-
声波在饱含流体孔隙介质中的传播特性与流体的黏滞性及孔隙介质的非均匀性密切相关. 本文在Biot理论基础上, 考虑了孔隙流体的剪切应力及孔隙结构的非均匀性, 采用含黏性流体孔隙介质中的波动理论, 研究了孔隙介质中四种体波的频散和衰减特性, 分析了慢横波对快纵波转换散射的影响, 进一步推导了孔隙地层井孔中的模式波及其声场的解析解, 研究了非均匀孔隙介质中井孔模式波和波列的特征. 研究结果表明, 含黏性流体孔隙介质中存在慢横波, 慢横波的频散很强, 其传播特征受到介质孔隙度、渗透率及孔隙流体黏度的影响. 在非均匀孔隙介质中, 与慢横波相关的剪切应力平衡过程不仅导致快纵波的频散和衰减, 还会影响井孔伪瑞利波及斯通利波的传播特征. 本文的工作完善了孔隙介质中声波传播的物理机制, 为孔隙地层井孔声波的解释与应用提供了理论指导.Sound field in fluid-saturated porous medium is closely related to the viscosity of fluid and the heterogeneity of porous medium. In order to improve the physical mechanism of wave propagation in porous medium and expand its application in borehole acoustic field, the shear stress of porous fluid and the heterogeneity of pore structure are considered. The wave theory in porous medium containing viscous fluid is deduced based on the Biot theory. The influence of porous medium parameters on slow shear wave is analyzed, and the dispersion and attenuation of elastic wave caused by shear stress balance in porous fluid under the influence of inhomogeneous pore structure are studied. The analytical solution of borehole acoustic field in porous medium containing viscous fluid is further derived. The phase velocity and attenuation of borehole mode waves in heterogeneous porous medium, and the waveform of borehole full wave are calculated. The influence of pore fluid viscosity on borehole full wave is analyzed. The results show that there are slow shear waves in the porous medium containing viscous fluid. The slow shear wave is characterized by low velocity and large attenuation. In heterogeneous porous medium, the balance process of shear stress related to slow shear wave not only leads to the dispersion and attenuation of fast P-wave, but also affects the propagation characteristics of borehole pseudo Rayleigh wave and Stoneley wave. In addition, the pore fluid viscosity has a great influence on the borehole Stoneley wave. The present work improves the physical mechanism of acoustic wave propagation in porous medium and provides theoretical guidance for the explanation and application of borehole acoustic waves in porous formations.
[1] 李红星, 张嘉辉, 樊嘉伟, 陶春辉, 肖昆, 黄光南, 盛书中, 宫猛 2022 物理学报 71 089101
Google Scholar
Li H X, Zhang J H, Fan J W, Tao C H, Xiao K, Huang G N, Sheng S Z, Gong M 2022 Acta Phys. Sin. 71 089101
Google Scholar
[2] 乔厚, 何锃, 张恒堃, 彭伟才, 江雯 2019 物理学报 68 128101
Google Scholar
Qiao H, He Y, Zhang H K, Peng W C, Jiang W 2019 Acta Phys. Sin. 68 128101
Google Scholar
[3] Benoit G, Heinkélé C, Gourdon E 2013 J. Acoust. Soc. Am. 134 4782
Google Scholar
[4] Biot M A 1956 J. Acoust. Soc. Am. 28 168
Google Scholar
[5] Biot M A 1956 J. Acoust. Soc. Am. 28 179
Google Scholar
[6] Biot M A 1962 J. Appl. Phys. 33 1482
Google Scholar
[7] Rosenbaum J H 1974 Geophysics 39 14
Google Scholar
[8] Li K S, Gao J, Ju X D, Sun H F 2018 J. Geophys. Eng. 15 2266
Google Scholar
[9] 杨博, 章成广, 蔡明, 甘泉, 蔡德洋, 朱雷 2019 地球物理学进展 34 1127
Google Scholar
Yang B, Zhang C G, Cai M, Gan Q, Cai D Y, Zhu L 2019 Progress in Geophysics 34 1127
Google Scholar
[10] Qi Q M, Fu L Y, Deng J X, Cao J X 2021 Geophysics 86 1
Google Scholar
[11] Winkler K W 1985 J. Geophys. Res. Solid Earth 90 6793
Google Scholar
[12] Gist G A 1991 J. Acoust. Soc. Am. 90 2370
Google Scholar
[13] 邓继新, 史謌, 俞军 2003 北京大学学报(自然科学版) 39 835
Google Scholar
Deng J X, Shi X, Yu J 2003 Acta Scientiarum Naturalium Universitatis Pekinensis 39 835
Google Scholar
[14] Feng J X, Teng Q Z, He X H, Qing L B, Li Y 2018 Comput. Mater. Sci. 144 181
Google Scholar
[15] 陈培元, 杨辉廷, 贾兆扬 2018 中国海上油气 30 31
Google Scholar
Chen P Y, Yang H T, Jia Z Y 2018 Chin. Offshore Oil Gas 30 31
Google Scholar
[16] Liu Q R, Katsube N 1990 J. Acoust. Soc. Am. 88 1045
Google Scholar
[17] 魏修成, 卢明辉, 巴晶, 杨慧珠 2008 地球物理学报 51 213
Google Scholar
Wei X C, Lu M H, Ba J, Yang H Z 2008 Chin. J. Geophys. 51 213
Google Scholar
[18] Gao W 2016 SEG Technical Program Expanded Abstracts 2016 Dallas, Texas, October 16-21, 2016 pp3871–3875
[19] Sahay P N 2008 Geophysics 73 N19
Google Scholar
[20] Ciz R, Gurevich B, Markov M 2006 Geophys. J. Int. 165 957
Google Scholar
[21] Müller T M, Gurevich B 2005 J. Acoust. Soc. Am. 117 2732
Google Scholar
[22] Mavko G, Nur A 1975 J. Geophys. Res. 80 1444
Google Scholar
[23] Dvorkin J, Nur A 1993 Geophysics 58 524
Google Scholar
[24] 崔志文, 刘金霞, 王春霞, 王克协 2010 物理学报 59 8655
Google Scholar
Cui Z W, Liu J X, Wang C X, Wang K X 2010 Acta Phys. Sin. 59 8655
Google Scholar
[25] Berryman J G, Wang H F 2000 Int. J. Rock Mech. Min. Sci. 37 63
Google Scholar
[26] 赵延林, 曹平, 唐劲舟, 马文豪, 李树清, 王卫军 2017 中南大学学报(自然科学版) 48 168
Google Scholar
Zhao Y L, Cao P, Tang J Z, Ma W H, Li S Q, Wang W J 2017 J. Cent. South Univ. (Sci. Technol.) 48 168
Google Scholar
[27] 邵婕, 唐杰, 孙成禹 2016 地球物理学进展 31 334
Google Scholar
Shao J, Tang J, Sun C Y 2016 Progr. Geophys. 31 334
Google Scholar
[28] Müller T M, Sahay P N 2011 J. Acoust. Soc. Am. 129 2785
Google Scholar
[29] Müller T M, Sahay P N 2011 Phys. Rev. E 84 026329
[30] 胡恒山, 王克协 2001 地球物理学报 44 135
Google Scholar
Hu H S, Wang K X 2001 Chin. J. Geophys. 44 135
Google Scholar
[31] 卢明辉, 巴晶, 杨慧珠 2009 工程力学 26 36
Lu M H, Ba J, Yang H Z 2009 Eng. Mech. 26 36
[32] Zhang X M, Müller T M 2019 Geophysics 84 WA1
Google Scholar
[33] Bourbie T, Coussy O, Zinszner B, Junger M C 1992 J. Acoust. Soc. Am. 91 3080
Google Scholar
[34] Müller T M, Sahay P N 2011 Appl. Phys. Lett. 98 168
Google Scholar
[35] 崔志文, 刘金霞, 王克协 2005 吉林大学学报(理学版) 43 803
Cui Z W, Liu J X, Wang K X 2005 J. Jilin Univ. (Sci. Ed.) 43 803
[36] Markova I, Ronquillo J G, Markov M, Gurevich B 2014 Geophys. J. Int. 196 1082
Google Scholar
-
表 1 孔隙介质参数
Table 1. Parameters of porous media.
参
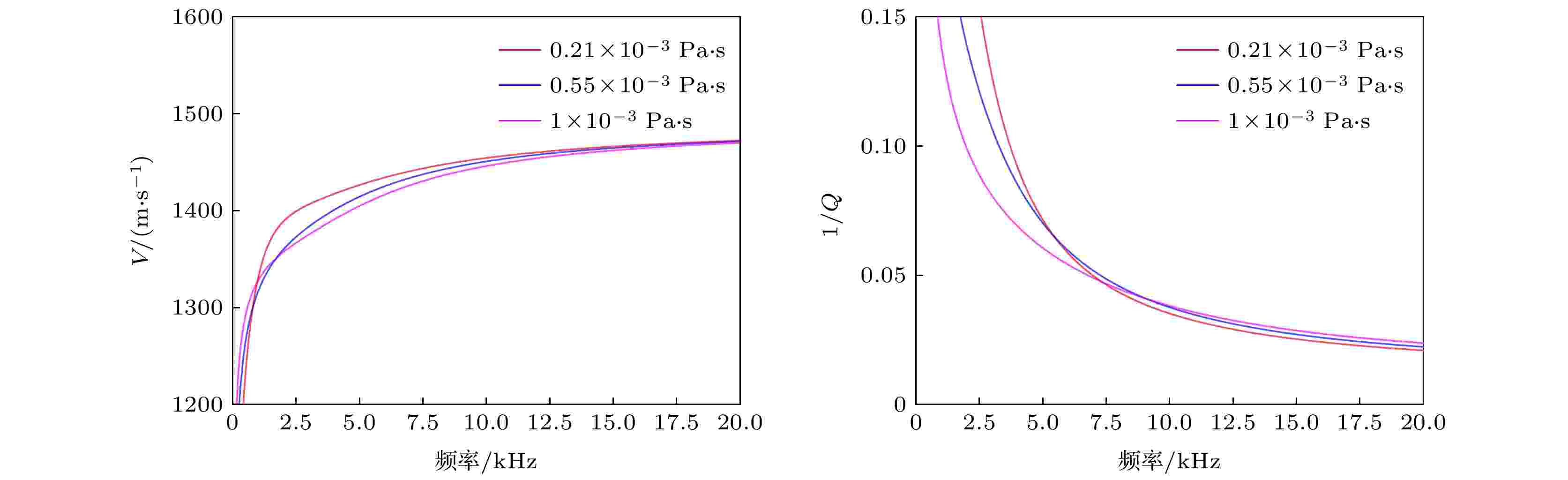
数${\rho _{\rm{s}}}$/(kg·m–3) ${\rho _{\rm{f}}}$/(kg·m–3) $ {k_0} $/D $ \eta $/% ${\mu _{\rm{f}}}$/(Pa·s) $ {S^\infty } $ ${K_{\rm{f}}}$/GPa $ {K_0} $/GPa ${K_{\rm{s}}}$/GPa $ {\mu _0} $/GPa ${\mu _{\rm{s}}}$/GPa 值 2650 1000 1 20 10–3 3 2.25 14.39 35.7 14 44 表 2 水在不同温度下的黏度
Table 2. Viscosity of water at different temperatures.
温度/℃ 20 50 150 黏度/(10–3 Pa·s) 1.00 0.55 0.21 -
[1] 李红星, 张嘉辉, 樊嘉伟, 陶春辉, 肖昆, 黄光南, 盛书中, 宫猛 2022 物理学报 71 089101
Google Scholar
Li H X, Zhang J H, Fan J W, Tao C H, Xiao K, Huang G N, Sheng S Z, Gong M 2022 Acta Phys. Sin. 71 089101
Google Scholar
[2] 乔厚, 何锃, 张恒堃, 彭伟才, 江雯 2019 物理学报 68 128101
Google Scholar
Qiao H, He Y, Zhang H K, Peng W C, Jiang W 2019 Acta Phys. Sin. 68 128101
Google Scholar
[3] Benoit G, Heinkélé C, Gourdon E 2013 J. Acoust. Soc. Am. 134 4782
Google Scholar
[4] Biot M A 1956 J. Acoust. Soc. Am. 28 168
Google Scholar
[5] Biot M A 1956 J. Acoust. Soc. Am. 28 179
Google Scholar
[6] Biot M A 1962 J. Appl. Phys. 33 1482
Google Scholar
[7] Rosenbaum J H 1974 Geophysics 39 14
Google Scholar
[8] Li K S, Gao J, Ju X D, Sun H F 2018 J. Geophys. Eng. 15 2266
Google Scholar
[9] 杨博, 章成广, 蔡明, 甘泉, 蔡德洋, 朱雷 2019 地球物理学进展 34 1127
Google Scholar
Yang B, Zhang C G, Cai M, Gan Q, Cai D Y, Zhu L 2019 Progress in Geophysics 34 1127
Google Scholar
[10] Qi Q M, Fu L Y, Deng J X, Cao J X 2021 Geophysics 86 1
Google Scholar
[11] Winkler K W 1985 J. Geophys. Res. Solid Earth 90 6793
Google Scholar
[12] Gist G A 1991 J. Acoust. Soc. Am. 90 2370
Google Scholar
[13] 邓继新, 史謌, 俞军 2003 北京大学学报(自然科学版) 39 835
Google Scholar
Deng J X, Shi X, Yu J 2003 Acta Scientiarum Naturalium Universitatis Pekinensis 39 835
Google Scholar
[14] Feng J X, Teng Q Z, He X H, Qing L B, Li Y 2018 Comput. Mater. Sci. 144 181
Google Scholar
[15] 陈培元, 杨辉廷, 贾兆扬 2018 中国海上油气 30 31
Google Scholar
Chen P Y, Yang H T, Jia Z Y 2018 Chin. Offshore Oil Gas 30 31
Google Scholar
[16] Liu Q R, Katsube N 1990 J. Acoust. Soc. Am. 88 1045
Google Scholar
[17] 魏修成, 卢明辉, 巴晶, 杨慧珠 2008 地球物理学报 51 213
Google Scholar
Wei X C, Lu M H, Ba J, Yang H Z 2008 Chin. J. Geophys. 51 213
Google Scholar
[18] Gao W 2016 SEG Technical Program Expanded Abstracts 2016 Dallas, Texas, October 16-21, 2016 pp3871–3875
[19] Sahay P N 2008 Geophysics 73 N19
Google Scholar
[20] Ciz R, Gurevich B, Markov M 2006 Geophys. J. Int. 165 957
Google Scholar
[21] Müller T M, Gurevich B 2005 J. Acoust. Soc. Am. 117 2732
Google Scholar
[22] Mavko G, Nur A 1975 J. Geophys. Res. 80 1444
Google Scholar
[23] Dvorkin J, Nur A 1993 Geophysics 58 524
Google Scholar
[24] 崔志文, 刘金霞, 王春霞, 王克协 2010 物理学报 59 8655
Google Scholar
Cui Z W, Liu J X, Wang C X, Wang K X 2010 Acta Phys. Sin. 59 8655
Google Scholar
[25] Berryman J G, Wang H F 2000 Int. J. Rock Mech. Min. Sci. 37 63
Google Scholar
[26] 赵延林, 曹平, 唐劲舟, 马文豪, 李树清, 王卫军 2017 中南大学学报(自然科学版) 48 168
Google Scholar
Zhao Y L, Cao P, Tang J Z, Ma W H, Li S Q, Wang W J 2017 J. Cent. South Univ. (Sci. Technol.) 48 168
Google Scholar
[27] 邵婕, 唐杰, 孙成禹 2016 地球物理学进展 31 334
Google Scholar
Shao J, Tang J, Sun C Y 2016 Progr. Geophys. 31 334
Google Scholar
[28] Müller T M, Sahay P N 2011 J. Acoust. Soc. Am. 129 2785
Google Scholar
[29] Müller T M, Sahay P N 2011 Phys. Rev. E 84 026329
[30] 胡恒山, 王克协 2001 地球物理学报 44 135
Google Scholar
Hu H S, Wang K X 2001 Chin. J. Geophys. 44 135
Google Scholar
[31] 卢明辉, 巴晶, 杨慧珠 2009 工程力学 26 36
Lu M H, Ba J, Yang H Z 2009 Eng. Mech. 26 36
[32] Zhang X M, Müller T M 2019 Geophysics 84 WA1
Google Scholar
[33] Bourbie T, Coussy O, Zinszner B, Junger M C 1992 J. Acoust. Soc. Am. 91 3080
Google Scholar
[34] Müller T M, Sahay P N 2011 Appl. Phys. Lett. 98 168
Google Scholar
[35] 崔志文, 刘金霞, 王克协 2005 吉林大学学报(理学版) 43 803
Cui Z W, Liu J X, Wang K X 2005 J. Jilin Univ. (Sci. Ed.) 43 803
[36] Markova I, Ronquillo J G, Markov M, Gurevich B 2014 Geophys. J. Int. 196 1082
Google Scholar
计量
- 文章访问数: 8528
- PDF下载量: 116
- 被引次数: 0








下载:
