avinash K, Goree J 2003 Phys. Rev. Lett. 91 255003
Google Scholar
[36] Feng Y, Liu B, Goree J 2008 Phys. Rev. E 78 026415
Google Scholar
[37] LeCun Y, Bengio Y, Hinton G 2015 Nature 521 436
Google Scholar
[38] Kingma D P, Ba J 2014 arXiv: 1412.6980 [cs.LG]
Catalog
Metrics
- Abstract views: 1577
- PDF Downloads: 85
- Cited By: 0









DownLoad: