-
为满足日盲紫外通信等前沿应用对高性能光电探测器的迫切需求, 本文设计并实现了一种基于背入射结构的全透明β-Ga2O3日盲光电探测器. 该器件采用射频磁控溅射技术在双面抛光蓝宝石衬底上外延生长高质量β-Ga2O3薄膜, 并构筑了能够与n型Ga2O3形成高效准欧姆接触的氧化铟锡(ITO)叉指电极. 该结构的核心优势在于利用双抛蓝宝石衬底在深紫外波段的高透过率, 使入射光子绕开紫外区吸收显著的ITO电极, 彻底规避了传统正入射模式中由电极遮蔽效应所导致的光子损失. 得益于此, 器件展现出卓越的光电性能, 如高响应度、高探测率与优异的紫外/可见光抑制比. 在此高性能探测器平台基础上, 进一步发掘了该器件的多功能应用潜力. 基于β-Ga2O3单斜晶系的本征晶格各向异性, 构建偏振探测实验系统, 器件表现出显著的偏振光敏特性. 同时, 成功搭建了非视距(NLOS)紫外通信演示系统, 验证了其在复杂信道下进行高保真信息传输的可行性. 本研究为构建兼具高灵敏度与偏振分辨、非视距通信能力的新一代Ga2O3基光电器件提供了有效的物理思路和实验依据, 在安全通信、偏振成像等领域展现出广阔的应用前景.To meet the urgent demand for high-performance photodetectors in emerging solar-blind ultraviolet communication applications, this study systematically designs and implements a fully transparent β-Ga2O3 solar-blind photodetector based on a back-illumination architecture. The device is fabricated using RF magnetron sputtering to epitaxially grow high-quality β-Ga2O3 films (~300 nm in thickness, ~4.98±0.05 eV in bandgap) on double-polished sapphire substrates, with indium tin oxide (ITO) interdigitated electrodes forming efficient quasi-Ohmic contacts with n-type Ga2O3. The core advantage of this design lies in exploiting the high deep-UV transmittance of double-polished sapphire substrates, enabling incident photons to completely bypass the UV-absorbing ITO electrodes and eliminate photon loss caused by electrode shadowing effects in traditional front-illumination configurations. Consequently, the device demonstrates exceptional optoelectronic performance: a maximum responsivity of 0.46 A/W corresponding to an external quantum efficiency of 222.4%, an outstanding UV/visible rejection ratio of 1.2×104, a minimum noise equivalent power of 1.52 pW/Hz1/2, and a peak specific detectivity of 1.39×1011 Jones, with fast response times of 24 μs (rise) and 1.24 ms (decay). Building on this high-performance detector platform, we further explore its multifunctional application potential by constructing a polarization detection system that utilizes the intrinsic lattice anisotropy of monoclinic β-Ga2O3, and successfully demonstrating a non-line-of-sight (NLOS) UV communication system that validates high-fidelity information transmission in complex scattering channels. This work provides effective physical insights and experimental basis for developing next-generation Ga2O3-based optoelectronic devices with integrated high sensitivity, polarization resolution, and NLOS communication capabilities, showing promising applications in secure communications and polarization imaging.
-
Keywords:
- Ga2O3 /
- solar-blind photodetector /
- polarization detection /
- non-line-of-sight solar-blind UV communication
[1] Guo L, Guo Y N, Wang J X, Wei T B 2021 J. Semicond. 42 081801
Google Scholar
[2] Kalra A, Muazzam U U, Muralidharan R, Raghavan S, Nath D N 2022 J. Appl. Phys. 131 150901
Google Scholar
[3] Xu Z Y, Sadler M 2008 IEEE Commun. Mag. 46 67
Google Scholar
[4] Tan Y F, Qiao Q, Zhao T G, Chang S L, Zhang Z F, Zang J H, Lin C N, Shang Y Y, Yang X, Zhou J W, Yu X, Yu X M, Shan C X 2024 J. Mater. Sci. Technol. 190 200
Google Scholar
[5] Zhang Q Y, Li N, Zhang T, Dong D M, Yang Y T, Wang Y H, Dong Z G, Shen J Y, Zhou T H, Liang Y L, Tang W H, Wu Z P, Zhang Y, Hao J H 2023 Nat. Commun. 14 418
Google Scholar
[6] Zhang H C, Liang F Z, Yang L, Gao Z X, Liang K, Liu S, Ye Y K, Yu H B, Chen W, Kang Y, Sun H D 2024 Adv. Mater. 36 2405874
Google Scholar
[7] Qin Y, Long S B, Dong H, He Q M, Jian G Z, Zhang Y, Hou X H, Tan P J, Zhang Z F, Lv H B, Liu Q, Liu M 2019 Chin. Phys. B 28 018501
Google Scholar
[8] Hu Z G, Cheng Q, Zhang T, Zhang Y X, Tian X S, Zhang Y C, Feng Q, Xing W, Ning J, Zhang C F, Zhang J C, Hao Y 2023 J. Lumin. 255 119596
Google Scholar
[9] Yang H R, Cheng T H, Xin Q, Liu Y Y, Feng H Y, Luo F, Mu W X, Jia Z T, Tao X T 2023 ACS Appl. Mater. Interfaces 15 32561
Google Scholar
[10] Nie Y J, Jiao S J, Yang S, Zhao Y, Gao S Y, Wang D B, Yang X, Li Y F, Fu Z D, Li A M, Wang J Z, Zhao L C 2025 Small 21 2501442
Google Scholar
[11] 况丹, 徐爽, 史大为, 郭建, 喻志农 2023 物理学报 72 038501
Google Scholar
Kuang D, Xu S, Shi D W, Guo J, Yu Z N 2023 Acta Phys. Sin. 72 038501
Google Scholar
[12] Zhang Q Y, Dong D M, Zhang T, Zhou T H, Yang Y T, Tang Y J, Shen J Y, Wang T J, Bian T Y, Zhang F, Luo W, Zhang Y, Wu Z P 2023 ACS Nano 17 24033
Google Scholar
[13] Lu Y, Miranda C, Tang X, Liu Z Y, Khandelwal V, Krishna S, Li X H 2025 Adv. Mater. 37 2406902
Google Scholar
[14] Dong D M, Peng M, Zhang T, et al. 2025 ACS Photon. 12 3653
Google Scholar
[15] Wang Y F, Fu S H, Han Y R, Gao C, Fu R P, Wu Z, Cui W Z, Li B S, Shen A D, Liu Y C 2025 Small 21 e2406989
Google Scholar
[16] Chen W C, Xu X Y, Li M H, Kuang S L, Zhang K H, Cheng Q J 2023 Adv. Opt. Mater. 11 2202847
Google Scholar
[17] Dang X M, Jiao T, Chen P R, Yu H, Han Y, Li Z, Li Y H, Dong X 2024 Chin. J. Lumin. 45 476
Google Scholar
[18] Yan S Q, Jiao T, Ding Z J, et al. 2023 Adv. Electron. Mater. 9 2300297
Google Scholar
[19] Labed M, Park B I, Kim J, Park J H, Min J Y, Hwang H J, Kim J, Rim Y S 2024 ACS Nano 18 6558
Google Scholar
[20] Cui M, Xu Y, Sun X Y, Wang Z P, Gong H H, Chen X H, Hu T C, Zhang Y J, Ren F F, Gu S L, Ye J D, Zhang R 2022 J. Phys. D: Appl. Phys. 55 394003
Google Scholar
[21] Shen G H, Liu Z, Zhang M L, Guo Y F, Tang W H 2023 IEEE Electron Device Lett. 44 1140
Google Scholar
[22] Shen G H, Liu Z, Tan C K, Jiang M M, Li S, Guo Y F, Tang W H 2023 Appl. Phys. Lett. 123 041103
Google Scholar
[23] 董典萌, 汪成, 张清怡, 张涛, 杨永涛, 夏翰驰, 王月晖, 吴真平 2023 物理学报 72 097302
Google Scholar
Dong D M, Wang C, Zhang Q Y, Zhang T, Yang Y T, Xia H C, Wang Y H, Wu Z P 2023 Acta Phys. Sin. 72 097302
Google Scholar
[24] 王露璇, 刘奕彤, 史方圆, 祁纤雯, 沈涵, 宋瑛林, 方宇 2023 物理学报 72 214202
Google Scholar
Wang L X, Liu Y T, Shi F Y, Qi X W, Shen H, Song Y L, Fang Y 2023 Acta Phys. Sin. 72 214202
Google Scholar
[25] Zhang Y Q, Wang Y F, Fu R P, Ma J G, Xu H Y, Li B S, Liu Y C 2022 J. Phys. D: Appl. Phys. 55 324002
Google Scholar
[26] Wang X, Chen Z W, Guo D Y, Zhang X, Wu Z P, Li P G, Tang W H 2018 Opt. Mater. Express 8 2918
Google Scholar
[27] 张裕, 刘瑞文, 张京阳, 焦斌斌, 王如志 2024 物理学报 73 098501
Google Scholar
Zhang Y, Liu R W, Zhang J Y, Jiao B B, Wang R Z 2024 Acta Phys. Sin. 73 098501
Google Scholar
[28] Kananen B E, Giles N C, Halliburton L E, Foundos G K, Chang K B, Stevens K T 2017 J. Appl. Phys. 122 215703
Google Scholar
[29] McCluskey M D 2020 J. Appl. Phys. 127 2002230
Google Scholar
[30] Neal A T, Mou S, Rafique S, et al. 2018 Appl. Phys. Lett. 113 062101
Google Scholar
[31] Liu H W, Zhou S R, Zhang H, Ye L J, Xiong Y Q, Yu P, Li W J, Yang X, Li H L, Kong C Y 2022 J. Phys. D: Appl. Phys. 55 305104
Google Scholar
[32] 许怡红, 范伟航, 王尘 2025 物理学报 74 028104
Google Scholar
Xu Y H, Fan W H, Wang C 2025 Acta Phys. Sin. 74 028104
Google Scholar
[33] Huan Y W, Sun S M, Gu C J, Liu W J, Ding S J, Yu H Y, Xia C T, Zhang D W 2018 Nanoscale Res. Lett. 13 246
Google Scholar
[34] Musztyfaga S M, Gawlinska N K, Socha R, Panek P 2023 Materials 16 1363
Google Scholar
[35] Liu Z, Li L, Zhi Y S, Du L, Fang J P, Li S, Yu J G, Zhang M L, Yang L L, Zhang S H, Guo Y F, Tang W H 2022 Acta Phys. Sin. 71 208501 [刘增, 李磊, 支钰崧, 都灵, 方君鹏, 李山, 余建刚, 张茂林, 杨莉莉, 张少辉, 郭宇锋, 唐为华 2022 物理学报 71 208501]
Google Scholar
Liu Z, Li L, Zhi Y S, Du L, Fang J P, Li S, Yu J G, Zhang M L, Yang L L, Zhang S H, Guo Y F, Tang W H 2022 Acta Phys. Sin. 71 208501
Google Scholar
[36] Zhang Y H, Liang H L, Xing F, Gao Q Q, Feng Y, Sun Y P, Mei Z X 2024 Sci. China Phys. , Mech. Astron. 67 247312
Google Scholar
[37] Zhang G, Wang Z Y, Chen S W, et al. 2025 Laser Photonics Rev. 19 e00255
Google Scholar
[38] Wu C, Zhang G, Jia J H, Hu H Z, Wu F M, Wang S L, Guo D Y 2024 J. Phys. Chem. Lett. 15 3828
Google Scholar
[39] Zhao K, Yang J H, Wang P, et al. 2024 Adv. Mater. 36 e2406559
Google Scholar
[40] Zhong W H, Huang H, Liu Y Q, et al. 2025 Appl. Phys. Rev. 12 011420
Google Scholar
-
图 1 (a) 磁控溅射沉积系统示意图; (b) 在双面抛光Al2O3衬底上沉积的β-Ga2O3薄膜的XRD谱图; (c) β-Ga2O3薄膜表面的AFM形貌图; (d) 薄膜的光学吸收光谱, 插图为(αhν)2与hν的关系图, 用于带隙估算
Fig. 1. (a) Schematic diagram of the magnetron sputtering deposition system; (b) XRD pattern of the β-Ga2O3 thin film deposited on a double-side polished Al2O3 substrate; (c) AFM surface morphology of the β-Ga2O3 film; (d) optical absorption spectrum of the film, with the inset showing the (αhν)2 versus hν plot for bandgap determination.
图 2 (a) 基于Ga2O3的全透明日盲紫外探测器结构示意图; (b) 在正入射与背入射光照模式下的I-V特性曲线; (c) 器件的归一化光谱响应; (d) 在暗态和255 nm紫外光照下的噪声电流比较
Fig. 2. (a) Schematic structure of the fully transparent Ga2O3-based solar-blind UV photodetector; (b) I-V characteristics under front-illumination and back-illumination; (c) normalized spectral responsivity of the device; (d) noise current measured in the dark and under 255 nm UV illumination.
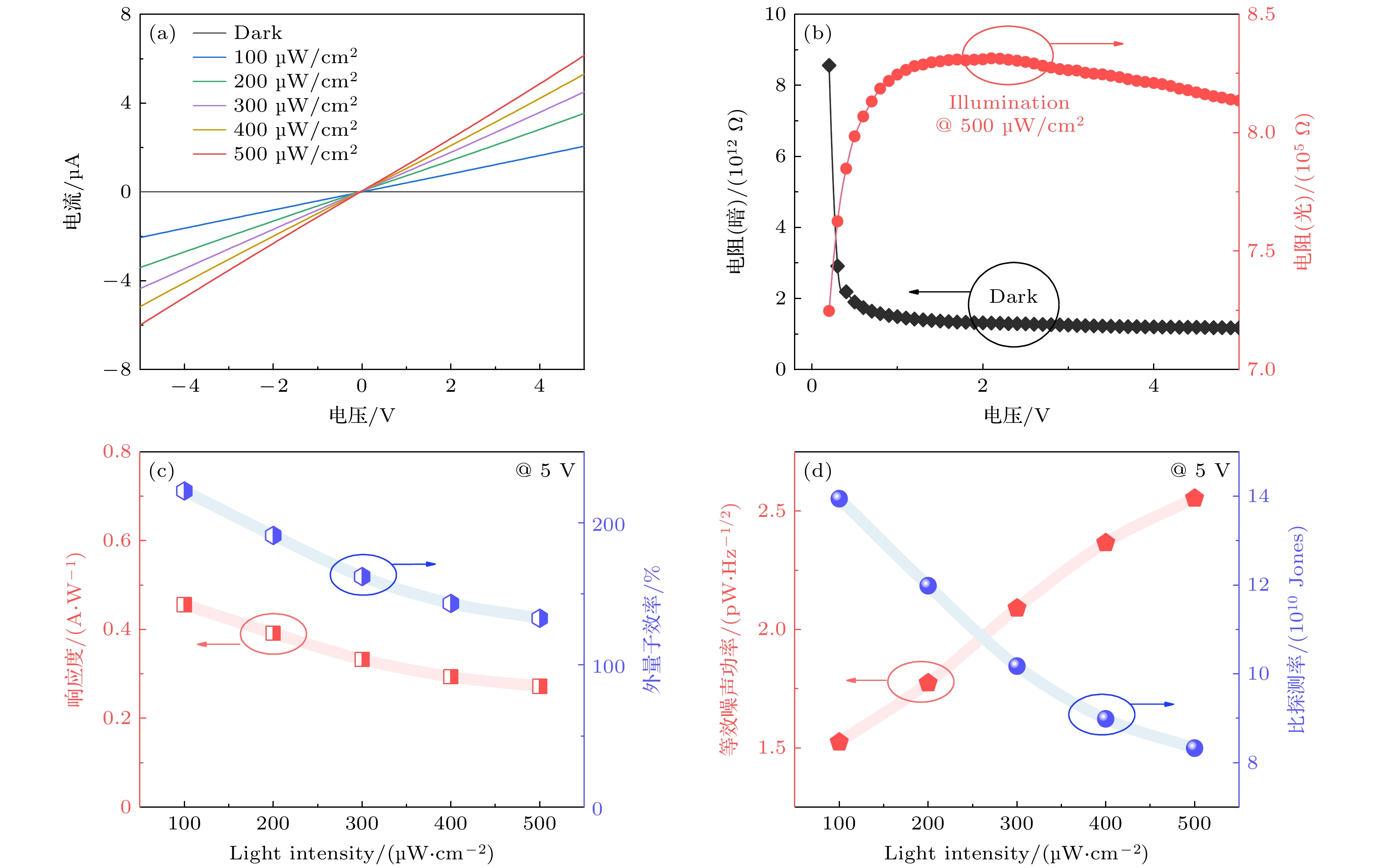
图 3 (a) 在黑暗和254 nm紫外光照条件下, β-Ga2O3全透明日盲探测器的I-V特性曲线; (b) 电阻特性; (c) 响应度、外量子效率与入射光功率强度的对应关系; (d) 等效噪声功率、比探测率与入射光功率强度的对应关系
Fig. 3. (a) I-V characteristics of the β-Ga2O3 transparent solar-blind photodetector in the dark and under 254 nm UV illumination; (b) resistance behavior of the device as a function of applied bias; (c) variation of R and EQE with incident optical power; (d) dependence of NEP and specific D* on incident optical power.
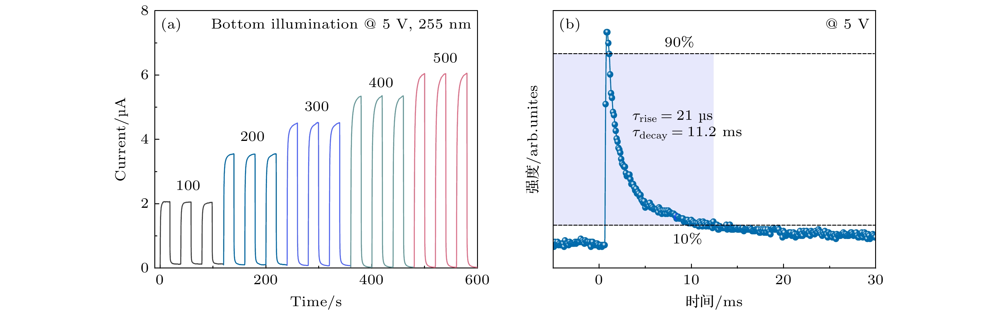
图 4 (a) 在5 V偏压和255 nm紫外光照射下, 探测器背入射光开关响应随光强变化的动态特性; (b) 在5 V电压下, 266 nm脉冲激光激发时的瞬态光响应
Fig. 4. (a) Dynamic back-illumination switching response of the device under 5 V bias and 255 nm UV illumination at varying intensities; (b) transient photoresponse of the Ga2O3 transparent solar-blind photodetector under 266 nm pulsed laser excitation at 5 V bias.
图 5 (a) 正入射模式下Ga2O3全透明日盲探测器的示意图; (b) 背入射模式下的示意图; (c), (d) 器件截面的电场分布仿真图, 其中(c)为正入射模式, (d)为背入射模式(颜色由蓝到红代表电场强度强度由弱到强)
Fig. 5. (a) Schematic of the Ga2O3 transparent photodetector under front-illumination; (b) schematic under back-illumination mode; simulated electric field distribution in the device cross-section for (c) the front-illumination mode and (d) the back-illumination mode, the color scale from blue to red represents the electric field intensity from low to high.
图 7 (a) 深紫外偏振测试系统实物图; (b) 255 nm, 100 μW/cm2紫外光照射下的光电流与偏振角度的极坐标图; (c) 不同光强下, 从0°到360°偏振角的光响应曲线; (d) 偏振比随入射光强的变化关系
Fig. 7. (a) Photograph of the deep-UV polarization measurement setup; (b) polar plot of photocurrent versus polarization angle under 255 nm, 100 μW/cm2 UV illumination; (c) angular-dependent photoresponse from 0° to 360° at various incident power levels; (d) polarization ratio as a function of incident light intensity.
-
[1] Guo L, Guo Y N, Wang J X, Wei T B 2021 J. Semicond. 42 081801
Google Scholar
[2] Kalra A, Muazzam U U, Muralidharan R, Raghavan S, Nath D N 2022 J. Appl. Phys. 131 150901
Google Scholar
[3] Xu Z Y, Sadler M 2008 IEEE Commun. Mag. 46 67
Google Scholar
[4] Tan Y F, Qiao Q, Zhao T G, Chang S L, Zhang Z F, Zang J H, Lin C N, Shang Y Y, Yang X, Zhou J W, Yu X, Yu X M, Shan C X 2024 J. Mater. Sci. Technol. 190 200
Google Scholar
[5] Zhang Q Y, Li N, Zhang T, Dong D M, Yang Y T, Wang Y H, Dong Z G, Shen J Y, Zhou T H, Liang Y L, Tang W H, Wu Z P, Zhang Y, Hao J H 2023 Nat. Commun. 14 418
Google Scholar
[6] Zhang H C, Liang F Z, Yang L, Gao Z X, Liang K, Liu S, Ye Y K, Yu H B, Chen W, Kang Y, Sun H D 2024 Adv. Mater. 36 2405874
Google Scholar
[7] Qin Y, Long S B, Dong H, He Q M, Jian G Z, Zhang Y, Hou X H, Tan P J, Zhang Z F, Lv H B, Liu Q, Liu M 2019 Chin. Phys. B 28 018501
Google Scholar
[8] Hu Z G, Cheng Q, Zhang T, Zhang Y X, Tian X S, Zhang Y C, Feng Q, Xing W, Ning J, Zhang C F, Zhang J C, Hao Y 2023 J. Lumin. 255 119596
Google Scholar
[9] Yang H R, Cheng T H, Xin Q, Liu Y Y, Feng H Y, Luo F, Mu W X, Jia Z T, Tao X T 2023 ACS Appl. Mater. Interfaces 15 32561
Google Scholar
[10] Nie Y J, Jiao S J, Yang S, Zhao Y, Gao S Y, Wang D B, Yang X, Li Y F, Fu Z D, Li A M, Wang J Z, Zhao L C 2025 Small 21 2501442
Google Scholar
[11] 况丹, 徐爽, 史大为, 郭建, 喻志农 2023 物理学报 72 038501
Google Scholar
Kuang D, Xu S, Shi D W, Guo J, Yu Z N 2023 Acta Phys. Sin. 72 038501
Google Scholar
[12] Zhang Q Y, Dong D M, Zhang T, Zhou T H, Yang Y T, Tang Y J, Shen J Y, Wang T J, Bian T Y, Zhang F, Luo W, Zhang Y, Wu Z P 2023 ACS Nano 17 24033
Google Scholar
[13] Lu Y, Miranda C, Tang X, Liu Z Y, Khandelwal V, Krishna S, Li X H 2025 Adv. Mater. 37 2406902
Google Scholar
[14] Dong D M, Peng M, Zhang T, et al. 2025 ACS Photon. 12 3653
Google Scholar
[15] Wang Y F, Fu S H, Han Y R, Gao C, Fu R P, Wu Z, Cui W Z, Li B S, Shen A D, Liu Y C 2025 Small 21 e2406989
Google Scholar
[16] Chen W C, Xu X Y, Li M H, Kuang S L, Zhang K H, Cheng Q J 2023 Adv. Opt. Mater. 11 2202847
Google Scholar
[17] Dang X M, Jiao T, Chen P R, Yu H, Han Y, Li Z, Li Y H, Dong X 2024 Chin. J. Lumin. 45 476
Google Scholar
[18] Yan S Q, Jiao T, Ding Z J, et al. 2023 Adv. Electron. Mater. 9 2300297
Google Scholar
[19] Labed M, Park B I, Kim J, Park J H, Min J Y, Hwang H J, Kim J, Rim Y S 2024 ACS Nano 18 6558
Google Scholar
[20] Cui M, Xu Y, Sun X Y, Wang Z P, Gong H H, Chen X H, Hu T C, Zhang Y J, Ren F F, Gu S L, Ye J D, Zhang R 2022 J. Phys. D: Appl. Phys. 55 394003
Google Scholar
[21] Shen G H, Liu Z, Zhang M L, Guo Y F, Tang W H 2023 IEEE Electron Device Lett. 44 1140
Google Scholar
[22] Shen G H, Liu Z, Tan C K, Jiang M M, Li S, Guo Y F, Tang W H 2023 Appl. Phys. Lett. 123 041103
Google Scholar
[23] 董典萌, 汪成, 张清怡, 张涛, 杨永涛, 夏翰驰, 王月晖, 吴真平 2023 物理学报 72 097302
Google Scholar
Dong D M, Wang C, Zhang Q Y, Zhang T, Yang Y T, Xia H C, Wang Y H, Wu Z P 2023 Acta Phys. Sin. 72 097302
Google Scholar
[24] 王露璇, 刘奕彤, 史方圆, 祁纤雯, 沈涵, 宋瑛林, 方宇 2023 物理学报 72 214202
Google Scholar
Wang L X, Liu Y T, Shi F Y, Qi X W, Shen H, Song Y L, Fang Y 2023 Acta Phys. Sin. 72 214202
Google Scholar
[25] Zhang Y Q, Wang Y F, Fu R P, Ma J G, Xu H Y, Li B S, Liu Y C 2022 J. Phys. D: Appl. Phys. 55 324002
Google Scholar
[26] Wang X, Chen Z W, Guo D Y, Zhang X, Wu Z P, Li P G, Tang W H 2018 Opt. Mater. Express 8 2918
Google Scholar
[27] 张裕, 刘瑞文, 张京阳, 焦斌斌, 王如志 2024 物理学报 73 098501
Google Scholar
Zhang Y, Liu R W, Zhang J Y, Jiao B B, Wang R Z 2024 Acta Phys. Sin. 73 098501
Google Scholar
[28] Kananen B E, Giles N C, Halliburton L E, Foundos G K, Chang K B, Stevens K T 2017 J. Appl. Phys. 122 215703
Google Scholar
[29] McCluskey M D 2020 J. Appl. Phys. 127 2002230
Google Scholar
[30] Neal A T, Mou S, Rafique S, et al. 2018 Appl. Phys. Lett. 113 062101
Google Scholar
[31] Liu H W, Zhou S R, Zhang H, Ye L J, Xiong Y Q, Yu P, Li W J, Yang X, Li H L, Kong C Y 2022 J. Phys. D: Appl. Phys. 55 305104
Google Scholar
[32] 许怡红, 范伟航, 王尘 2025 物理学报 74 028104
Google Scholar
Xu Y H, Fan W H, Wang C 2025 Acta Phys. Sin. 74 028104
Google Scholar
[33] Huan Y W, Sun S M, Gu C J, Liu W J, Ding S J, Yu H Y, Xia C T, Zhang D W 2018 Nanoscale Res. Lett. 13 246
Google Scholar
[34] Musztyfaga S M, Gawlinska N K, Socha R, Panek P 2023 Materials 16 1363
Google Scholar
[35] Liu Z, Li L, Zhi Y S, Du L, Fang J P, Li S, Yu J G, Zhang M L, Yang L L, Zhang S H, Guo Y F, Tang W H 2022 Acta Phys. Sin. 71 208501 [刘增, 李磊, 支钰崧, 都灵, 方君鹏, 李山, 余建刚, 张茂林, 杨莉莉, 张少辉, 郭宇锋, 唐为华 2022 物理学报 71 208501]
Google Scholar
Liu Z, Li L, Zhi Y S, Du L, Fang J P, Li S, Yu J G, Zhang M L, Yang L L, Zhang S H, Guo Y F, Tang W H 2022 Acta Phys. Sin. 71 208501
Google Scholar
[36] Zhang Y H, Liang H L, Xing F, Gao Q Q, Feng Y, Sun Y P, Mei Z X 2024 Sci. China Phys. , Mech. Astron. 67 247312
Google Scholar
[37] Zhang G, Wang Z Y, Chen S W, et al. 2025 Laser Photonics Rev. 19 e00255
Google Scholar
[38] Wu C, Zhang G, Jia J H, Hu H Z, Wu F M, Wang S L, Guo D Y 2024 J. Phys. Chem. Lett. 15 3828
Google Scholar
[39] Zhao K, Yang J H, Wang P, et al. 2024 Adv. Mater. 36 e2406559
Google Scholar
[40] Zhong W H, Huang H, Liu Y Q, et al. 2025 Appl. Phys. Rev. 12 011420
Google Scholar
计量
- 文章访问数: 1079
- PDF下载量: 27
- 被引次数: 0








下载:
