-
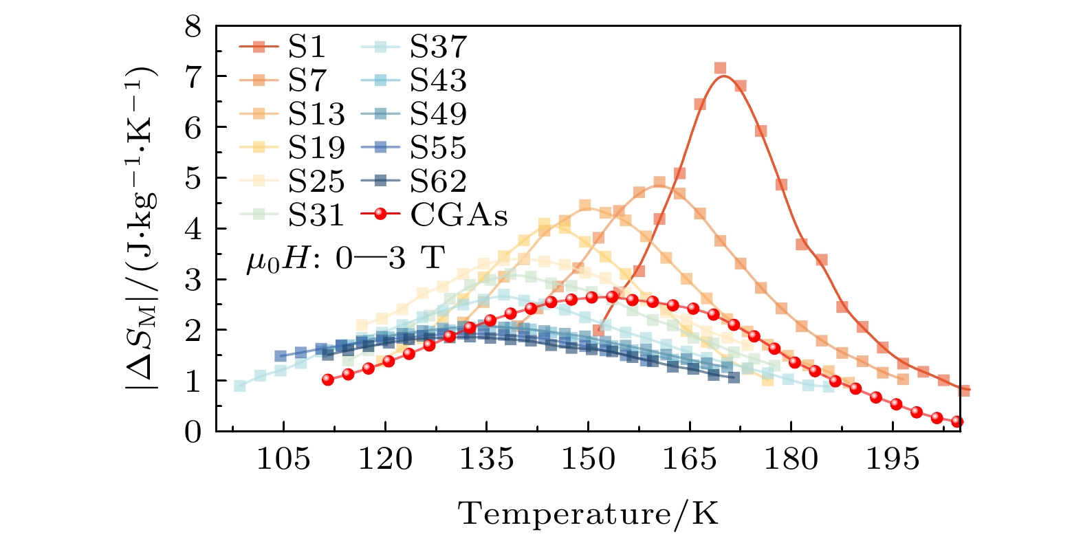
Magnetic refrigeration technology, featuring environmental friendliness, energy efficiency and high performance, is recognized as a next-generation refrigeration technology with the potential to replace gas compression refrigeration technology. However, current magnetic refrigeration materials typically exhibit an excessively narrow phase transition temperature range (≤10 K), thus necessitating the stacking of materials with multiple compositions to meet the practical refrigeration temperature span. In this study, the typical La(Fe, Si)13-based magnetic refrigeration material is selected, and an innovative gradient laser powder bed fusion technology is adopted to obtain 3D-print La0.70Ce0.30Fe11.65–xMnxSi1.35 alloys with horizontal compositional gradients (where the Mn content varies continuously from 0 to 0.64). Systematic characterization of their microstructures, magnetic properties, and magnetocaloric effects indicates that this technology enables a controllable gradient distribution of compositions along the powder bed plane and high-throughput preparation, thereby achieving a continuous variation of the Curie temperature of the gradient alloy over a wide temperature range from 134 K to 174 K. With the increase of Mn content, the phase transition of the alloy gradually changes from a weak first-order phase transition to a second-order phase transition, and the peak shape of the magnetic entropy change curve shifts from “sharp and high” to “broad and flat”. The full width at half maximum of the temperature range is extended to 83.3 K, allowing the gradient alloy to maintain high refrigeration capacity (RC ~130 J/kg, 3 T) at all time. This study breaks through the bottlenecks of traditional material preparation and performance via gradient additive manufacturing, providing a novel technical pathway for achieving high-throughput preparation and performance optimization of magnetic refrigeration materials.
[1] Xie L L, Liang C G, Qin Y Z, Zhou H, Yu Z Y, Chen H D, Naeem M Z, Qiao K M, Wen Y J, Zhang B C, Wang G F, Li X, Liu J, Franco V, Chu K, Yi M, Zhang H 2024 Adv. Func. Mater. 35 2414441
Google Scholar
[2] 张虎, 邢成芬, 龙克文, 肖亚宁 陶坤, 王利晨, 龙毅 2018 物理学报 67 207501
Google Scholar
Zhang H, Xing C F, Long K W, Xiao Y N, Tao K, Wang L C, Long Y 2018 Acta Phys. Sin. 67 207501
Google Scholar
[3] Zhou H, Tao K, Chen B, Chen H D, Qiao K M, Yu Z Y, Cong J Z, Huang R J, Taskaev S V, Zhang H 2022 Acta Mater. 229 117830
Google Scholar
[4] Chmielus M, Zhang X X, Witherspoon C, Dunand D C, Müllner P 2009 Nature Mater. 8 863
Google Scholar
[5] Zhang H, Li Y W, Liu E K, Tao K, Wu M L, Wang Y X, Zhou H B, Xue Y J, Cheng C, Yan T, Long K W, Long Y 2017 Mater. Design 114 531
Google Scholar
[6] Guo W H, Miao X F, Cui J Y, Torii S K, Qian F J, Bai Y Q, Kou Z D, Zha J J, Shao Y Y, Zhang Y J, Xu F, Caron L 2024 Acta Mater. 263 119530
Google Scholar
[7] Imaizumi K, Fujita A, Suzuki A, Kobashi M, Ozaki K 2022 Acta Mater. 227 117726
Google Scholar
[8] Beckmann B, Taubel A, Gottschall T, Pfeuffer L, Koch D, Staab F, Bruder E, Scheibel F, Skokov K P, Gutfleisch O 2025 Acta Mater. 282 120460
Google Scholar
[9] Çakır A, Righi L, Albertini F, Acet M, Farle M 2015 Acta Mater. 99 140
Google Scholar
[10] Fries M, Pfeuffer L, Bruder E, Gottschall T, Ener S, Diop L V B, Gröb T, Skokov K P, Gutfleisch O 2017 Acta Mater. 132 222
Google Scholar
[11] Dan’kov S Y, Tishin A M, Pecharsky V K, Gschneidner K A 1998 Phys. Rev. B 57 3478
Google Scholar
[12] Zhang H, Sun Y J, Niu E, Hu F X, Sun J R, Shen B G 2014 Appl. Phys. Lett. 104 062407
Google Scholar
[13] Zhang H, Shen B G, Xu Z Y, Zheng X Q, Shen J, Hu F X, Sun J R, Long Y 2012 J. Appl. Phys. 111 07A909
Google Scholar
[14] Miao X F, Wang C X, Liao T W, Ju S H, Zha J J, Wang W Y, Liu J, Zhang Y J, Ren Q Y, Xu F, Caron L 2023 Acta Mater. 242 118453
Google Scholar
[15] Kang K H, Lee A Y, Ahn H, Lee W, Kim J W 2025 J. Magn. Magn. Mater. 614 172753
Google Scholar
[16] Liu J, Gottschall T, Skokov K P, Moore J D, Gutfleisch O 2012 Nature Mater. 11 620
Google Scholar
[17] Gottschall T, Gràcia-Condal A, Fries M, Taubel A, Pfeuffer L, Mañosa L, Planes A, Skokov K P, Gutfleisch O 2018 Nature Mater. 17 929
Google Scholar
[18] Qiao K M, Cui Z, Hao X W, Zhao Q, Xu Y X, Wang D K, Liu J Y, Wang D D, Xia Y G, Yin W, Hao J Z, He L H, Romero-Muñiz C, Law J Y, Franco V, Ren Q Y, Zhang H 2025 Acta Mater. 297 121344
Google Scholar
[19] Li Y, Zeng Q Q, Wei Z Y, Liu E K, Han X L, Du Z W, Li L W, Xi X K, Wang W H, Wang S G, Wu G H 2019 Acta Mater. 174 289
Google Scholar
[20] 郑新奇, 沈俊, 胡凤霞, 孙继荣, 沈保根 2016 物理学报 65 217502
Google Scholar
Zheng X Q, Shen J, Hu F X, Sun J R, Shen B G 2016 Acta Phys. Sin. 65 217502
Google Scholar
[21] Onuike B, Heer B, Bandyopadhyay A 2018 Addit. Manuf. 21 133
[22] Wen Y J, Wu X K, Huang A K, Narayan R L, Wang P, Zhang L J, Zhang B C, Ramamurty U, Qu X H 2024 Acta Mater. 264 119572
Google Scholar
[23] Wen Y J, Zhang B C, Narayan R L, Wang P, Song X, Zhao H, Ramamurty U, Qu X H 2021 Addit. Manuf. 40 101926
[24] Wen Y J, Gao Y, Narayan R L, Cai W, Wang P, Wei X D, Zhang B C, Ramamurty U, Qu X H 2025 Int. J. Plasticity 189 104342
Google Scholar
[25] Liu J, He C, Zhang M X, Yan A R 2016 Acta Mater. 118 44
Google Scholar
[26] Shao Y Y, Liu J, Zhang M X, Yan A R, Skokov K P, Karpenkov D Y, Gutfleisch O 2017 Acta Mater. 125 506
Google Scholar
[27] Sun Y, Lv W J, Liang Y, Gao Y, Cui W J, Yan Y J, Zhao W Y, Zhang Q J, Sang X H 2023 Scripta Mater. 223 115068
Google Scholar
[28] Krautz M, Skokov K, Gottschall T, Teixeira C S, Waske A, Liu J, Schultz L, Gutfleisch O 2014 J. Alloys Compd. 598 27
Google Scholar
[29] Eggert B, Lill J, Günzing D, Terwey A, Radulov I A, Wilhelm F, Rogalev A, Rovezzi M, Skokov K, Ollefs K, Gutfleisch O, Gruner M E, Wende H 2025 J. Alloys Compd. 1031 180586
Google Scholar
[30] Zhang X, Wang K, Huang K L, Yao Q R, Lu Z, Long Q X, Deng J Q, Wang J, Zhou H Y 2024 J. Magn. Magn. Mater. 607 172379
Google Scholar
[31] Miao L Y, Lu X, Wei Z Y, Zhang Y F, Zhang Y X, Liu J 2023 Acta Mater. 245 118635
Google Scholar
[32] Lovell E, Pereira A M, Caplin A D, Lyubina J, Cohen L F 2014 Adv. Energy Mater. 5 1401639
Google Scholar
[33] Lai J W, Sepehri-Amin H, Tang X, Li J, Matsushita Y, Ohkubo T, Saito A T, Hono K 2021 Acta Mater. 220 117286
Google Scholar
[34] Liu J, Krautz M, Skokov K, Woodcock T G, Gutfleisch O 2011 Acta Mater. 59 3602
Google Scholar
[35] 杨静洁, 赵金良, 许磊, 张红国, 岳明, 刘丹敏, 蒋毅坚 2018 物理学报 67 077501
Google Scholar
Yang J J, Zhao J L, Xu L, Zhang H G, Yue M, Liu D M, Jiang Y J 2018 Acta Phys. Sin. 67 077501
Google Scholar
-
图 3 退火态CGAs的结构和成分演变 (a) XRD图谱; (b) 通过Rietveld精修得到的对应晶格参数; (c) EDS点扫描得到的1:13相Fe和Mn含量
Figure 3. Microstructural and compositional evolution of as-annealed CGAs: (a) XRD patterns; (b) corresponding lattice parameters via Rietveld refinement; (c) Fe and Mn contents of the 1:13 phase by EDS point scanning.
-
[1] Xie L L, Liang C G, Qin Y Z, Zhou H, Yu Z Y, Chen H D, Naeem M Z, Qiao K M, Wen Y J, Zhang B C, Wang G F, Li X, Liu J, Franco V, Chu K, Yi M, Zhang H 2024 Adv. Func. Mater. 35 2414441
Google Scholar
[2] 张虎, 邢成芬, 龙克文, 肖亚宁 陶坤, 王利晨, 龙毅 2018 物理学报 67 207501
Google Scholar
Zhang H, Xing C F, Long K W, Xiao Y N, Tao K, Wang L C, Long Y 2018 Acta Phys. Sin. 67 207501
Google Scholar
[3] Zhou H, Tao K, Chen B, Chen H D, Qiao K M, Yu Z Y, Cong J Z, Huang R J, Taskaev S V, Zhang H 2022 Acta Mater. 229 117830
Google Scholar
[4] Chmielus M, Zhang X X, Witherspoon C, Dunand D C, Müllner P 2009 Nature Mater. 8 863
Google Scholar
[5] Zhang H, Li Y W, Liu E K, Tao K, Wu M L, Wang Y X, Zhou H B, Xue Y J, Cheng C, Yan T, Long K W, Long Y 2017 Mater. Design 114 531
Google Scholar
[6] Guo W H, Miao X F, Cui J Y, Torii S K, Qian F J, Bai Y Q, Kou Z D, Zha J J, Shao Y Y, Zhang Y J, Xu F, Caron L 2024 Acta Mater. 263 119530
Google Scholar
[7] Imaizumi K, Fujita A, Suzuki A, Kobashi M, Ozaki K 2022 Acta Mater. 227 117726
Google Scholar
[8] Beckmann B, Taubel A, Gottschall T, Pfeuffer L, Koch D, Staab F, Bruder E, Scheibel F, Skokov K P, Gutfleisch O 2025 Acta Mater. 282 120460
Google Scholar
[9] Çakır A, Righi L, Albertini F, Acet M, Farle M 2015 Acta Mater. 99 140
Google Scholar
[10] Fries M, Pfeuffer L, Bruder E, Gottschall T, Ener S, Diop L V B, Gröb T, Skokov K P, Gutfleisch O 2017 Acta Mater. 132 222
Google Scholar
[11] Dan’kov S Y, Tishin A M, Pecharsky V K, Gschneidner K A 1998 Phys. Rev. B 57 3478
Google Scholar
[12] Zhang H, Sun Y J, Niu E, Hu F X, Sun J R, Shen B G 2014 Appl. Phys. Lett. 104 062407
Google Scholar
[13] Zhang H, Shen B G, Xu Z Y, Zheng X Q, Shen J, Hu F X, Sun J R, Long Y 2012 J. Appl. Phys. 111 07A909
Google Scholar
[14] Miao X F, Wang C X, Liao T W, Ju S H, Zha J J, Wang W Y, Liu J, Zhang Y J, Ren Q Y, Xu F, Caron L 2023 Acta Mater. 242 118453
Google Scholar
[15] Kang K H, Lee A Y, Ahn H, Lee W, Kim J W 2025 J. Magn. Magn. Mater. 614 172753
Google Scholar
[16] Liu J, Gottschall T, Skokov K P, Moore J D, Gutfleisch O 2012 Nature Mater. 11 620
Google Scholar
[17] Gottschall T, Gràcia-Condal A, Fries M, Taubel A, Pfeuffer L, Mañosa L, Planes A, Skokov K P, Gutfleisch O 2018 Nature Mater. 17 929
Google Scholar
[18] Qiao K M, Cui Z, Hao X W, Zhao Q, Xu Y X, Wang D K, Liu J Y, Wang D D, Xia Y G, Yin W, Hao J Z, He L H, Romero-Muñiz C, Law J Y, Franco V, Ren Q Y, Zhang H 2025 Acta Mater. 297 121344
Google Scholar
[19] Li Y, Zeng Q Q, Wei Z Y, Liu E K, Han X L, Du Z W, Li L W, Xi X K, Wang W H, Wang S G, Wu G H 2019 Acta Mater. 174 289
Google Scholar
[20] 郑新奇, 沈俊, 胡凤霞, 孙继荣, 沈保根 2016 物理学报 65 217502
Google Scholar
Zheng X Q, Shen J, Hu F X, Sun J R, Shen B G 2016 Acta Phys. Sin. 65 217502
Google Scholar
[21] Onuike B, Heer B, Bandyopadhyay A 2018 Addit. Manuf. 21 133
[22] Wen Y J, Wu X K, Huang A K, Narayan R L, Wang P, Zhang L J, Zhang B C, Ramamurty U, Qu X H 2024 Acta Mater. 264 119572
Google Scholar
[23] Wen Y J, Zhang B C, Narayan R L, Wang P, Song X, Zhao H, Ramamurty U, Qu X H 2021 Addit. Manuf. 40 101926
[24] Wen Y J, Gao Y, Narayan R L, Cai W, Wang P, Wei X D, Zhang B C, Ramamurty U, Qu X H 2025 Int. J. Plasticity 189 104342
Google Scholar
[25] Liu J, He C, Zhang M X, Yan A R 2016 Acta Mater. 118 44
Google Scholar
[26] Shao Y Y, Liu J, Zhang M X, Yan A R, Skokov K P, Karpenkov D Y, Gutfleisch O 2017 Acta Mater. 125 506
Google Scholar
[27] Sun Y, Lv W J, Liang Y, Gao Y, Cui W J, Yan Y J, Zhao W Y, Zhang Q J, Sang X H 2023 Scripta Mater. 223 115068
Google Scholar
[28] Krautz M, Skokov K, Gottschall T, Teixeira C S, Waske A, Liu J, Schultz L, Gutfleisch O 2014 J. Alloys Compd. 598 27
Google Scholar
[29] Eggert B, Lill J, Günzing D, Terwey A, Radulov I A, Wilhelm F, Rogalev A, Rovezzi M, Skokov K, Ollefs K, Gutfleisch O, Gruner M E, Wende H 2025 J. Alloys Compd. 1031 180586
Google Scholar
[30] Zhang X, Wang K, Huang K L, Yao Q R, Lu Z, Long Q X, Deng J Q, Wang J, Zhou H Y 2024 J. Magn. Magn. Mater. 607 172379
Google Scholar
[31] Miao L Y, Lu X, Wei Z Y, Zhang Y F, Zhang Y X, Liu J 2023 Acta Mater. 245 118635
Google Scholar
[32] Lovell E, Pereira A M, Caplin A D, Lyubina J, Cohen L F 2014 Adv. Energy Mater. 5 1401639
Google Scholar
[33] Lai J W, Sepehri-Amin H, Tang X, Li J, Matsushita Y, Ohkubo T, Saito A T, Hono K 2021 Acta Mater. 220 117286
Google Scholar
[34] Liu J, Krautz M, Skokov K, Woodcock T G, Gutfleisch O 2011 Acta Mater. 59 3602
Google Scholar
[35] 杨静洁, 赵金良, 许磊, 张红国, 岳明, 刘丹敏, 蒋毅坚 2018 物理学报 67 077501
Google Scholar
Yang J J, Zhao J L, Xu L, Zhang H G, Yue M, Liu D M, Jiang Y J 2018 Acta Phys. Sin. 67 077501
Google Scholar
Catalog
Metrics
- Abstract views: 353
- PDF Downloads: 11
- Cited By: 0









DownLoad: