-
The inverse problem of low-temperature plasmas refers to determining discharge parameters such as voltage amplitude and frequency from plasma characteristics, including plasma density, electric field and electron temperature. Within the framework of fluid description, it is usually very challenging to address inverse problems by using traditional discretization methods. In this work, physics-informed neural networks (PINNs) are introduced to solve the inverse problem of atmospheric-pressure radio-frequency plasmas. The loss function of the PINNs is constructed by embedding three components: the main governing equations (continuity equation, Poisson equation, and drift–diffusion approximation), the discharge parameters to be inferred (voltage amplitude and frequency in this study), and additional electric field data. The well-trained PINNs can accurately recover the discharge parameters with errors within about 1%, while providing the full spatiotemporal evolution of plasma density, electric field, and flux. Furthermore, the effects of sampling positions, sampling sizes, and noise levels of the electric field data on the inversion accuracy of voltage amplitude and frequency are systematically investigated. The results demonstrate that PINNs are capable of achieving precise inversions of discharge parameters and accurate prediction of plasma characteristics under given experimental or computational data, thereby laying a foundation for the intelligent control of low-temperature plasmas.
-
Keywords:
- low-temperature plasma /
- fluid model /
- machine learning /
- physics-informed neural networks
[1] Massines F, Gouda G 1998 J. Phys. D: Appl. Phys. 31 3411
Google Scholar
[2] Huang X, Li Y, Zhong X 2014 Nanoscale Res. Lett. 9 572
Google Scholar
[3] Jüstel T, Krupa J C, Wiechert D U 2001 J. Lumin. 93 179
Google Scholar
[4] Magureanu M, Bradu C, Piroi D, Mandache N B, Parvulescu V 2013 Plasma Chem. Plasma Process. 33 51
Google Scholar
[5] Whittaker A G, Graham E M, Baxter R L, Jones A C, Richardson P R, Meek G, Campbell G A, Aitken A, Baxter H C 2004 J. Hosp. Infect. 56 37
Google Scholar
[6] Santhanakrishnan A, Reasor D A, Lebeau R P 2009 Phys. Fluids 21 043602
Google Scholar
[7] Shukla P K, Mamun A 2015 Introduction to Dusty Plasma Physics (Boca Raton: CRC Press
[8] Zhang X, Zhang X F, Li H P, Wang L Y, Zhang C, Xing X H, Bao C Y 2014 Appl. Microbiol. Biotechnol. 98 5387
Google Scholar
[9] Chen Z Q, Liu M H, Xia G Q, Huang Y R 2012 IEEE Trans. Plasma Sci. 40 2861
Google Scholar
[10] Munro J J, Tennyson J 2008 J. Vac. Sci. Technol. A 26 865
Google Scholar
[11] Lu X P, Reuter S, Laroussi M, Liu D W 2019 Nonequilibrium Atmospheric Pressure Plasma Jets: Fundamentals, Diagnostics, and Medical Applications (Boca Raton: CRC Press
[12] Kong M G, Kroesen G, Morfill G, Nosenko T, Shimizu T, VanDijk J, Zimmermann J L 2009 New J. Phys. 11 115012
Google Scholar
[13] Ames W F 2014 Numerical Methods for Partial Differential Equations (Cambridge, MA: Academic Press
[14] Raissi M, Perdikaris P, Karniadakis G E 2019 J. Comput. Phys. 378 686
Google Scholar
[15] Wu C X, Zhu M, Tan Q Y, Kartha Y, Lu L 2023 Comput. Methods Appl. Mech. Eng. 403 115671
Google Scholar
[16] Li W K, Zhang Y T 2025 J. Appl. Phys. 137 20
[17] Li W, Zhang Y 2025 Phys. Fluids 37 077159
Google Scholar
[18] Kawaguchi S, Takahashi K, Ohkama H, Makabe T 2020 Plasma Sources Sci. Technol. 29 025021
Google Scholar
[19] Wu B, Zhong L 2022 Frontier Academic Forum of Electrical Engineering (Beijing: Chinese Society of Electrical Engineering) p1083
[20] 仲林林, 吴冰钰, 吴奇 2024 电工技术学报 39 3457
Zhong L L, Wu B Y, Wu Q 2024 Trans. China Electrotechn. Soc. 39 3457
[21] 方泽, 潘泳全, 戴栋, 张俊勃 2024 物理学报 73 145201
Google Scholar
Fang Z, Pan Y Q, Dai D, Zhang J B 2024 Acta Phys. Sin. 73 145201
Google Scholar
[22] Kwon H, Kim E, Cho S, Kwon D C, Choe H, Choi M 2024 East Asian J. Appl. Math. 14 636
[23] Zhang B Y, Cai G B, Weng H Y, Wang W Z, Liu L H, He B J 2023 Mach. Learn. Sci. Technol. 4 045015
Google Scholar
[24] Rutigliano N, Rossi R, Murari A, Gelfusa M, Craciunescu T, Mazon D, Gaudio, P 2025 Plasma Phys. Control. Fusion 67 065029
Google Scholar
[25] Rossi R, Gelfusa M, Murari A 2023 Nucl. Fusion 63 126059
Google Scholar
[26] Zhang Y T, Li Q Q, Lou J, Lou J and Li Q M 2010 Appl. Phys. Lett. 97 14
[27] Massines F, Rabehi A, Decomps P, Gadri R B, Ségur P, Mayoux C 1998 J. Appl. Phys. 83 2950
Google Scholar
[28] Vanraes P, Nikiforov A, Bogaerts A, Leys C 2018 Sci. Rep. 8 10919
Google Scholar
[29] Shi J J, Kong M G 2005 J. Appl. Phys. 97 023306
Google Scholar
[30] Yuan X H, Raja L L 2003 IEEE Trans. Plasma Sci. 31 495
Google Scholar
[31] Chen C Q, Yang Y H, Xiang Y, Hao W R 2025 J. Sci. Comput. 104 54
Google Scholar
[32] Tian Y J, Zhang Y Q, Zhang H B 2023 Mathematics 11 682
Google Scholar
[33] 王绪成, 李文凯, 艾飞, 刘志兵, 张远涛 2023 力学学报 55 2900
Wang X C, Li W K, Ai F, Liu Z B, Zhang Y T 2023 Chin. J. Theor. Appl. Mech. 55 2900
[34] Zhang Y T, Gao S H, Zhu Y Y 2023 J. Appl. Phys. 133 5
[35] Moritz P, Nishihara R, Jordan M 2016 Artif. Intell. Stat. 1 249
-
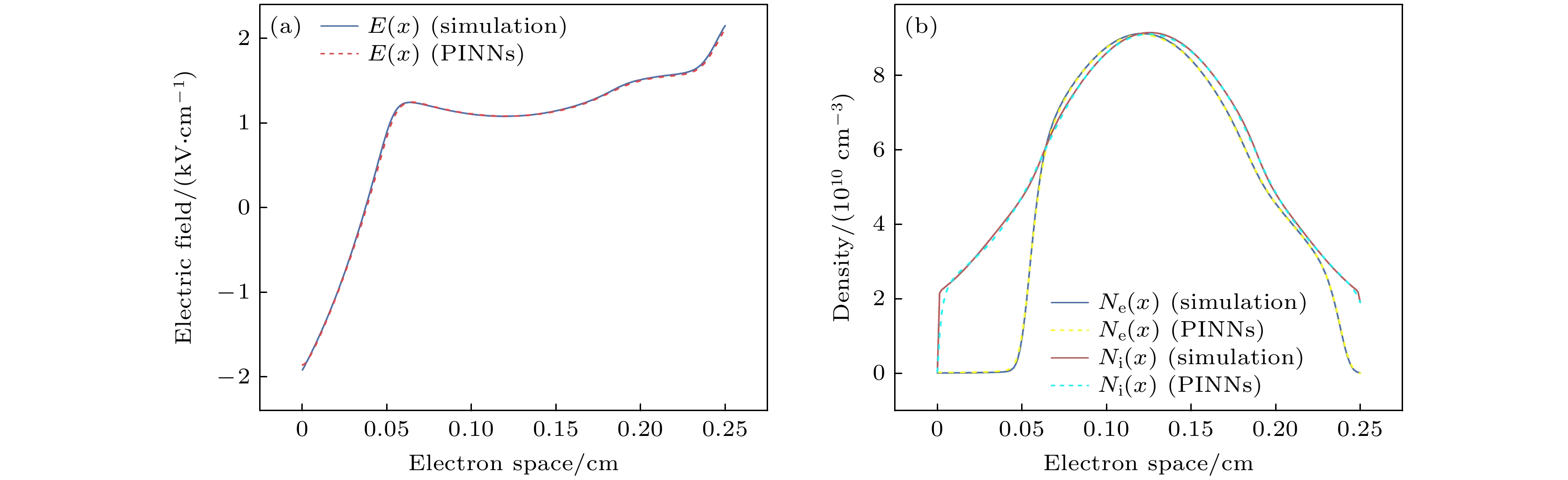
图 5 PINNs与传统流体模型在电子密度、离子密度和电场强度分布的对比结果 (a)—(c) 数值模拟结果; (d)—(f) PINNs 预测结果; (g)—(i) 误差分布
Figure 5. The comparison results of electron density, ion density and electric field intensity distribution between PINNs and traditional fluid model: (a)–(c)Numerical simulation results; (d)–(f)prediction results of PINNs; (g)–(i)error distribution.
表 1 在不同采样点位置条件下PINNs反演的幅值和频率
Table 1. Amplitude and frequency of PINNs inversion at different sampling points.
数据集 采样点位置 幅值$ {\hat V_0} $ 幅值相对误差/% 频率$ \hat f $ 频率相对误差/% 1 $E(0, t)$ 435.83 0.94811 10.046 0.46051 2 $E\left(\dfrac{1}{4}d, t\right)$ 434.03 1.3559 9.981 0.18646 3 $E\left(\dfrac{1}{2}d, t\right)$ 431.73 1.88 10.023 0.23 4 $E\left(\dfrac{3}{4}d, t\right)$ 432.65 1.67 10.015 0.15 5 $E(d, t)$ 437.01 0.68 10.010 0.099 6 $E(x, 0)$ — — — — 7 ${N_{\text{e}}}\left(\dfrac{1}{2}d, t\right) + {N_{\text{i}}}\left(\dfrac{1}{2}d, t\right)$ — — — — 表 2 在不同采样点数量条件下PINNs反演的幅值和频率
Table 2. Amplitude and frequency of PINNs inversion with different sampling points.
数据集 采样点数量 幅值$ {\hat V_0} $ 幅值
相对误差/%频率$ \hat f $ 频率
相对误差/%1 200 436.27 0.847 10.010 0.10 2 150 437.50 0.569 10.011 0.12 3 100 437.01 0.679 10.011 0.10 4 50 436.83 0.720 10.013 0.13 5 30 436.21 0.860 10.011 0.11 6 20 434.92 1.154 10.010 0.10 7 10 429.58 2.368 10.019 0.19 表 3 不同噪声水平条件下PINNs反演的幅值和频率
Table 3. Amplitude and frequency of PINNs inversion under different noise levels.
数据集 噪声
水平幅值
$ {\hat V_0} $/V幅值
相对误差/%频率$ \hat f $
/MHz频率
相对误差/%1 0.01 438.34 0.378 10.010 0.098 2 0.02 438.48 0.345 10.008 0.078 3 0.04 439.37 0.144 10.002 0.021 4 0.06 439.78 0.051 10.009 0.092 5 0.08 434.44 1.263 9.934 0.646 7 0.1 432.09 1.797 9.915 0.850 8 0.12 428.05 2.716 9.8873 1.127 -
[1] Massines F, Gouda G 1998 J. Phys. D: Appl. Phys. 31 3411
Google Scholar
[2] Huang X, Li Y, Zhong X 2014 Nanoscale Res. Lett. 9 572
Google Scholar
[3] Jüstel T, Krupa J C, Wiechert D U 2001 J. Lumin. 93 179
Google Scholar
[4] Magureanu M, Bradu C, Piroi D, Mandache N B, Parvulescu V 2013 Plasma Chem. Plasma Process. 33 51
Google Scholar
[5] Whittaker A G, Graham E M, Baxter R L, Jones A C, Richardson P R, Meek G, Campbell G A, Aitken A, Baxter H C 2004 J. Hosp. Infect. 56 37
Google Scholar
[6] Santhanakrishnan A, Reasor D A, Lebeau R P 2009 Phys. Fluids 21 043602
Google Scholar
[7] Shukla P K, Mamun A 2015 Introduction to Dusty Plasma Physics (Boca Raton: CRC Press
[8] Zhang X, Zhang X F, Li H P, Wang L Y, Zhang C, Xing X H, Bao C Y 2014 Appl. Microbiol. Biotechnol. 98 5387
Google Scholar
[9] Chen Z Q, Liu M H, Xia G Q, Huang Y R 2012 IEEE Trans. Plasma Sci. 40 2861
Google Scholar
[10] Munro J J, Tennyson J 2008 J. Vac. Sci. Technol. A 26 865
Google Scholar
[11] Lu X P, Reuter S, Laroussi M, Liu D W 2019 Nonequilibrium Atmospheric Pressure Plasma Jets: Fundamentals, Diagnostics, and Medical Applications (Boca Raton: CRC Press
[12] Kong M G, Kroesen G, Morfill G, Nosenko T, Shimizu T, VanDijk J, Zimmermann J L 2009 New J. Phys. 11 115012
Google Scholar
[13] Ames W F 2014 Numerical Methods for Partial Differential Equations (Cambridge, MA: Academic Press
[14] Raissi M, Perdikaris P, Karniadakis G E 2019 J. Comput. Phys. 378 686
Google Scholar
[15] Wu C X, Zhu M, Tan Q Y, Kartha Y, Lu L 2023 Comput. Methods Appl. Mech. Eng. 403 115671
Google Scholar
[16] Li W K, Zhang Y T 2025 J. Appl. Phys. 137 20
[17] Li W, Zhang Y 2025 Phys. Fluids 37 077159
Google Scholar
[18] Kawaguchi S, Takahashi K, Ohkama H, Makabe T 2020 Plasma Sources Sci. Technol. 29 025021
Google Scholar
[19] Wu B, Zhong L 2022 Frontier Academic Forum of Electrical Engineering (Beijing: Chinese Society of Electrical Engineering) p1083
[20] 仲林林, 吴冰钰, 吴奇 2024 电工技术学报 39 3457
Zhong L L, Wu B Y, Wu Q 2024 Trans. China Electrotechn. Soc. 39 3457
[21] 方泽, 潘泳全, 戴栋, 张俊勃 2024 物理学报 73 145201
Google Scholar
Fang Z, Pan Y Q, Dai D, Zhang J B 2024 Acta Phys. Sin. 73 145201
Google Scholar
[22] Kwon H, Kim E, Cho S, Kwon D C, Choe H, Choi M 2024 East Asian J. Appl. Math. 14 636
[23] Zhang B Y, Cai G B, Weng H Y, Wang W Z, Liu L H, He B J 2023 Mach. Learn. Sci. Technol. 4 045015
Google Scholar
[24] Rutigliano N, Rossi R, Murari A, Gelfusa M, Craciunescu T, Mazon D, Gaudio, P 2025 Plasma Phys. Control. Fusion 67 065029
Google Scholar
[25] Rossi R, Gelfusa M, Murari A 2023 Nucl. Fusion 63 126059
Google Scholar
[26] Zhang Y T, Li Q Q, Lou J, Lou J and Li Q M 2010 Appl. Phys. Lett. 97 14
[27] Massines F, Rabehi A, Decomps P, Gadri R B, Ségur P, Mayoux C 1998 J. Appl. Phys. 83 2950
Google Scholar
[28] Vanraes P, Nikiforov A, Bogaerts A, Leys C 2018 Sci. Rep. 8 10919
Google Scholar
[29] Shi J J, Kong M G 2005 J. Appl. Phys. 97 023306
Google Scholar
[30] Yuan X H, Raja L L 2003 IEEE Trans. Plasma Sci. 31 495
Google Scholar
[31] Chen C Q, Yang Y H, Xiang Y, Hao W R 2025 J. Sci. Comput. 104 54
Google Scholar
[32] Tian Y J, Zhang Y Q, Zhang H B 2023 Mathematics 11 682
Google Scholar
[33] 王绪成, 李文凯, 艾飞, 刘志兵, 张远涛 2023 力学学报 55 2900
Wang X C, Li W K, Ai F, Liu Z B, Zhang Y T 2023 Chin. J. Theor. Appl. Mech. 55 2900
[34] Zhang Y T, Gao S H, Zhu Y Y 2023 J. Appl. Phys. 133 5
[35] Moritz P, Nishihara R, Jordan M 2016 Artif. Intell. Stat. 1 249
Catalog
Metrics
- Abstract views: 455
- PDF Downloads: 11
- Cited By: 0









DownLoad: