搜索

x

留言板

尊敬的读者、作者、审稿人, 关于本刊的投稿、审稿、编辑和出版的任何问题, 您可以本页添加留言。我们将尽快给您答复。谢谢您的支持!

姓名
邮箱
手机号码
标题
留言内容
验证码

机器学习赋能电子结构计算: 进展、挑战与展望

李雨婷 杨炯 奚晋扬

引用本文:
Citation:

机器学习赋能电子结构计算: 进展、挑战与展望

李雨婷, 杨炯, 奚晋扬
cstr: 32037.14.aps.75.20251253

Machine learning empowered electronic structure calculations: Progress, challenges, and prospects

LI Yuting, YANG Jiong, XI Jinyang
cstr: 32037.14.aps.75.20251253
Article Text (iFLYTEK Translation)
PDF
HTML
导出引用
在线预览
  • 密度泛函理论在当代电子结构计算中占据主流地位, 然而其计算复杂度随体系规模呈立方增长, 制约了在复杂体系或高精度计算中的应用. 近年来, 机器学习与第一性原理计算的结合, 为这一问题提供了新的解决方案. 本文对机器学习加速电子结构计算的方法进行了综述, 重点讨论现有研究在加速材料电子结构计算中所取得的重要进展. 此外, 对未来研究中基于机器学习技术进一步克服电子结构计算的精度和效率瓶颈、扩展适用范围、实现在大尺度材料体系中计算模拟与实验测量的深度融合做了展望.
    Density functional theory (DFT) serves as the primary method of calculating electronic structures in physics, chemistry, and materials science. However, its practical application is fundamentally limited by a computational cost that scales cubically with system size, making high-precision studies of complex or large-scale materials prohibitively expensive. This review addresses the key challenge by examining the rapidly evolving paradigm of integrating machine learning (ML) with first-principles calculations to significantly accelerate and expand electronic structure prediction. Our primary objective is to provide a comprehensive and critical overview of the methodological advances, physical outcomes, and transformative potential of this interdisciplinary field.The core methodological progress involves a shift from black-box property predictors to symmetry-preserving, transferable models that learn the fundamental Hamiltonian—the central quantity from which diverse electronic properties are derived. We detail this evolution, beginning with pioneering applications in molecular systems by using graph neural networks (e.g., SchNOrb, DimeNet) to predict energies, wavefunctions, and Hamiltonian matrices with meV-level accuracy. This review then focuses on the critical extension to periodic solids, where maintaining symmetries such as E(3)-equivariance and handling vast configurational spaces are of utmost importance. We systematically analyze three leading model families that define the state-of-the-art: the DeepH series, which uses local coordinate message passing and E(3)-equivariant networks to achieve sub-meV accuracy and linear scaling; the HamGNN framework, built on rigorous equivariant tensor decomposition, which excels in modeling systems with spin-orbit coupling and charged defects; and the DeePTB approach, which leverages deep learning for tight-binding Hamiltonian parameterization, enabling quantum-accurate simulations of millions of atoms.These methods yield significant physical results and computational breakthroughs. Key outcomes include: 1) unprecedented accuracy and speed. Models consistently achieve Hamiltonian prediction mean absolute errors (MAE) below 1 meV (e.g., DeepH-E3: ~0.4 meV in graphene; HamGNN: ~1.5 meV in QM9 molecules), along with computational speedups of 3 to 5 orders of magnitude compared with traditional DFT. 2) Scale bridging. Successful applications now range from small molecules to defect-containing supercells with over 10000 atoms (e.g., HamGNN-Q on a 13824-atom GaAs defect) and even to millions of atoms for optoelectronic property simulations (DeePTB). 3) Expanded application scope. This review highlights how these ML-accelerated tools are revolutionizing research in previously intractable areas: predicting spectroscopic properties of molecules (e.g., DetaNet for NMR/UV-Vis spectra), elucidating electronic structures of topological materials and magnetic moiré systems, computing electron-phonon coupling and carrier mobility with DFT-level accuracy but far greater efficiency (HamEPC framework), and enabling high-throughput screening for materials design.In conclusion, ML-accelerated electronic structure calculation has matured into a powerful paradigm, transitioning from a proof-of-concept to a tool capable of delivering DFT-fidelity results at dramatically reduced cost for systems of realistic scale and complexity. However, challenges remain, including model interpretability (“black-box” nature), transferability to unseen elements, and seamless integration with existing plane-wave DFT databases. Future directions include physics-constrained unsupervised learning (e.g., DeepH-zero), developing more universal and element-agnostic architectures, and creating closed-loop, artificial intelligence (AI)-driven discovery pipelines. By overcoming current limitations, these methods have the potential to fundamentally change the field of materials research, accelerating the process from atomistic simulation to rational material design and discovery.
      通信作者: 杨炯, jiongy@t.shu.edu.cn ; 奚晋扬, jinyangxi@t.shu.edu.cn
    • 基金项目: 国家重点研发计划(批准号: 2024YFF0505900)和国家自然科学基金(批准号: 52172216, 92163212)资助的课题.
      Corresponding author: YANG Jiong, jiongy@t.shu.edu.cn ; XI Jinyang, jinyangxi@t.shu.edu.cn
    • Funds: Project supported by the National Key Research and Development Program of China (Grant No. 2024YFF0505900) and the National Natural Science Foundation of China (Grant Nos. 52172216, 92163212).
    [1]

    Hohenberg P, Kohn W 1964 Phys. Rev. 136 B864Google Scholar

    [2]

    Kohn W, Sham L J 1965 Phys. Rev. 140 A1133Google Scholar

    [3]

    Medvedev M G, Bushmarinov I S, Sun J W, Perdew J P, Lyssenko K A 2017 Science 355 49Google Scholar

    [4]

    Verma P, Truhlar D G 2020 Trends. Chem. 2 302Google Scholar

    [5]

    Bloch F 1929 Zeitschrift Phys. 52 555Google Scholar

    [6]

    Ihm J, Zunger A, Cohen M L 1979 J. Phys. C: Solid State Phys. 12 4409Google Scholar

    [7]

    Tokura S, Tsuneda T, Hirao K 2006 J. Theor. Comput. Chem. 05 925Google Scholar

    [8]

    Hedin L 1965 Phys. Rev. 139 A796

    [9]

    Aryasetiawan F, Gunnarsson O 1998 Reports Prog. Phys. 61 237Google Scholar

    [10]

    Kotliar G, Savrasov S Y, Haule K, Oudovenko V S, Parcollet O and Marianetti C A 2006 Rev. Mod. Phys. 78 865

    [11]

    Paul A, Birol T 2019 Annu. Rev. Mater. Res. 49 31Google Scholar

    [12]

    Hu C, Michaud-Rioux V, Kong X, Guo H 2017 Phys. Rev. Mater. 1 061003Google Scholar

    [13]

    Goedecker S 1999 Rev. Mod. Phys. 71 1085Google Scholar

    [14]

    Rumelhart D E, Hinton G E, Williams R J 1986 Nature 323 533

    [15]

    Raff L M, Malshe M, Hagan M, Doughan D I, Rockley M G, Komanduri R 2005 J. Chem. Phys. 122 084104Google Scholar

    [16]

    Lorenz S, Scheffler M, Gross A 2006 Phys. Rev. B 73 115431Google Scholar

    [17]

    Hu W, Ye S, Zhang Y J, Li T, Zhang G, Luo Y, Mukamel S, Jiang J 2019 J. Phys. Chem. Lett. 10 6026Google Scholar

    [18]

    Kazan H, Ray D, Chan E T, Hughes T R, Morris Q 2010 PLOS. Comput. Biol. 6 1000832Google Scholar

    [19]

    Soares T A, Nunes-Alves A, Mazzolari A, et al. 2022 J. Chem. Inf. Model. 62 S317Google Scholar

    [20]

    de Pablo J J, Jackson N E, Webb M A, Chen L Q, Moore J E, Morgan D, Jacobs R, Pollock T, Schlom D G, Toberer E S, Analytis J, Dabo I, DeLongchamp D M, Fiete G A, Grason G M, Hautier G, Mo Y, Rajan K, Reed E J, Rodriguez E, Stevanovic V, Suntivich J, Thornton K, Zhao J C 2019 npj Comput. Mater. 5 41Google Scholar

    [21]

    Simm G N, Vaucher A C, Reiher M 2019 J. Phys. Chem. A 123 385Google Scholar

    [22]

    Hegde G, Bowen R C 2017 Sci. Rep. 7 42669Google Scholar

    [23]

    Hastie T, Tibshirani R, Friedman J 2009 The Elements of Statistical Learning: Data Mining, Inference, and Prediction (2nd Ed.) (New York: Springer) p167

    [24]

    Bartók A P, Payne M C, Kondor R, Csányi G 2010 Phys. Rev. Lett. 104 136403Google Scholar

    [25]

    Scarselli F, Gori M, Tsoi A C, Hagenbuchner M, Monfardini G 2009 IEEE Trans. Neural Netw. 20 61Google Scholar

    [26]

    Schütt K T, Arbabzadah F, Chmiela S, Müller K R, Tkatchenko A 2017 Nat. Commun. 8 13890Google Scholar

    [27]

    Wu Z, Ramsundar B, Feinberg E N, Gomes J, Geniesse C, Pappu A S, Leswing K, Pande V 2018 Chem Sci. 9 513Google Scholar

    [28]

    Schütt K T, Gastegger M, Tkatchenko A, Müller K-R, Maurer R J 2019 Nat. Commun. 10 502Google Scholar

    [29]

    Gasteiger J, Groß J, Günnemann S 2020 Proceedings of the 15th International Conference on Learning Representations Addis Ababa, 2020

    [30]

    Ramakrishnan R, Dral P O, Rupp M, von Lilienfeld O A 2014 Quantum Chemistry Structures and Properties of 134 kilo molecules Sci. Data 1 140022

    [31]

    Bhat H S, Ranka K, Isborn C M 2020 Int. J. Dyn. Control 8 1089Google Scholar

    [32]

    Unke O T, Bogojeski M, Gastegger M, Geiger M, Smidt T, Müller K R 2021 Proceedings of the 35th International Conference on Neural Information Processing Systems Canada December 6–14 2021 p14434

    [33]

    Westermayr J, Gastegger M, Marquetand P 2020 J. Phys. Chem. Lett. 11 3828Google Scholar

    [34]

    Nigam J, Willatt M J, Ceriotti M 2022 J. Chem. Phys. 156 014115Google Scholar

    [35]

    Cignoni E, Cupellini L, Mennucci B 2023 J. Chem. Theor. Comput. 19 965Google Scholar

    [36]

    Shao X, Paetow L, Tuckerman M E, Pavanello M 2023 Nat. Commun. 14 6281Google Scholar

    [37]

    Zhang H, Liu S, You J C, Liu C, Lu Z H, Wang T, Zheng N N, Shao B 2024 Nat. Comput. Sci. 4 210

    [38]

    Ying C, Cai T, Luo S, Zheng S, Ke G, He D, Shen Y, Liu T Y 2021 35th Conference on Neural Information Processing Systems (NeurIPS 2021) Online December 6-14, 2021 p28877

    [39]

    Tang H, Xiao B, He W, Subasic P, Harutyunyan A R, Wang Y, Liu F, Xu H, Li J 2025 Nat. Comput. Sci. 5 144Google Scholar

    [40]

    Raghavachari K, Trucks G W, Pople J A, Head-Gordon M 1989 Chem. Phys. Lett. 157 479Google Scholar

    [41]

    Venturella C, Li J, Hillenbrand C, Peralta X L, Liu J, Zhu T 2025 Nat. Comput. Sci. 5 502Google Scholar

    [42]

    Salpeter E E, Bethe H A 1951 Phys. Rev. 84 1232Google Scholar

    [43]

    李俊清, 何天敬, 王俭, 刘凡镇 1990 物质结构导论(合肥: 中国科学技术大学出版社)第112页Google Scholar

    Li J Q, He T J, Wang J, Liu F Z 1990 Introduction to the Structure of Matter (Hefei: China University of Science and Technology Press) p112Google Scholar

    [44]

    Li H, Wang Z, Zou N, Ye M, Xu R, Gong X, Duan W, Xu Y 2022 Nat. Comput. Sci. 2 367Google Scholar

    [45]

    Li H, Tang Z, Gong X, Zou N, Duan W, Xu Y 2023 Nat. Comput. Sci. 3 321Google Scholar

    [46]

    Gong X, Li H, Zou N, Xu R, Duan W, Xu Y 2023 Nat. Commun. 14 2848

    [47]

    Wang Y, Li Y, Tang Z, Li H, Yuan Z, Tao H, Zou N, Bao T, Liang X, Chen Z, Xu S, Bian C, Xu Z, Wang C, Si C, Duan W, Xu Y 2024 Sci. Bull. 69 2514Google Scholar

    [48]

    Wang Y, Li H, Tang Z, Tao H, Wang Y, Yuan Z, Chen Z, Duan W, Xu Y 2024 arXiv:2401.17015v1 [physics.comp-ph]

    [49]

    Li Y, Tang Z, Chen Z, Sun M, Zhao B, Li H, Tao H, Yuan Z, Duan W, Xu Y 2024 Phys. Rev. Lett. 133 076401Google Scholar

    [50]

    Zhong Y, Yu H, Su M, Gong X, Xiang H 2023 npj Comput. Mater. 9 182Google Scholar

    [51]

    Zhong Y, Yu H, Yang J, Guo X, Xiang H, Gong X 2024 Chin. Phys. Lett. 41 077103Google Scholar

    [52]

    Zhong Y, Liu S, Zhang B, Tao Z, Sun Y, Chu W, Gong X G, Yang J H, Xiang H 2024 Nat. Comput. Sci. 4 615Google Scholar

    [53]

    Ma Y X, Yu H Y, Zhong Y, Chen S Y, Gong X G, Xiang H J 2025 Appl. Phys. Lett. 126 044103Google Scholar

    [54]

    Gu Q, Zhouyin Z, Pandey S K, Zhang P, Zhang L, E W N 2024 Nat. Commun. 15 6772Google Scholar

    [55]

    Zhouyin Z H, Gan Z, Pandey S K, et al. 2025 The Thirteenth International Conference on Learning Representations(ICLR) Vienna, Austria, Apr. 24–28 2025Google Scholar

    [56]

    Gilmer J, Schoenholz S S, Riley P F, Vinyals O, Dahl G E2017 Proceedings of the 34th International Conference on Machine Learning (ICML) Sydney, Australia, August 6–11, 2017 p1263

    [57]

    Kohn W 1996 Phys. Rev. Lett. 76 3168Google Scholar

    [58]

    Taco S C, Welling M 2016 Proceedings of the 33rd International Conference on Machine Learning USA June 20–22, 2016 p2990

    [59]

    Tung W K 1985 Group Theory in Physics (Singapore: World Scientific Publishing) p205

    [60]

    Tokura Y, Yasuda K, Tsukazaki A 2019 Nat. Rev. Phys. 1 126Google Scholar

    [61]

    Thomas N, Smidt T, Kearnes S, Yang L, Li L, Kohlhoff K, Riley P 2019 arXiv:1802.08219v3 [cs.LG]

    [62]

    Griffiths D J 2005 Introduction to Quantum Mechanics (2nd ed.) (Upper Saddle River: Pearson Prentice Hall) p186

    [63]

    Vaswani A, Shazeer N, Parmar N, Uszkoreit J, Jones L, Gomez A N, Kaiser Ł, Polosukhin I 2017 Neural Information Processing Systems (NeurIPS) USA December 4–9, 2017 p6000

    [64]

    Jain A, Ong S P, Hautier G, Chen W, Richards W D, Dacek S, Cholia S, Gunter D, Skinner D, Ceder G, Persson K A 2013 APL Mater. 1 011002Google Scholar

    [65]

    Huber S P, Zoupanos S, Uhrin M, Talirz L, Kahle L, Häuselmann R, Gresch D, Müller T, Yakutovich A V, Andersen C W, Ramirez F F, Adorf C S, Gargiulo F, Kumbhar S, Passaro E, Johnston C, Merkys A, Cepellotti A, Mounet N, Marzari N, Kozinsky B, Pizzi G 2020 Sci. Data. 7 300Google Scholar

    [66]

    Perdew J P, Burke K, Ernzerhof M 1996 Phys. Rev. Lett. 77 3865Google Scholar

    [67]

    Anderson B M, Hy T S, Kondor R 2019 Neural Information Processing Systems (NeurIPS) Canda December 5–14, 2019 p14537

    [68]

    Gu Q Q, Zhang L F, Feng J 2022 Sci. Bull. 67 29Google Scholar

    [69]

    Yuan S, De Raedt H, Katsnelson M I 2010 Phys. Rev. B 82 115448Google Scholar

    [70]

    Zhang Z, Wang J, Zhang Y, Xu J, Long R 2022 J. Phys. Chem. Lett. 13 10734Google Scholar

    [71]

    Wang B, Winkler L, Wu Y, Müller K R, Sauceda H E, Prezhdo O V 2023 J. Phys. Chem. Lett. 14 7092Google Scholar

    [72]

    Fu L, Wu Y, Shang H, Yang J 2024 J. Chem. Theor. Comput. 20 6218Google Scholar

    [73]

    Shang H, Guo C, Wu Y, Li Z, Yang J 2023 arXiv: 2307.09343 [quant-ph]

    [74]

    Slater J C 1929 Phys. Rev. 34 1293Google Scholar

    [75]

    Cho Y, Choi G, Ham G, Shin M, Kim D 2024 Mach. Learn. : Sci. Technol. 5 035060Google Scholar

    [76]

    Chapelle O, Schölkopf B, Zien A 2009 Semi-Supervised Learning (Cambridge: MIT Press

    [77]

    Cao B, Dong J, Wang Z, Wang L 2025 J. Phys. Chem. Lett. 16 4907Google Scholar

    [78]

    Zhang L, Han J, Wang H, Car R, E W 2018 Phys. Rev. Lett. 120 143001Google Scholar

    [79]

    Behler J, Parrinello M 2007 Phys. Rev. Lett. 98 146401Google Scholar

    [80]

    Zou Z, Zhang Y, Liang L, Wei M, Leng J, Jiang J, Luo Y, Hu W 2023 Nat. Comput. Sci. 3 957Google Scholar

    [81]

    Freysoldt C, Neugebauer J, Van de Walle C G 2009 Phys. Rev. Lett. 102 016402Google Scholar

    [82]

    Van de Walle C G, Neugebauer J 2004 J. Appl. Phys. 95 3851Google Scholar

    [83]

    Batatia I, Kovács D P, Simm G N C, Ortner C, Csányi G 2022 36th Conference on Neural Information Processing Systems (NeurIPS 2022) USA November 28–December 9, 2022 p11423

    [84]

    Klawohn S, Darby J P, Kermode J R, Csányi G, Caro M A, Bartók A P 2023 J. Chem. Phys. 159 174108Google Scholar

    [85]

    Merchant A, Batzner S, Schoenholz S S, Aykol M, Cheon G, Cubuk E D 2023 Nature 624 80Google Scholar

    [86]

    Mott N F 1949 Proc. Phys. Soc. A 62 416Google Scholar

    [87]

    Aspnes D E, Studna A A 1983 Phys. Rev. B 27 985Google Scholar

    [88]

    Jones D, Kim , Zhang X, Zemla A, Stevenson G, Bennett W F D, Kirshner D, Wong S E, Lightstone F C, Allen J E 2021 J. Chem. Inf. Model. 61 565Google Scholar

    [89]

    Musil F, Grisafi A, Bartók A P, Ortner C, Csányi G, Ceriotti M 2021 Chem. Rev. 121 9759Google Scholar

    [90]

    Raissi M, Perdikaris P, Karniadakis G E 2019 J. Comput. Phys. 378 686Google Scholar

    [91]

    何易城, 李滕辉, 甘子熙, 陈怡锦, 王林军 2025 中国科学: 化学 1751 1751Google Scholar

    He Y C, Li T H, Gan Z X, Chen Y J, Wang L J 2025 Sci. Sin. Chim. 1751 1751Google Scholar

    [92]

    Takamoto S, Shinagawa C, Motoki D, Nakago K, Li W, Kurata I, Watanabe T, Yayama Y, Iriguchi H, Asano Y, Onodera T, Ishii T, Kudo T, Ono H, Sawada R, Ishitani R, Ong M, Yamaguchi T, Kataoka T, Hayashi A, Charoenphakdee N, Ibuka T 2022 Nat. Commun. 13 2991Google Scholar

    [93]

    Bartel C J, Trewartha A, Wang Q, Dunn A, Jain A, Ceder G 2020 Npj. Comput. Mater. 55 1751Google Scholar

    [94]

    Gong X, Louie S G, Duan W, Xu Y 2024 Nat. Comput. Sci. 4 752Google Scholar

    [95]

    Smith J S, Nebgen B, Lubbers N, Isayev O, Roitberg A E 2018 J. Chem. Phys. 148 241733Google Scholar

    [96]

    Wang H, Fu T, Du Y, Gao W, Huang K, Liu Z, Chandak P, Liu S, Van Katwyk P, Deac A, Anandkumar A, Bergen K, Gomes C P, Ho S, Kohli P, Lasenby J, Leskovec J, Liu T Y, Manrai A, Marks D, Ramsundar B, Song L, Sun J, Tang J, Veličković P, Welling M, Zhang L, Coley C W, Bengio Y, Zitnik M 2023 Nature 620 47Google Scholar

    [97]

    Gao L, Lin J, Wang L, Du L 2024 Acc. Mater. Res. 5 571Google Scholar

    [98]

    Zeni C, Pinsler R, Zügner D, Fowler A, Horton M, Fu X, Wang Z, Shysheya A, Crabbé J, Ueda S, Sordillo R, Sun L, Smith J, Nguyen B, Schulz H, Lewis S, Huang C W, Lu Z, Zhou Y, Yang H, Hao H, Li J, Yang C, Li W, Tomioka R, Xie T 2025 Nature 639 624Google Scholar

  • 图 1  ML加速电子结构计算模型在分子领域发展时间轴(2017—2025), 来源于文献[22,2629,3141]并整理. 图中E为轨道能量, H为哈密顿矩阵, MAE为平均绝对误差, GNN为图神经网络, DTNNs为深度张量神经网络, GPR为高斯过程回归, HOMO/LUMO为最高占据分子轨道/最低未占据分子轨道, LHC为光捕获复合物, KRR为核岭回归, GTO 为高斯轨道

    Fig. 1.  Development timeline for machine learning-accelerated electronic structure calculation models (2017–2025), with sources compiled from Ref. [22,2629,3141]. In the figure, E, orbital energy; H, Hamiltonian matrix; MAE, mean absolute error; GNN, graph neural network; DTNNs, deep tensor neural networks; GPR, Gaussian process regression; HOMO/LUMO, highest occupied molecular orbital/lowest unoccupied molecular orbital; LHC, light-harvesting complex; KRR, kernel ridge regression; GTO, Gaussian orbital.

    图 2  ML加速固体材料电子结构计算的三大模型发展历程图(2022—2025), 来源根据徐勇(2022—2025)、向红军(2023—2025)、顾强强(2024, 2025)等文献[4455]整理

    Fig. 2.  Timeline (2022–2025) of machine-learning-accelerated electronic-structure models in solid systems, compiled from the works of Xu Yong (2022–2025), Xiang Hongjun (2023–2025), Gu Qiangqiang (2024, 2025) and Refs. [4455].

    图 3  DeepH深度电子结构预测模型架构 (a) 通用信息处理框架, 展示了从结构输入→特征嵌入→核心网络(消息传递)→哈密顿矩阵→性质输出的完整流程; (b) DeepH架构, 基于局部坐标的LCMP消息传递; (c) xDeepH架构, 同时处理晶体结构和磁结构的双通道扩展网络; (d) DeepH-E3架构, 基于E3等变图神经网络; (e) DeepH-2神经网络架构图; (f) DeepH-zero神经网络架构和实现; (g) 发展历程与技术突破, 来源根据徐勇(2022—2025)等文献[4449]整理

    Fig. 3.  Architecture evolution of deep electronic structure prediction models of DeepH: (a) Universal framework: structure → feature embedding → message passing → Hamiltonian matrix → property output; (b) DeepH: LCNN-based LCMP message passing; (c) XDeepH: dual-input extension (crystal + magnetic structures); (d) neural network architecture of DeepH-E3; (e) network architecture of DeepH-2; (f) architecture and implementation of neural-network DFT of DeepH-zero; (g) development history and technological breakthroughs; compiled from the works of Xu Yong (2022–2025) [4449].

    图 4  HamGNN深度电子结构预测模型架构对比 (a) HamGNN和HamGNN-Q通用E(3)等变架构框架[51]; (b) HamGNN的通用电子结构预测架构[51]; (c) HamGNN-Q带电缺陷预测专用架构[54]

    Fig. 4.  Architecture evolution of deep electronic structure prediction models of HamGNN: (a) Common E(3)-equivariant framework of HamGNN and HanGNN-Q[51]; (b) general electronic structure prediction architecture of HamGNN[51]; (c) charged defect prediction specialist of HamGNN-Q[54].

    图 5  DeepTB和DeePTB方法的架构 (a) DeePTB方法的架构[55]; (b) DeePTB-E3方法的严格局域化等变(SLEM)架构[56]

    Fig. 5.  Architecture of the DeePTB and DeePTB-E3 method: (a) General architecture of DeePTB[55]; (b) the strictly localized equivariant message-passing architecture of DeePTB-E3[56].

    图 6  ML加速电子结构计算在预测分子光谱中的应用实例[80] (a) 从左到右依次为环己酮、2-甲基吡嗪、庚–3, 5-二炔–2-酮、苯胺和5-甲氧基–1, 3-噁唑–2-甲醛的分子结构示意图; (b) 对比DetaNet预测的紫外-可见光谱(红色)与图(a)所示分子的参考数据(蓝色)DetaNet预测的吸收强度误差随波长的变化; (c) 对比了DetaNet预测的13CNMR谱与图(a)所示分子的参考数据; (d) 对比了DetaNet预测的1HNMR谱与图(a)所示分子的参考数据

    Fig. 6.  Application examples of machine learning accelerating electronic structure computation in predicting molecular spectroscopy, reprinted from[80]: (a) Left to right, schematic structures of cyclohexanone, 2-methylpyrazine, hepta3, 5-diyn-2-one, aniline and 5-methoxy-1, 3-oxazole-2-carbaldehyde; (b) comparison of the DetaNet-predicted (red) UV-Vis spectra with reference data (blue) for the molecules shown in panel (a); (c) comparison of the DetaNet-predicted 13C NMR spectra with reference data for the molecules shown in panel (a); (d) comparison of the DetaNetpredicted 1HNMR spectra with reference data for the molecules shown in panel (a).

    图 7  ML加速电子结构方法预测缺陷体系的示例 (a) HamGNN模型预测的硅位错的能带结构和电荷密度[50]; (b) HamGNN-Q模型预测砷化镓带电缺陷结构的能带结构和电荷密度[53]

    Fig. 7.  Examples of defect system predictions using machine learning-accelerated electronic structure methods: (a) Band structure and charge density of a silicon dislocation predicted by using the HamGNN model[50]; (b) band structure and charge density of a charged defect structure in gallium arsenide (GaAs) by using the HamGNN-Q model[53].

    图 8  ML加速电子结构计算应用于量子材料领域内的实例 (a) 采用DeepH-E3模型预测转角为1.08°, 11164个原子数的双层转角石墨烯结构的能带结构与DFT和连续介质模型计算的能带结构的对比图[46]; (b) HamGNN模型预测的Bi2Se3薄膜的能带结构与DFT计算的能带结构的对比图, 以及导带底附近未占据态的自旋-动量锁定特征[50]; (c) DeepH-E3模型预测在SOC强度变化导致的带隙闭合后重新打开, 拓扑量子相变从${\mathbb Z}_2 =0 $到${\mathbb Z}_2 =1 $ [46]

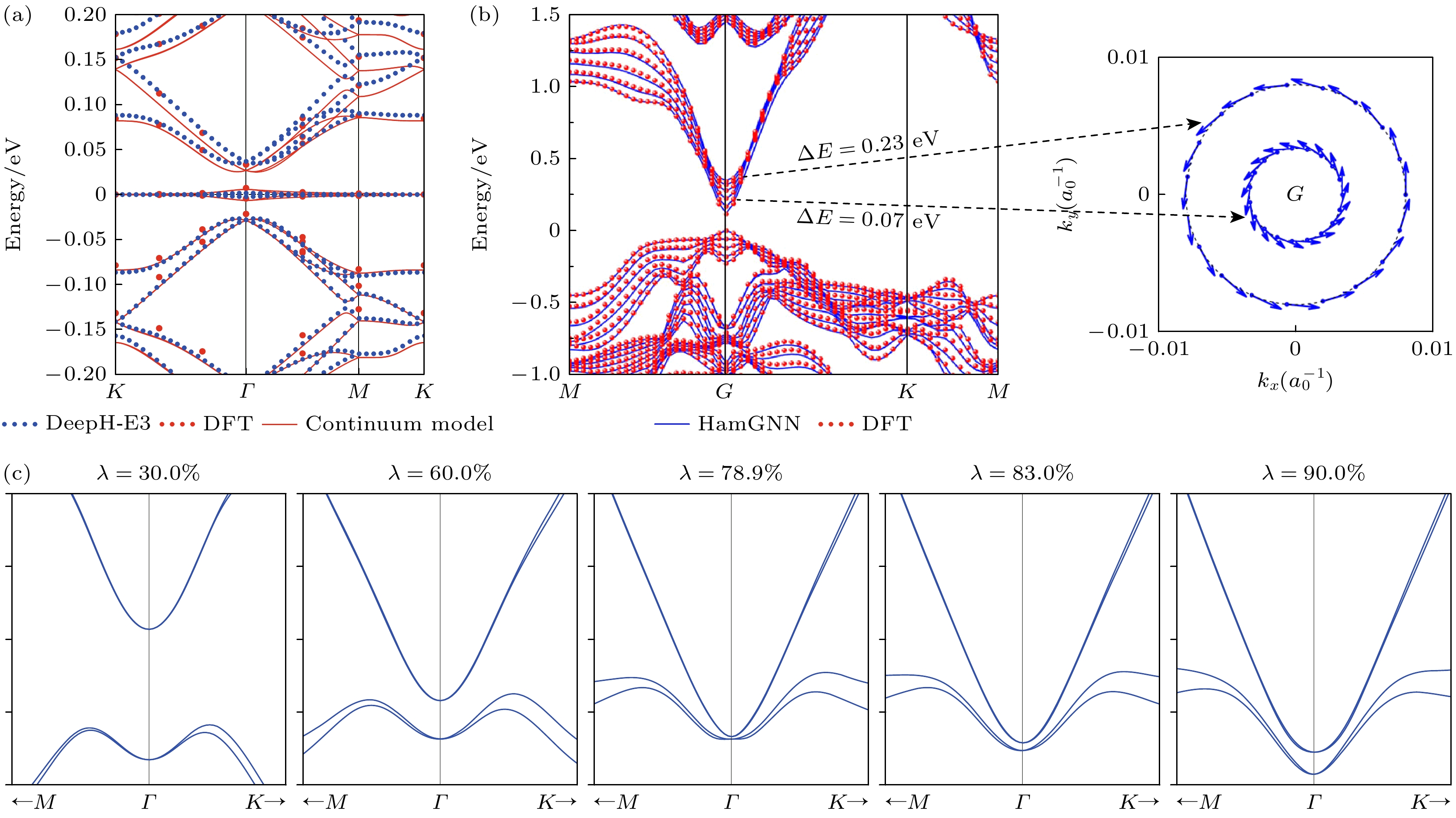
    Fig. 8.  Several examples of machine-learning-accelerated electronic-structure calculations applied to quantum materials: (a) Comparison of the band structure predicted by using the DeepH-E3 model with the DFT-computed band structure for a twisted bilayer graphene supercell containing 11164 atoms at a twist angle of 1.08°[46]; (b) band structure of Bi2Se3 thin film with the HamGNN model compared to DFT results, together with the spin–momentum locking of the unoccupied states near the conduction-band minimum[50]; (c) DeepH-E3 of a topological quantum phase transition driven by varying SOC strength: after gap closure, the gap re-opens, changing the $\mathbb{Z}_2$ invariant from 0 to 1[46].

    图 9  ML加速电子结果计算在光电与输运性质领域内的应用实例 (a) DeePTB模型预测超百万个原子的GaP体系的复折射率结果与Aspnes等[87]的实验结果的对比[54]; (b) HamEPC框架预测的碳化硅(SiC)EPC与DFT(OpenMX)计算结果的对比[52]; (c) HamEPC框架在杂化泛函HSE级别下预测的GaAs迁移率在PBE级别下(Perturbo软件)的计算结果对比[52]; (d) HamEPC框架预测CsV3Sb5 CDW超晶格的声子谱并标定了每个声子模式对应的电子-声子耦合强度(γqv)[52]

    Fig. 9.  Several examples of machine-learning-accelerated electronic-structure calculations applied to optoelectronic and transport properties: (a) Complex refractive index of a GaP system with over one million atoms using the DeePTB model, compared with the experimental data of Aspnes et al[87]. Reproduced from Ref. [[54]]; (b) EPC matrix of SiC computed by Xiang Hongjun et al. with the HamEPC framework, benchmarked against DFT (OpenMX) results[52]; (c) GaAs mobility predicted at the HSE level by using HamEPC, compared with Perturbo calculations at the PBE level[52]; (d) complete phonon spectrum of the CsV3Sb5 CDW supercell and mode and moment-resolved electron–phonon coupling strengths (γqv) quantitatively characterized via the HamEPC framework[52]

    表 1  三大主流ML方法的特征比较

    Table 1.  Characteristics across of capillary of different kind of machine-learning models.

    模型 哈密顿精度(MAE) 计算效率 计算极限 优势体系 接口软件 资源链接
    DeepH 2.1 meV (石墨烯); 1.3 meV (MoS2) 对比DFT达
    103倍加速
    11164 原子
    (魔角石墨烯)
    常规大尺寸材料、
    无/弱SOC体系
    OpenMX; Abacus;
    FHI-aims; SIESTA
    代码: https://github.com/mzjb/DeepH-pack
    数据: https://doi.org/10.5281/zenodo.6555484
    xDeepH 0.36 meV (CrI3)
    0.56 meV (NiBr2)
    对比DFT达
    103倍加速
    4336 原子
    (CrI3斯格明子)
    磁性、拓扑材料
    体系
    OpenMX; Abacus;
    FHI-aims; SIESTA
    代码: https://github.com/mzjb/xDeepH
    数据: https://doi.org/10.5281/zenodo.7561013
    DeepH-E3 0.40 meV (石墨烯)
    0.37 meV (MoS2)
    GPU分钟
    级推理
    11164 原子
    (魔角石墨烯)
    常规大尺寸材料、
    强SOC体系
    OpenMX; Abacus;
    FHI-aims; SIESTA
    代码: https://github.com/Xiaoxun-Gong/DeepH-E3
    数据: https://doi.org/10.5281/zenodo.7553640
    HamGNN 1.49 meV(QM9)
    0.89 meV (MoS2)
    对比DFT
    达3500倍加速

    多元的复杂体系、
    缺陷体系
    OpenMX; Abacus;
    SIESTA; HONPAS
    代码: https://github.com/QuantumLab-ZY/HamGNN
    数据: https://zenodo.org/records/11171478
    HamGNN-Q 1.013 meV (GaAs) 极化子
    秒级计算
    13824原子
    ($ \text{As}_{\text{Ga}}^{6+} $体系)
    带电缺陷体系 OpenMX; Abacus;
    SIESTA; HONPAS
    代码: https://github.com/QuantumLab-Z7/HamGNN
    数据: https://doi.org/10.5281/zenodo.8147631
    DeepTB 40 meV(Si)
    26 meV (106原子 GaP)
    对比DFT达
    105倍加速
    106原子
    (GaP)
    超大型体系(106) Abacus 代码: https://github.com/deepmodeling/DeePTB
    数据: https://www.aissquare.com/datasets/detail?name=DeePTBDataSet&id=255&pageType=datasets
    DeePTB-E3 0.34 meV (MoS2)
    0.21 meV (GaN)
    张量积计算快100倍(相比DeepH-E3) 103原子
    (HfO2)
    含重元素体系 Abacus 代码: https://github.com/deepmodeling/DeePTB
    数据: https://www.aissquare.com/datasets/detail?pageType=datasets&name=Quantum_Operator_Dataset&id=286
    注: 本表所列模型的训练与测试数据集均已公开, 主要存储于Zenodo知识库和AIS Square中. 数据集多采用HDF5、npz等适用于科学计算的格式, 便于下载、验证与二次开发. 表格仅针对已开源的模型, 因此未包含DeepH-2及DeepH-zero.
    下载: 导出CSV
  • [1]

    Hohenberg P, Kohn W 1964 Phys. Rev. 136 B864Google Scholar

    [2]

    Kohn W, Sham L J 1965 Phys. Rev. 140 A1133Google Scholar

    [3]

    Medvedev M G, Bushmarinov I S, Sun J W, Perdew J P, Lyssenko K A 2017 Science 355 49Google Scholar

    [4]

    Verma P, Truhlar D G 2020 Trends. Chem. 2 302Google Scholar

    [5]

    Bloch F 1929 Zeitschrift Phys. 52 555Google Scholar

    [6]

    Ihm J, Zunger A, Cohen M L 1979 J. Phys. C: Solid State Phys. 12 4409Google Scholar

    [7]

    Tokura S, Tsuneda T, Hirao K 2006 J. Theor. Comput. Chem. 05 925Google Scholar

    [8]

    Hedin L 1965 Phys. Rev. 139 A796

    [9]

    Aryasetiawan F, Gunnarsson O 1998 Reports Prog. Phys. 61 237Google Scholar

    [10]

    Kotliar G, Savrasov S Y, Haule K, Oudovenko V S, Parcollet O and Marianetti C A 2006 Rev. Mod. Phys. 78 865

    [11]

    Paul A, Birol T 2019 Annu. Rev. Mater. Res. 49 31Google Scholar

    [12]

    Hu C, Michaud-Rioux V, Kong X, Guo H 2017 Phys. Rev. Mater. 1 061003Google Scholar

    [13]

    Goedecker S 1999 Rev. Mod. Phys. 71 1085Google Scholar

    [14]

    Rumelhart D E, Hinton G E, Williams R J 1986 Nature 323 533

    [15]

    Raff L M, Malshe M, Hagan M, Doughan D I, Rockley M G, Komanduri R 2005 J. Chem. Phys. 122 084104Google Scholar

    [16]

    Lorenz S, Scheffler M, Gross A 2006 Phys. Rev. B 73 115431Google Scholar

    [17]

    Hu W, Ye S, Zhang Y J, Li T, Zhang G, Luo Y, Mukamel S, Jiang J 2019 J. Phys. Chem. Lett. 10 6026Google Scholar

    [18]

    Kazan H, Ray D, Chan E T, Hughes T R, Morris Q 2010 PLOS. Comput. Biol. 6 1000832Google Scholar

    [19]

    Soares T A, Nunes-Alves A, Mazzolari A, et al. 2022 J. Chem. Inf. Model. 62 S317Google Scholar

    [20]

    de Pablo J J, Jackson N E, Webb M A, Chen L Q, Moore J E, Morgan D, Jacobs R, Pollock T, Schlom D G, Toberer E S, Analytis J, Dabo I, DeLongchamp D M, Fiete G A, Grason G M, Hautier G, Mo Y, Rajan K, Reed E J, Rodriguez E, Stevanovic V, Suntivich J, Thornton K, Zhao J C 2019 npj Comput. Mater. 5 41Google Scholar

    [21]

    Simm G N, Vaucher A C, Reiher M 2019 J. Phys. Chem. A 123 385Google Scholar

    [22]

    Hegde G, Bowen R C 2017 Sci. Rep. 7 42669Google Scholar

    [23]

    Hastie T, Tibshirani R, Friedman J 2009 The Elements of Statistical Learning: Data Mining, Inference, and Prediction (2nd Ed.) (New York: Springer) p167

    [24]

    Bartók A P, Payne M C, Kondor R, Csányi G 2010 Phys. Rev. Lett. 104 136403Google Scholar

    [25]

    Scarselli F, Gori M, Tsoi A C, Hagenbuchner M, Monfardini G 2009 IEEE Trans. Neural Netw. 20 61Google Scholar

    [26]

    Schütt K T, Arbabzadah F, Chmiela S, Müller K R, Tkatchenko A 2017 Nat. Commun. 8 13890Google Scholar

    [27]

    Wu Z, Ramsundar B, Feinberg E N, Gomes J, Geniesse C, Pappu A S, Leswing K, Pande V 2018 Chem Sci. 9 513Google Scholar

    [28]

    Schütt K T, Gastegger M, Tkatchenko A, Müller K-R, Maurer R J 2019 Nat. Commun. 10 502Google Scholar

    [29]

    Gasteiger J, Groß J, Günnemann S 2020 Proceedings of the 15th International Conference on Learning Representations Addis Ababa, 2020

    [30]

    Ramakrishnan R, Dral P O, Rupp M, von Lilienfeld O A 2014 Quantum Chemistry Structures and Properties of 134 kilo molecules Sci. Data 1 140022

    [31]

    Bhat H S, Ranka K, Isborn C M 2020 Int. J. Dyn. Control 8 1089Google Scholar

    [32]

    Unke O T, Bogojeski M, Gastegger M, Geiger M, Smidt T, Müller K R 2021 Proceedings of the 35th International Conference on Neural Information Processing Systems Canada December 6–14 2021 p14434

    [33]

    Westermayr J, Gastegger M, Marquetand P 2020 J. Phys. Chem. Lett. 11 3828Google Scholar

    [34]

    Nigam J, Willatt M J, Ceriotti M 2022 J. Chem. Phys. 156 014115Google Scholar

    [35]

    Cignoni E, Cupellini L, Mennucci B 2023 J. Chem. Theor. Comput. 19 965Google Scholar

    [36]

    Shao X, Paetow L, Tuckerman M E, Pavanello M 2023 Nat. Commun. 14 6281Google Scholar

    [37]

    Zhang H, Liu S, You J C, Liu C, Lu Z H, Wang T, Zheng N N, Shao B 2024 Nat. Comput. Sci. 4 210

    [38]

    Ying C, Cai T, Luo S, Zheng S, Ke G, He D, Shen Y, Liu T Y 2021 35th Conference on Neural Information Processing Systems (NeurIPS 2021) Online December 6-14, 2021 p28877

    [39]

    Tang H, Xiao B, He W, Subasic P, Harutyunyan A R, Wang Y, Liu F, Xu H, Li J 2025 Nat. Comput. Sci. 5 144Google Scholar

    [40]

    Raghavachari K, Trucks G W, Pople J A, Head-Gordon M 1989 Chem. Phys. Lett. 157 479Google Scholar

    [41]

    Venturella C, Li J, Hillenbrand C, Peralta X L, Liu J, Zhu T 2025 Nat. Comput. Sci. 5 502Google Scholar

    [42]

    Salpeter E E, Bethe H A 1951 Phys. Rev. 84 1232Google Scholar

    [43]

    李俊清, 何天敬, 王俭, 刘凡镇 1990 物质结构导论(合肥: 中国科学技术大学出版社)第112页Google Scholar

    Li J Q, He T J, Wang J, Liu F Z 1990 Introduction to the Structure of Matter (Hefei: China University of Science and Technology Press) p112Google Scholar

    [44]

    Li H, Wang Z, Zou N, Ye M, Xu R, Gong X, Duan W, Xu Y 2022 Nat. Comput. Sci. 2 367Google Scholar

    [45]

    Li H, Tang Z, Gong X, Zou N, Duan W, Xu Y 2023 Nat. Comput. Sci. 3 321Google Scholar

    [46]

    Gong X, Li H, Zou N, Xu R, Duan W, Xu Y 2023 Nat. Commun. 14 2848

    [47]

    Wang Y, Li Y, Tang Z, Li H, Yuan Z, Tao H, Zou N, Bao T, Liang X, Chen Z, Xu S, Bian C, Xu Z, Wang C, Si C, Duan W, Xu Y 2024 Sci. Bull. 69 2514Google Scholar

    [48]

    Wang Y, Li H, Tang Z, Tao H, Wang Y, Yuan Z, Chen Z, Duan W, Xu Y 2024 arXiv:2401.17015v1 [physics.comp-ph]

    [49]

    Li Y, Tang Z, Chen Z, Sun M, Zhao B, Li H, Tao H, Yuan Z, Duan W, Xu Y 2024 Phys. Rev. Lett. 133 076401Google Scholar

    [50]

    Zhong Y, Yu H, Su M, Gong X, Xiang H 2023 npj Comput. Mater. 9 182Google Scholar

    [51]

    Zhong Y, Yu H, Yang J, Guo X, Xiang H, Gong X 2024 Chin. Phys. Lett. 41 077103Google Scholar

    [52]

    Zhong Y, Liu S, Zhang B, Tao Z, Sun Y, Chu W, Gong X G, Yang J H, Xiang H 2024 Nat. Comput. Sci. 4 615Google Scholar

    [53]

    Ma Y X, Yu H Y, Zhong Y, Chen S Y, Gong X G, Xiang H J 2025 Appl. Phys. Lett. 126 044103Google Scholar

    [54]

    Gu Q, Zhouyin Z, Pandey S K, Zhang P, Zhang L, E W N 2024 Nat. Commun. 15 6772Google Scholar

    [55]

    Zhouyin Z H, Gan Z, Pandey S K, et al. 2025 The Thirteenth International Conference on Learning Representations(ICLR) Vienna, Austria, Apr. 24–28 2025Google Scholar

    [56]

    Gilmer J, Schoenholz S S, Riley P F, Vinyals O, Dahl G E2017 Proceedings of the 34th International Conference on Machine Learning (ICML) Sydney, Australia, August 6–11, 2017 p1263

    [57]

    Kohn W 1996 Phys. Rev. Lett. 76 3168Google Scholar

    [58]

    Taco S C, Welling M 2016 Proceedings of the 33rd International Conference on Machine Learning USA June 20–22, 2016 p2990

    [59]

    Tung W K 1985 Group Theory in Physics (Singapore: World Scientific Publishing) p205

    [60]

    Tokura Y, Yasuda K, Tsukazaki A 2019 Nat. Rev. Phys. 1 126Google Scholar

    [61]

    Thomas N, Smidt T, Kearnes S, Yang L, Li L, Kohlhoff K, Riley P 2019 arXiv:1802.08219v3 [cs.LG]

    [62]

    Griffiths D J 2005 Introduction to Quantum Mechanics (2nd ed.) (Upper Saddle River: Pearson Prentice Hall) p186

    [63]

    Vaswani A, Shazeer N, Parmar N, Uszkoreit J, Jones L, Gomez A N, Kaiser Ł, Polosukhin I 2017 Neural Information Processing Systems (NeurIPS) USA December 4–9, 2017 p6000

    [64]

    Jain A, Ong S P, Hautier G, Chen W, Richards W D, Dacek S, Cholia S, Gunter D, Skinner D, Ceder G, Persson K A 2013 APL Mater. 1 011002Google Scholar

    [65]

    Huber S P, Zoupanos S, Uhrin M, Talirz L, Kahle L, Häuselmann R, Gresch D, Müller T, Yakutovich A V, Andersen C W, Ramirez F F, Adorf C S, Gargiulo F, Kumbhar S, Passaro E, Johnston C, Merkys A, Cepellotti A, Mounet N, Marzari N, Kozinsky B, Pizzi G 2020 Sci. Data. 7 300Google Scholar

    [66]

    Perdew J P, Burke K, Ernzerhof M 1996 Phys. Rev. Lett. 77 3865Google Scholar

    [67]

    Anderson B M, Hy T S, Kondor R 2019 Neural Information Processing Systems (NeurIPS) Canda December 5–14, 2019 p14537

    [68]

    Gu Q Q, Zhang L F, Feng J 2022 Sci. Bull. 67 29Google Scholar

    [69]

    Yuan S, De Raedt H, Katsnelson M I 2010 Phys. Rev. B 82 115448Google Scholar

    [70]

    Zhang Z, Wang J, Zhang Y, Xu J, Long R 2022 J. Phys. Chem. Lett. 13 10734Google Scholar

    [71]

    Wang B, Winkler L, Wu Y, Müller K R, Sauceda H E, Prezhdo O V 2023 J. Phys. Chem. Lett. 14 7092Google Scholar

    [72]

    Fu L, Wu Y, Shang H, Yang J 2024 J. Chem. Theor. Comput. 20 6218Google Scholar

    [73]

    Shang H, Guo C, Wu Y, Li Z, Yang J 2023 arXiv: 2307.09343 [quant-ph]

    [74]

    Slater J C 1929 Phys. Rev. 34 1293Google Scholar

    [75]

    Cho Y, Choi G, Ham G, Shin M, Kim D 2024 Mach. Learn. : Sci. Technol. 5 035060Google Scholar

    [76]

    Chapelle O, Schölkopf B, Zien A 2009 Semi-Supervised Learning (Cambridge: MIT Press

    [77]

    Cao B, Dong J, Wang Z, Wang L 2025 J. Phys. Chem. Lett. 16 4907Google Scholar

    [78]

    Zhang L, Han J, Wang H, Car R, E W 2018 Phys. Rev. Lett. 120 143001Google Scholar

    [79]

    Behler J, Parrinello M 2007 Phys. Rev. Lett. 98 146401Google Scholar

    [80]

    Zou Z, Zhang Y, Liang L, Wei M, Leng J, Jiang J, Luo Y, Hu W 2023 Nat. Comput. Sci. 3 957Google Scholar

    [81]

    Freysoldt C, Neugebauer J, Van de Walle C G 2009 Phys. Rev. Lett. 102 016402Google Scholar

    [82]

    Van de Walle C G, Neugebauer J 2004 J. Appl. Phys. 95 3851Google Scholar

    [83]

    Batatia I, Kovács D P, Simm G N C, Ortner C, Csányi G 2022 36th Conference on Neural Information Processing Systems (NeurIPS 2022) USA November 28–December 9, 2022 p11423

    [84]

    Klawohn S, Darby J P, Kermode J R, Csányi G, Caro M A, Bartók A P 2023 J. Chem. Phys. 159 174108Google Scholar

    [85]

    Merchant A, Batzner S, Schoenholz S S, Aykol M, Cheon G, Cubuk E D 2023 Nature 624 80Google Scholar

    [86]

    Mott N F 1949 Proc. Phys. Soc. A 62 416Google Scholar

    [87]

    Aspnes D E, Studna A A 1983 Phys. Rev. B 27 985Google Scholar

    [88]

    Jones D, Kim , Zhang X, Zemla A, Stevenson G, Bennett W F D, Kirshner D, Wong S E, Lightstone F C, Allen J E 2021 J. Chem. Inf. Model. 61 565Google Scholar

    [89]

    Musil F, Grisafi A, Bartók A P, Ortner C, Csányi G, Ceriotti M 2021 Chem. Rev. 121 9759Google Scholar

    [90]

    Raissi M, Perdikaris P, Karniadakis G E 2019 J. Comput. Phys. 378 686Google Scholar

    [91]

    何易城, 李滕辉, 甘子熙, 陈怡锦, 王林军 2025 中国科学: 化学 1751 1751Google Scholar

    He Y C, Li T H, Gan Z X, Chen Y J, Wang L J 2025 Sci. Sin. Chim. 1751 1751Google Scholar

    [92]

    Takamoto S, Shinagawa C, Motoki D, Nakago K, Li W, Kurata I, Watanabe T, Yayama Y, Iriguchi H, Asano Y, Onodera T, Ishii T, Kudo T, Ono H, Sawada R, Ishitani R, Ong M, Yamaguchi T, Kataoka T, Hayashi A, Charoenphakdee N, Ibuka T 2022 Nat. Commun. 13 2991Google Scholar

    [93]

    Bartel C J, Trewartha A, Wang Q, Dunn A, Jain A, Ceder G 2020 Npj. Comput. Mater. 55 1751Google Scholar

    [94]

    Gong X, Louie S G, Duan W, Xu Y 2024 Nat. Comput. Sci. 4 752Google Scholar

    [95]

    Smith J S, Nebgen B, Lubbers N, Isayev O, Roitberg A E 2018 J. Chem. Phys. 148 241733Google Scholar

    [96]

    Wang H, Fu T, Du Y, Gao W, Huang K, Liu Z, Chandak P, Liu S, Van Katwyk P, Deac A, Anandkumar A, Bergen K, Gomes C P, Ho S, Kohli P, Lasenby J, Leskovec J, Liu T Y, Manrai A, Marks D, Ramsundar B, Song L, Sun J, Tang J, Veličković P, Welling M, Zhang L, Coley C W, Bengio Y, Zitnik M 2023 Nature 620 47Google Scholar

    [97]

    Gao L, Lin J, Wang L, Du L 2024 Acc. Mater. Res. 5 571Google Scholar

    [98]

    Zeni C, Pinsler R, Zügner D, Fowler A, Horton M, Fu X, Wang Z, Shysheya A, Crabbé J, Ueda S, Sordillo R, Sun L, Smith J, Nguyen B, Schulz H, Lewis S, Huang C W, Lu Z, Zhou Y, Yang H, Hao H, Li J, Yang C, Li W, Tomioka R, Xie T 2025 Nature 639 624Google Scholar

  • [1] 刘兆圣, 张桥, 宁勇祺, 符秀交, 邹代峰, 王俊年, 赵宇清. 基于机器学习与第一性原理计算的高居里温度Janus预测. 物理学报, 2025, 74(22): 220201. doi: 10.7498/aps.74.20251026
    [2] 侯诗雨, 刘影, 唐明. 融合节点动态传播特征与局域结构的复杂网络传播关键节点识别. 物理学报, 2025, 74(10): 108901. doi: 10.7498/aps.74.20250179
    [3] 张桥, 谭薇, 宁勇祺, 聂国政, 蔡孟秋, 王俊年, 朱慧平, 赵宇清. 基于机器学习和第一性原理计算的Janus材料预测. 物理学报, 2024, 73(23): 230201. doi: 10.7498/aps.73.20241278
    [4] 刘俊岭, 柏于杰, 徐宁, 张勤芳. GaS/Mg(OH)2异质结电子结构的第一性原理研究. 物理学报, 2024, 73(13): 137103. doi: 10.7498/aps.73.20231979
    [5] 李发云, 杨志雄, 程雪, 甄丽营, 欧阳方平. 单层缺陷碲烯电子结构与光学性质的第一性原理研究. 物理学报, 2021, 70(16): 166301. doi: 10.7498/aps.70.20210271
    [6] 丁超, 李卫, 刘菊燕, 王琳琳, 蔡云, 潘沛锋. Sb,S共掺杂SnO2电子结构的第一性原理分析. 物理学报, 2018, 67(21): 213102. doi: 10.7498/aps.67.20181228
    [7] 吴若熙, 刘代俊, 于洋, 杨涛. CaS电子结构和热力学性质的第一性原理计算. 物理学报, 2016, 65(2): 027101. doi: 10.7498/aps.65.027101
    [8] 徐晶, 梁家青, 李红萍, 李长生, 刘孝娟, 孟健. Ti掺杂NbSe2电子结构的第一性原理研究. 物理学报, 2015, 64(20): 207101. doi: 10.7498/aps.64.207101
    [9] 骆最芬, 岑伟富, 范梦慧, 汤家俊, 赵宇军. BiTiO3电子结构及光学性质的第一性原理研究. 物理学报, 2015, 64(14): 147102. doi: 10.7498/aps.64.147102
    [10] 黄有林, 侯育花, 赵宇军, 刘仲武, 曾德长, 马胜灿. 应变对钴铁氧体电子结构和磁性能影响的第一性原理研究. 物理学报, 2013, 62(16): 167502. doi: 10.7498/aps.62.167502
    [11] 程和平, 但加坤, 黄智蒙, 彭辉, 陈光华. 黑索金电子结构和光学性质的第一性原理研究. 物理学报, 2013, 62(16): 163102. doi: 10.7498/aps.62.163102
    [12] 周平, 王新强, 周木, 夏川茴, 史玲娜, 胡成华. 第一性原理研究硫化镉高压相变及其电子结构与弹性性质. 物理学报, 2013, 62(8): 087104. doi: 10.7498/aps.62.087104
    [13] 吴木生, 徐波, 刘刚, 欧阳楚英. Cr和W掺杂的单层MoS2电子结构的第一性原理研究. 物理学报, 2013, 62(3): 037103. doi: 10.7498/aps.62.037103
    [14] 宋庆功, 刘立伟, 赵辉, 严慧羽, 杜全国. YFeO3的电子结构和光学性质的第一性原理研究. 物理学报, 2012, 61(10): 107102. doi: 10.7498/aps.61.107102
    [15] 文黎巍, 王玉梅, 裴慧霞, 丁俊. Sb系half-Heusler合金磁性及电子结构的第一性原理研究. 物理学报, 2011, 60(4): 047110. doi: 10.7498/aps.60.047110
    [16] 刘建军. (Zn,Al)O电子结构第一性原理计算及电导率的分析. 物理学报, 2011, 60(3): 037102. doi: 10.7498/aps.60.037102
    [17] 宋久旭, 杨银堂, 刘红霞, 张志勇. 掺氮碳化硅纳米管电子结构的第一性原理研究. 物理学报, 2009, 58(7): 4883-4887. doi: 10.7498/aps.58.4883
    [18] 倪建刚, 刘 诺, 杨果来, 张 曦. 第一性原理研究BaTiO3(001)表面的电子结构. 物理学报, 2008, 57(7): 4434-4440. doi: 10.7498/aps.57.4434
    [19] 潘志军, 张澜庭, 吴建生. 掺杂半导体β-FeSi2电子结构及几何结构第一性原理研究. 物理学报, 2005, 54(11): 5308-5313. doi: 10.7498/aps.54.5308
    [20] 潘志军, 张澜庭, 吴建生. CoSi电子结构第一性原理研究. 物理学报, 2005, 54(1): 328-332. doi: 10.7498/aps.54.328
计量
  • 文章访问数:  434
  • PDF下载量:  17
  • 被引次数: 0
出版历程
  • 收稿日期:  2025-09-12
  • 修回日期:  2025-10-27
  • 上网日期:  2025-12-10
  • 刊出日期:  2026-01-05

/

返回文章
返回