-
圆孔型声子晶体, 因结构简单、制作方便, 被广泛应用于换能器的性能优化研究. 研究发现, 圆孔型声子晶体结构的孔隙越大, 弹性波的能量局域化效果越好. 但是高孔隙度意味着圆孔间的距离较窄, 会大幅降低结构的机械强度. 柱状声子晶体结构的提出, 解决了圆孔型声子晶体结构需要高孔隙度, 对结构尺寸精度要求高的问题, 为压电超声换能器的性能优化提供了新思路. 利用在换能器的前、后盖板上加工的柱状和声学表面结构, 操控声波的传输行为和路径, 从而实现对换能器中耦合振动的有效控制, 不仅解决了换能器因振动能量不能均匀传递而导致的辐射面振幅分布不均匀的问题, 还使其辐射面的位移振幅得到了显著提升, 提高了换能器的工作效率. 仿真计算结果揭示了柱状和声学表面结构的配置对换能器性能的影响规律, 实验结果证明柱状和声学表面结构可以有效提升压电超声换能器的性能, 研究可以为换能器的工程计算及优化提供系统的设计理论证明.
The band gap, localization, and waveguide characteristics of phononic crystal structures offer extensive potential applications in transducer field, particularly for circular-hole phononic crystals, which are extensively utilized in research on performance optimization of transducers due to their straightforward structure and easy fabrication. Nonetheless, studies have revealed that the bandgap width of circular-hole phononic crystal structures is directly proportional to their porosity. Typically, a higher porosity leads to enhanced energy localization of elastic waves. However, high porosity implies a narrower distance between circular holes, greatly reducing the mechanical strength of the structure. The introduction of columnar phononic crystal structures solves the problems of high porosity and strict dimensional accuracy requirements in circular-hole phononic crystal structures, providing a new approach for enhancing the performance of piezoelectric ultrasonic transducers. This study employs cylindrical and acoustic surface structures fabricated on the front and rear cover plates of piezoelectric ultrasonic transducers to manipulate the transmission behavior and pathway of sound waves, thereby achieving effective control over coupled vibrations within the transducer. This approach not only solves the problem of uneven amplitude distribution on the radiation surface due to uneven vibration energy transmission but also markedly enhances the displacement amplitude of the transducer’s radiation surface, ultimately enhancing its operational efficiency. The simulation results elucidate the influences of the configuration of these cylindrical and acoustic surface structures on transducer performance. Experimental findings further validate that these structures can effectively improve the performance of piezoelectric ultrasonic transducers. This study provides systematic design theory support for the engineering calculation and optimization of transducers. -
Keywords:
- porous phononic crystals /
- columnar and acoustic surface structures /
- piezoelectric ultrasonic transducers /
- performance optimization
[1] Fu J F, Lin B, Sui T Y, Dong B K 2025 Ultrasonics 148 107533
Google Scholar
[2] Takeda K, Tanaka H, Tsuchiya T, Kaneko S 1998 Ultrasonics 36 75
Google Scholar
[3] Kengo N, Watanabe Y 2006 Jpn. J. Appl. Phys. 45 4812
Google Scholar
[4] Bendikiene R, Kavaliauskiene L, Borkys M 2021 CIRP J. Manu. Sci. Tech. 35 872
Google Scholar
[5] Peters D 1996 J. Mater. Chem. 6 1605
Google Scholar
[6] An D, Huang Y K, Li J G, Huang W Q 2025 Inter. J. Prec. Eng. Manu. 26 559
Google Scholar
[7] Li Y X, Ye S Y, Long Z L, Ju J Z, Zhao H 2025 Sensor. Actuat. A: Phys. 381 116037
Google Scholar
[8] Wang J H, Ji H W, Anqi Q, Liu Y, Lin L M, Wu X, Ni J 2023 Materials 16 5812
Google Scholar
[9] Ronda S, Montero de Espinosa F 2018 Adv. Appl. Ceram. 117 177
Google Scholar
[10] 李照希 2022 博士学位论文 (西安: 西安电子科技大学)
Li Z X 2022 Ph. D. Dissertation (Xi’an: Xidian University
[11] 秦振杰 2023 硕士学位论文 (太原: 中北大学)
Qin Z J 2023 M. S. Thesis (Taiyuan: North University of China
[12] 张利娟 2022 硕士学位论文 (镇江: 江苏大学)
Zhang L J 2022 M. S. Thesis (Zhenjiang: Jiangsu University
[13] 宋明鑫 2020 硕士学位论文 (北京: 中国科学院大学)
Song M X 2020 M. S. Thesis (Beijing: University of Chinese Academy of Sciences
[14] 王燕萍 2023 硕士学位论文 (广州: 广东工业大学)
Wang Y P 2023 M. S. Thesis (Guangzhou: Guangdong University of Technology
[15] 林基艳, 林书玉, 王升, 李耀 2021 中国科学: 物理学 力学 天文学 51 094311
Google Scholar
Lin J Y, Lin S Y, Wang S, Li Y 2021 Sci. Sin. Phys. Mech. Astron. 51 094311
Google Scholar
[16] 李婧 2021 博士学位论文 (太原: 中北大学)
Li J 2021 Ph. D. Dissertation (Taiyuan: North University of China
[17] Wang S, Chen C, Hu L Q, Lin S Y 2022 J. Acoust. Soc. Am. 152 193
Google Scholar
[18] Wang S, Shan J J, Lin S Y 2022 Ultrasonics 120 106640
Google Scholar
[19] 孙向洋, 燕群, 郭翔鹰 2021 人工晶体学报 50 1378
Google Scholar
Sun X Y, Yan Q, Guo X Y 2021 J. Synt. Crys. 50 1378
Google Scholar
[20] 程晓茹 2021 硕士学位论文 (兰州: 兰州大学)
Chen X R 2021 M. S. Thesis (Lanzhou: Lanzhou University
[21] 尉浪浪 2023 硕士学位论文 (太原: 中北大学)
Yu L L 2023 M. S. Thesis (Taiyuan: North University of China
[22] 谭自豪 2021 硕士学位论文 (兰州: 兰州交通大学)
Tan Z H 2021 M. S. Thesis (Lanzhou: Lanzhou Jiaotong University
[23] 张敏, 温晓东, 孙小伟, 刘禧萱, 宋婷, 刘子江 2024 噪声与振动控制 44 96
Google Scholar
Zhang M, Wen X D, Sun X W, Liu X X, Song T, Liu Z J 2024 Nois. Vibr. Cont. 44 96
Google Scholar
[24] Qin Z J, Wang H L, Zhang H Q, Ding Q, Huang X, Zhu J J, Ren R, Sun X L 2023 Trans. Inst. Meas. Cont. 45 674
Google Scholar
[25] Hu F B, Cheng L N, Fan S Y, Xue X F, Liang Y, Lu M H, Wang W 2022 Sens. Actu. A. Phys. 333 113298
Google Scholar
[26] Dryburgh P, Smith J R, Marrow P, Laine S, Sharples S, Clark M, Li W Q 2020 Ultrasonics 108 106171
Google Scholar
[27] Zhang Q Z, Guo J Q, Qin P, Tang G B, Zhang B F, Hashimoto K, Han T, Li P, Wen Y M 2018 Ultrasonics 88 131
Google Scholar
-
图 15 换能器的辐射面位移振幅分布的实验测量 (a) 测试图; (b) 柱状和声学表面结构的压电超声换能器的测量结果; (c) 未优化换能器的测量结果
Fig. 15. Experimental measurement of the displacement amplitude distribution of the radiation surface of the transducer: (a) Test chart; (b) measurement results of piezoelectric ultrasonic transducers with columnar and acoustic surface structures; (c) measurement results of the transducer that have not been optimized.
表 1 大尺寸换能器的详细参数
Table 1. Detailed parameters of large-sized transducer.
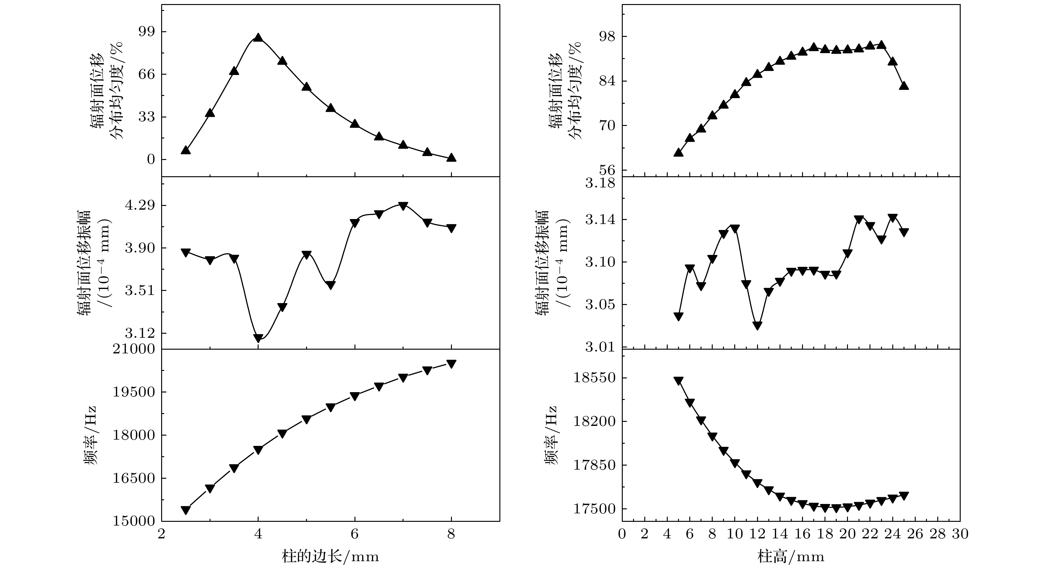
组件名称 材料 形状 上底半径/mm 下底半径/mm 高度/mm 后盖板 Steel AISI 4340 钢 等截面圆柱 31 31 30 前盖板 Aluminium 6063-T83 圆台 31 50 35 压电陶瓷圆环(2片) PZT-4 等截面圆环 内径7/外径30 内径7/外径30 8 A B C D (3)式 x为柱高 19651.327 –277.955 11.400 –0.142 x为柱边长 10141.232 2616.509 –221.630 7.083 x为圆柱体孔半径 17511.585 –3.807 4.071 –0.893 x为环槽高度 17405.221 88.233 –26.829 3.145 x为凹槽厚度 17512.152 4.646 –0.732 0.746×10–1 (4)式 y为圆柱体孔半径 17511.585 –3.807 4.071 –0.893 y为环槽高度 17405.221 88.233 –26.829 3.145 (5)式 y1为表面凹槽厚度 2.909×10–4 8.421×10–6 — — (6)式 z为柱高 41.422 4.051 0.022 –0.454×10–2 z为柱边长 –572.671 386.836 –72.945 4.206 z为圆柱体孔半径 87.149 5.651 –0.866 –0.174 z为环槽的高度 91.649 4.283 –1.871 0.221 -
[1] Fu J F, Lin B, Sui T Y, Dong B K 2025 Ultrasonics 148 107533
Google Scholar
[2] Takeda K, Tanaka H, Tsuchiya T, Kaneko S 1998 Ultrasonics 36 75
Google Scholar
[3] Kengo N, Watanabe Y 2006 Jpn. J. Appl. Phys. 45 4812
Google Scholar
[4] Bendikiene R, Kavaliauskiene L, Borkys M 2021 CIRP J. Manu. Sci. Tech. 35 872
Google Scholar
[5] Peters D 1996 J. Mater. Chem. 6 1605
Google Scholar
[6] An D, Huang Y K, Li J G, Huang W Q 2025 Inter. J. Prec. Eng. Manu. 26 559
Google Scholar
[7] Li Y X, Ye S Y, Long Z L, Ju J Z, Zhao H 2025 Sensor. Actuat. A: Phys. 381 116037
Google Scholar
[8] Wang J H, Ji H W, Anqi Q, Liu Y, Lin L M, Wu X, Ni J 2023 Materials 16 5812
Google Scholar
[9] Ronda S, Montero de Espinosa F 2018 Adv. Appl. Ceram. 117 177
Google Scholar
[10] 李照希 2022 博士学位论文 (西安: 西安电子科技大学)
Li Z X 2022 Ph. D. Dissertation (Xi’an: Xidian University
[11] 秦振杰 2023 硕士学位论文 (太原: 中北大学)
Qin Z J 2023 M. S. Thesis (Taiyuan: North University of China
[12] 张利娟 2022 硕士学位论文 (镇江: 江苏大学)
Zhang L J 2022 M. S. Thesis (Zhenjiang: Jiangsu University
[13] 宋明鑫 2020 硕士学位论文 (北京: 中国科学院大学)
Song M X 2020 M. S. Thesis (Beijing: University of Chinese Academy of Sciences
[14] 王燕萍 2023 硕士学位论文 (广州: 广东工业大学)
Wang Y P 2023 M. S. Thesis (Guangzhou: Guangdong University of Technology
[15] 林基艳, 林书玉, 王升, 李耀 2021 中国科学: 物理学 力学 天文学 51 094311
Google Scholar
Lin J Y, Lin S Y, Wang S, Li Y 2021 Sci. Sin. Phys. Mech. Astron. 51 094311
Google Scholar
[16] 李婧 2021 博士学位论文 (太原: 中北大学)
Li J 2021 Ph. D. Dissertation (Taiyuan: North University of China
[17] Wang S, Chen C, Hu L Q, Lin S Y 2022 J. Acoust. Soc. Am. 152 193
Google Scholar
[18] Wang S, Shan J J, Lin S Y 2022 Ultrasonics 120 106640
Google Scholar
[19] 孙向洋, 燕群, 郭翔鹰 2021 人工晶体学报 50 1378
Google Scholar
Sun X Y, Yan Q, Guo X Y 2021 J. Synt. Crys. 50 1378
Google Scholar
[20] 程晓茹 2021 硕士学位论文 (兰州: 兰州大学)
Chen X R 2021 M. S. Thesis (Lanzhou: Lanzhou University
[21] 尉浪浪 2023 硕士学位论文 (太原: 中北大学)
Yu L L 2023 M. S. Thesis (Taiyuan: North University of China
[22] 谭自豪 2021 硕士学位论文 (兰州: 兰州交通大学)
Tan Z H 2021 M. S. Thesis (Lanzhou: Lanzhou Jiaotong University
[23] 张敏, 温晓东, 孙小伟, 刘禧萱, 宋婷, 刘子江 2024 噪声与振动控制 44 96
Google Scholar
Zhang M, Wen X D, Sun X W, Liu X X, Song T, Liu Z J 2024 Nois. Vibr. Cont. 44 96
Google Scholar
[24] Qin Z J, Wang H L, Zhang H Q, Ding Q, Huang X, Zhu J J, Ren R, Sun X L 2023 Trans. Inst. Meas. Cont. 45 674
Google Scholar
[25] Hu F B, Cheng L N, Fan S Y, Xue X F, Liang Y, Lu M H, Wang W 2022 Sens. Actu. A. Phys. 333 113298
Google Scholar
[26] Dryburgh P, Smith J R, Marrow P, Laine S, Sharples S, Clark M, Li W Q 2020 Ultrasonics 108 106171
Google Scholar
[27] Zhang Q Z, Guo J Q, Qin P, Tang G B, Zhang B F, Hashimoto K, Han T, Li P, Wen Y M 2018 Ultrasonics 88 131
Google Scholar
计量
- 文章访问数: 1556
- PDF下载量: 28
- 被引次数: 0








下载: