-
Dzyaloshinskii-Moriya相互作用(DMI)是一种源于自旋轨道耦合与结构反演对称破缺的非对称交换作用, 是诱导非共线磁序与手性磁结构的关键机制之一. 稀土-过渡金属亚铁磁材料兼具稀土元素的强自旋轨道耦合与过渡金属的强磁交换作用, 表现出超快磁化动力学、高度可调的磁结构以及丰富的自旋输运行为, 为研究与调控DMI提供了理想的材料平台, 在未来高密度磁存储与自旋电子学器件中展现出重要应用潜力. 本文系统阐述了DMI的微观物理起源, 概述了稀土-过渡金属亚铁磁材料的基本特性, 并深入探讨了DMI与亚铁磁序之间的耦合机制, 介绍了基于稀土-过渡金属亚铁磁材料DMI的斯格明子磁性隧道结和类脑神经计算等自旋电子学器件, 为发展面向未来的先进自旋电子技术提供了理论依据与技术指引.
-
关键词:
- 稀土-过渡金属材料 /
- 亚铁磁性 /
- Dzyaloshinskii-Moriya相互作用 /
- 自旋电子学
Magnetic exchange interactions and their induced magnetic structures are crucial factors in determining magnetization switching. Dzyaloshinskii-Moriya interaction (DMI) is an asymmetric exchange interaction arising from spin-orbit coupling and structural inversion symmetry breaking, which is one of the key mechanisms to induce non-collinear magnetic order and chiral magnetic structures, including magnetic Skyrmion, vortex and chiral domain wall. These magnetic structures enable novel information proceeding devices with ultralow power consumption. More importantly, non-collinear magnetic order exhibits richer and more novel physical behaviors than traditional collinear magnetic structures. With ongoing exploration and research into magnetic materials, rare-earth transition metal ferrimagnetic materials such as CoGd, CoTb, and GdFeCo have emerged as notable candidates. These materials combine the spin-orbit coupling of rare-earth elements with the magnetic exchange interactions of transition metals, leading to ultrafast magnetization dynamics, tunable magnetic structures, and rich spin transport phenomena. These properties provide an ideal material platform for studying and manipulating DMI, demonstrating significant potential in designing future high-density magnetic storage and spintronic devices. This review systematically elucidates the microscopic physical origin of DMI, outlines the fundamental characteristics of rare-earth transition metal ferrimagnetic materials, and explores the coupling mechanisms between DMI and ferrimagnetic order. We introduce the fundamental properties of RE-TM systems and their applications in spin logic devices and magnetic memory devices. We focus on discussing the physical phenomena related to DMI in RE-TM systems, including the scaling relationship of DMI in RE-TM, DMI-related spin-orbit torque effects, and the principles and applications of skyrmion-based devices, which will provide both theoretical foundations and technical guidance for the future development of advanced spintronic technologies.-
Keywords:
- rare-earth transition metal material /
- ferrimagnetism /
- Dzyaloshinskii-Moriya interaction /
- spintronics
[1] Hirohata A, Yamada K, Nakatani Y, Prejbeanu I L, Diény B, Pirro P, Hillebrands B 2020 J. Magn. Magn. Mater. 509 166711
Google Scholar
[2] Zhao Z Y, Lin Y J, Avsar A 2025 npj 2D Mater. Appl. 9 30
Google Scholar
[3] Peng S Z, Zhang Y, Wang M X, Zhang Y G, Zhao W 2014 Wiley Encyclopedia of Electrical and Electronics Engineering (John Wiley & Sons, Inc
Google Scholar
[4] Zhu L J, Ralph D C, Buhrman R A 2021 Appl. Phys. Rev. 8 031308
Google Scholar
[5] Camley R E, Livesey K L 2023 Surf. Sci. Rep. 78 100605
Google Scholar
[6] Fert A, Chshiev M, Thiaville A, Yang H 2023 J. Phys. Soc. Jpn. 92 081001
Google Scholar
[7] Mishra K K, Lone A H, Srinivasan S, Fariborzi H, Setti G 2025 Appl. Phys. Rev. 12 011315
Google Scholar
[8] Sala G, Gambardella P 2022 Adv. Mater. Interfaces 9 2201622
Google Scholar
[9] Dzyaloshinsky I 1958 J. Phys. Chem. Solids 4 241
Google Scholar
[10] Moriya T 1960 Phys. Rev. 120 91
Google Scholar
[11] Streubel R, Lambert C H, Kent N, Ercius P, N'Diaye A T, Ophus C, Salahuddin S, Fischer P 2018 Adv. Mater. 30 1800199
Google Scholar
[12] Montoya S A, Lubarda M V, Lomakin V 2022 Commun. Phys. 5 293
Google Scholar
[13] Fert A R 1991 Mater. Sci. Forum 59–60 439
Google Scholar
[14] Kuepferling M, Casiraghi A, Soares G, Durin G, Garcia-Sanchez F, Chen L, Back C H, Marrows C H, Tacchi S, Carlotti G 2023 Rev. Mod. Phys. 95 015003
Google Scholar
[15] Liu Q B, Liu L, Xing G Z, Zhu L J 2024 Nat. Commun. 15 2978
Google Scholar
[16] Meng Y F, Meng F, Hou M X, Zheng Q Q, Wang B Y, Zhu R G, Feng C, Yu G H 2024 J. Phys.: Condens. Matter 36
Google Scholar
[17] Yang H X, Liang J H, Cui Q R 2022 Nat. Rev. Phys. 5 43
Google Scholar
[18] Yang H X, Thiaville A, Rohart S, Fert A, Chshiev M 2015 Phys. Rev. Lett. 115 267210
Google Scholar
[19] Belabbes A, Bihlmayer G, Bechstedt F, Blügel S, Manchon A 2016 Phys. Rev. Lett. 117 247202
Google Scholar
[20] Zhu L J, Zhu L J, Ma X, Li X Q, Buhrman R A 2022 Commun. Phys. 5 151
Google Scholar
[21] Fernández-Pacheco A, Vedmedenko E, Ummelen F, Mansell R, Petit D, Cowburn R P 2019 Nat. Mater. 18 679
Google Scholar
[22] Han D S, Lee K, Hanke J P, Mokrousov Y, Kim K W, Yoo W, van Hees Y L W, Kim T W, Lavrijsen R, You C Y, Swagten H J M, Jung M H, Kläui M 2019 Nat. Mater. 18 703
Google Scholar
[23] Skrme T H R 1997 Proceedings of the Royal Society of London. Series A. Mathematical and Physical Sciences 260 127
Google Scholar
[24] Fert A, Reyren N, Cros V 2017 Nat. Rev. Mater. 2 17031
Google Scholar
[25] Varentcova A S, von Malottki S, Potkina M N, Kwiatkowski G, Heinze S, Bessarab P F 2020 npj Comput. Mater. 6 193
Google Scholar
[26] Dai B, Wu D, Razavi S A, Xu S, He H, Shu Q, Jackson M, Mahfouzi F, Huang H, Pan Q, Cheng Y, Qu T, Wang T, Tai L, Wong K, Kioussis N, Wang K L 2023 Sci. Adv. 9 eade6836
Google Scholar
[27] Guan S H, Liu Y, Hou Z P, Chen D Y, Fan Z, Zeng M, Lu X B, Gao X S, Qin M H, Liu J M 2023 Phys. Rev. B 107 214429
Google Scholar
[28] Erickson A, Zhang Q, Vakili H, Li C, Sarin S, Lamichhane S, Jia L, Fescenko I, Schwartz E, Liou S H, Shield J E, Chai G, Kovalev A A, Chen J, Laraoui A 2024 ACS Nano 18 31261
Google Scholar
[29] Gusev N S, Sadovnikov A V, Nikitov S A, Sapozhnikov M V, Udalov O G 2020 Phys. Rev. Lett. 124 157202
Google Scholar
[30] Torrejon J, Kim J, Sinha J, Mitani S, Hayashi M, Yamanouchi M, Ohno H 2014 Nat. Commun. 5 4655
Google Scholar
[31] Parkin S S P, Hayashi M, Thomas L 2008 Science 320 190
Google Scholar
[32] Zhang S, Baker A A, Komineas S, Hesjedal T 2015 Sci. Rep. 5 15773
Google Scholar
[33] Chen S, Lourembam J, Ho P, Toh A K J, Huang J, Chen X, Tan H K, Yap S L K, Lim R J J, Tan H R, Suraj T S, Sim M I, Toh Y T, Lim I, Lim N C B, Zhou J, Chung H J, Lim S T, Soumyanarayanan A 2024 Nature 627 522
Google Scholar
[34] Li S, Du A, Wang Y D, Wang X R, Zhang X Y, Cheng H Y, Cai W L, Lu S Y, Cao K H, Pan B, Lei N, Kang W, Liu J M, Fert A, Hou Z P, Zhao W S 2022 Sci. Bull. 67 691
Google Scholar
[35] Thiaville A, Rohart S, Jué É, Cros V, Fert A 2012 EPL (Europhysics Letters) 100 57002
Google Scholar
[36] Pai C F, Mann M, Tan A J, Beach G S D 2016 Phys. Rev. B 93 144409
Google Scholar
[37] Liu Q B, Zhu L J, Zhang X S, Muller D A, Ralph D C 2022 Appl. Phys. Rev. 9
Google Scholar
[38] Quessab Y, Xu J W, Morshed M G, Ghosh A W, Kent A D 2021 Adv. Sci. 8 2100481
Google Scholar
[39] Wu J X, Zhao X T, Liu W, Li Y, Liu L, Ju H Z, Song Y H, Ma J, Zhang Z D 2024 Adv. Electron. Mater. 10 2300726
Google Scholar
[40] Zhang R Q, Liao L Y, Chen X Z, Xu T, Cai L, Guo M H, Bai H, Sun L, Xue F H, Su J, Wang X, Wan C H, Bai H, Song Y X, Chen R Y, Chen N, Jiang W J, Kou X F, Cai J W, Wu H Q, Pan F, Song C 2020 Phys. Rev. B 101 214418
Google Scholar
[41] He W Q, Wan C H, Zheng C X, Wang Y Z, Wang X, Ma T Y, Wang Y Q, Guo C Y, Luo X M, Stebliy M E, Yu G Q, Liu Y W, Ognev A V, Samardak A S, Han X 2022 Nano Lett. 22 6857
Google Scholar
[42] Wang Y B, Zhang J Y, Zhang J Y, Zhao Y Z, Deng X, Zhu T, Luo J, Zhao G P, Zhao Y C, Dou P W, Zhang Y, Huang H, Zheng X Q, Wang X, Shen B G, Wang S G 2025 Adv. Funct. Mater. e09661
Google Scholar
[43] Kim S, Jang P H, Kim D H, Ishibashi M, Taniguchi T, Moriyama T, Kim K J, Lee K J, Ono T 2017 Phys. Rev. B 95 220402
Google Scholar
[44] Pizzini S, Vogel J, Rohart S, Buda-Prejbeanu L D, Jué E, Boulle O, Miron I M, Safeer C K, Auffret S, Gaudin G, Thiaville A 2014 Phys. Rev. Lett. 113 047203
Google Scholar
[45] Liang X, Wang Z Y, Yan P, Zhou Y 2022 Phys. Rev. B 106 224413
Google Scholar
[46] Jiang M X, Xu G F, Sun L, Niu H, Li C Z, Yang X, Ji T Z, Yang M, Cheng J, Ma J W, Chen G, Chai G Z, Miao B F, Ding H F 2025 Phys. Rev. B 112 L020409
Google Scholar
[47] Zou J, Bosco S, Thingstad E, Klinovaja J, Loss D 2024 Phys. Rev. Lett. 132 036701
Google Scholar
[48] Cai K M, Zhu Z F, Lee J M, Mishra R, Ren L Z, Pollard S D, He P, Liang G, Teo K L, Yang H 2020 Nat. Electron. 3 37
Google Scholar
[49] Morshed M G, Khoo K H, Quessab Y, Xu J W, Laskowski R, Balachandran P V, Kent A D, Ghosh A W 2021 Phys. Rev. B 103 174414
Google Scholar
[50] Ren X, Liu L, Cui B, Cheng B, Zhao X X, An T Y, Chu R Y, Zhang M F, Liu W K, Zhou G J, Kuai W J, Hu J F 2024 Adv. Electron. Mater. 10 2300752
Google Scholar
[51] Bläsing R, Ma T, Yang S H, Garg C, Dejene F K, N’Diaye A T, Chen G, Liu K, Parkin S S P 2018 Nat. Commun. 9 4984
Google Scholar
[52] Siddiqui S A, Han J, Finley J T, Ross C A, Liu L 2018 Phys. Rev. Lett. 121 057701
Google Scholar
[53] Binder M, Weber A, Mosendz O, Woltersdorf G, Izquierdo M, Neudecker I, Dahn J R, Hatchard T D, Thiele J U, Back C H, Scheinfein M R 2006 Phys. Rev. B 74 134404
Google Scholar
[54] Kim K J, Kim S K, Hirata Y, Oh S H, Tono T, Kim D H, Okuno T, Ham W S, Kim S, Go G, Tserkovnyak Y, Tsukamoto A, Moriyama T, Lee K J, Ono T 2017 Nat. Mater. 16 1187
Google Scholar
[55] Finley J, Liu L 2020 Appl. Phys. Lett. 116 110501
Google Scholar
[56] Timopheev A A, Sousa R, Chshiev M, Buda-Prejbeanu L D, Dieny B 2015 Phys. Rev. B 92 104430
Google Scholar
[57] Zhang X, Xu Z D, Zhu Z F 2024 Phys. Rev. B 110 184428
Google Scholar
[58] Mishra R, Yu J, Qiu X, Motapothula M, Venkatesan T, Yang H 2017 Phys. Rev. Lett. 118 167201
Google Scholar
[59] Zhu L J, Ralph D C 2023 Nat. Commun. 14 1778
Google Scholar
[60] Ren X, Liu L, Cui B, Cheng B, Liu W K, An T Y, Chu R Y, Zhang M F, Miao T T, Zhao X X, Zhou G J, Hu J F 2023 Nano Lett. 23 5927
Google Scholar
[61] Xie Z C, Yang Y M, Chen B Y, Zhao Z Y, Qin H R, Sun H L, Lei N, Zhao J H, Wei D H 2024 ACS Appl. Mater. Interfaces 16 27944
Google Scholar
[62] Lim Y, Khodadadi B, Li J F, Viehland D, Manchon A, Emori S 2021 Phys. Rev. B 103 024443
Google Scholar
[63] Yu J W, Bang D, Mishra R, Ramaswamy R, Oh J H, Park H J, Jeong Y, Van Thach P, Lee D K, Go G, Lee S W, Wang Y, Shi S Y, Qiu X P, Awano H, Lee K J, Yang H 2018 Nat. Mater. 18 29
Google Scholar
[64] Meng G C, Xie Z C, Yang Y M, Luo S L, Lei N, Wei D H, Zhao J H 2025 Adv. Funct. Mater. 2501767
Google Scholar
[65] Chen D D, Xu Y H, Tong S C, Zheng W H, Sun Y M, Lu J, Lei N, Wei D H, Zhao J H 2022 Phys. Rev. Mater. 6 014402
Google Scholar
[66] Han X, Wang Z X, Wang Y H, Wang D, Zheng L M, Zhao L, Huang Q K, Cao Q, Chen Y X, Bai L H, Xing G Z, Tian Y F, Yan S S 2024 Adv. Funct. Mater. 34 2404679
Google Scholar
[67] Wu C W, Cui S T, Guo Y Q, Zhang Z W, Zhang J, Deng X, Zeng G, Ren C T, Li P Z, Zhou X Q, Zhang X, Li J F, Zhu T, Han X F, Zhao J K, Wang H, Zhang Y, Liang S S, Wu H 2024 Adv. Mater. 37 2414139
Google Scholar
[68] Xie X J, Wang X J, Wang W, Zhao X N, Bai L H, Chen Y X, Tian Y F, Yan S S 2022 Adv. Mater. 35 2208275
Google Scholar
[69] Xu Y H, Chen D D, Tong S C, Chen H J, Qiu X P, Wei D H, Zhao J H 2020 Phys. Rev. Appl. 14 034064
Google Scholar
[70] Zhu W, Tang M, Pan C, Xie N, Li Y, Xu A, Zhang J, Fan W, Shi Z, Zhai K, Zhou S, Qiu X 2025 Adv. Funct. Mater. 2505415
Google Scholar
[71] Park J, Hirata Y, Kang J H, Lee S, Kim S, Van Phuoc C, Jeong J R, Park J, Park S Y, Jo Y, Tsukamoto A, Ono T, Kim S K, Kim K J 2021 Phys. Rev. B 103 014421
Google Scholar
[72] Zhang W, Hehn M, Peng Y, Gorchon J, Remy Q, Lin J X, Hohlfeld J, Malinowski G, Zhao W S, Mangin S 2025 Adv. Funct. Mater. e05423
Google Scholar
[73] Cao A, van Hees Y L W, Lavrijsen R, Zhao W, Koopmans B 2020 Phys. Rev. B 102 104412
Google Scholar
[74] Chatterjee J, Polley D, Pattabi A, Jang H, Salahuddin S, Bokor J 2021 Adv. Funct. Mater. 32 2107490
Google Scholar
[75] Wang S, Wei C, Feng Y, Cao H, Li W, Cao Y, Guan B O, Tsukamoto A, Kirilyuk A, Kimel A V, Li X 2021 Light Sci. Appl. 10 8
Google Scholar
[76] Ding S L, Kang M G, Legrand W, Gambardella P 2024 Phys. Rev. Lett. 132 236702
Google Scholar
[77] Zhang Z Z, Zhu Y Z, Zhang Y, Zhang K, Nan J, Zheng Z Y, Zhang Y G, Zhao W S 2019 IEEE Electron Device Lett. 40 1984
Google Scholar
[78] Dong Y Q, Xu T, Zhou H A, Cai L, Wu H Q, Tang J S, Jiang W J 2020 Adv. Funct. Mater. 31 2007485
Google Scholar
[79] Liu J, Xu T, Feng H, Zhao L, Tang J, Fang L, Jiang W 2021 Adv. Funct. Mater. 32 2107870
Google Scholar
[80] Zhang Z Z, Zheng Z Y, Zhang Y, Sun J Y, Lin K L, Zhang K, Feng X Q, Chen L, Wang J K, Wang G D, Du Y C, Zhang Y G, Bournel A, Amiri P K, Zhao W S 2021 IEEE Electron Device Lett. 42 152
Google Scholar
[81] Zheng Z Y, Zhang Y, Feng X Q, Zhang K, Nan J, Zhang Z Z, Wang G D, Wang J K, Lei N, Liu D J, Zhang Y G, Zhao W S 2019 Phys. Rev. Appl. 12 044032
Google Scholar
[82] Shen L C, Zhou Y, Shen K 2022 Appl. Phys. Lett. 121 092403
Google Scholar
[83] Chen T S, Dumas R K, Eklund A, Muduli P K, Houshang A, Awad A A, Durrenfeld P, Malm B G, Rusu A, Akerman J 2016 Proc. IEEE 104 1919
Google Scholar
[84] Jiang S, Yao L R, Wang S, Wang D, Liu L, Kumar A, Awad A A, Litvinenko A, Ahlberg M, Khymyn R, Chung S, Xing G Z, Åkerman J 2024 Appl. Phys. Rev. 11 041309
Google Scholar
[85] Shi J L, Jin Z H, Chen G Y, Luo X, Xing G Z, Chen J M 2025 Sci. China Phys. , Mech. Astron. 68 247501
Google Scholar
[86] Shen L C, Qiu L, Shen K 2024 npj Comput. Mater. 10 48
Google Scholar
[87] Nembach H T, Shaw J M, Weiler M, Jué E, Silva T J 2015 Nat. Phys. 11 825
Google Scholar
[88] Rózsa L, Atxitia U, Nowak U 2017 Phys. Rev. B 96 094436
Google Scholar
[89] Schlotter S, Agrawal P, Beach G S D 2018 Appl. Phys. Lett. 113 092402
Google Scholar
[90] Zhang Y B, Kong X J, Xu G F, Jin Y, Jiang C J, Chai G Z 2022 J. Phys. D: Appl. Phys. 55 195304
Google Scholar
[91] Mansuripur M, Ruane M 1986 IEEE Trans. Magn. 22 33
Google Scholar
[92] Zhao Z Y, Su D, Lin T, Xie Z C, Zhao D, Zhao J H, Lei N, Wei D H 2023 Phys. Rev. Appl. 19 044037
Google Scholar
[93] Lee J Y, Punkkinen M P J, Schönecker S, Nabi Z, Kádas K, Zólyomi V, Koo Y M, Hu Q M, Ahuja R, Johansson B, Kollár J, Vitos L, Kwon S K 2018 Surf. Sci. 674 51
Google Scholar
[94] Kim D H, Haruta M, Ko H W, Go G, Park H J, Nishimura T, Kim D Y, Okuno T, Hirata Y, Futakawa Y, Yoshikawa H, Ham W, Kim S, Kurata H, Tsukamoto A, Shiota Y, Moriyama T, Choe S B, Lee K J, Ono T 2019 Nat. Mater. 18 685
Google Scholar
[95] Zhao Z Y, Xie Z C, Sun Y M, Yang Y M, Cao Y, Liu L, Pan D, Lei N, Wei Z M, Zhao J H, Wei D H 2023 Phys. Rev. B 108 024429
Google Scholar
[96] Zheng Z Y, Zhang Y, Lopez-Dominguez V, Sánchez-Tejerina L, Shi J C, Feng X Q, Chen L, Wang Z L, Zhang Z Z, Zhang K, Hong B, Xu Y, Zhang Y G, Carpentieri M, Fert A, Finocchio G, Zhao W S, Khalili Amiri P 2021 Nat. Commun. 12 4555
Google Scholar
[97] Vermeulen B B, Gama Monteiro M, Giuliano D, Sorée B, Couet S, Temst K, Nguyen V D 2024 Phys. Rev. Appl. 21 024050
Google Scholar
[98] Wu H, Nance J, Razavi S A, Lujan D, Dai B Q, Liu Y X, He H R, Cui B S, Wu D, Wong K, Sobotkiewich K, Li X Q, Carman G P, Wang K L 2020 Nano Lett. 21 515
Google Scholar
[99] Guo Y Q, Zhang J, Balakrishnan P P, Grutter A J, Yang B S, Fitzsimmons M R, Charlton T R, Ambaye H, Zhang X, Huang H S, Huang Z, Chen J Y, Guo C Y, Han X F, Wang K L, Wu H 2024 Phys. Rev. Appl. 21 014045
Google Scholar
[100] Zeng G, Wen Y, Wu C W, Ren C T, Meng D Q, Zhang J, Li W D, Wang H, Luo W, Zhang Y, Dong K F, Wu H, Liang S H 2023 ACS Appl. Electron. Mater. 5 4168
Google Scholar
[101] Kim H J, Moon K W, Tran B X, Yoon S, Kim C, Yang S, Ha J H, An K, Ju T S, Hong J I, Hwang C 2022 Adv. Funct. Mater. 32 2112561
Google Scholar
[102] Liu L, Song Y H, Zhao X T, Liu W, Zhang Z D 2022 Adv. Funct. Mater. 32 2200328
Google Scholar
[103] Yang S, Zhao Y L, Zhang X C, Xing X J, Du H F, Li X G, Mochizuki M, Xu X H, Åkerman J, Zhou Y 2024 Appl. Phys. Rev. 11 041335
Google Scholar
[104] Chen G 2017 Nat. Phys. 13 112
Google Scholar
[105] Jiang W J, Zhang X C, Yu G Q, Zhang W, Wang X, Benjamin Jungfleisch M, Pearson John E, Cheng X M, Heinonen O, Wang K L, Zhou Y, Hoffmann A, te Velthuis Suzanne G E 2016 Nat. Phys. 13 162
Google Scholar
[106] Kim K, Lee S H, Shin Y, Kim J W, Park J H, Chang J Y, Choe S B 2023 Appl. Phys. Express 16 033001
Google Scholar
[107] Hirata Y, Kim D H, Kim S K, Lee D K, Oh S H, Kim D Y, Nishimura T, Okuno T, Futakawa Y, Yoshikawa H, Tsukamoto A, Tserkovnyak Y, Shiota Y, Moriyama T, Choe S B, Lee K J, Ono T 2019 Nat. Nanotechnol. 14 232
Google Scholar
[108] Kim S K, Lee K J, Tserkovnyak Y 2017 Phys. Rev. B 95 140404
Google Scholar
[109] Tretiakov O A, Clarke D, Chern G W, Bazaliy Y B, Tchernyshyov O 2008 Phys. Rev. Lett. 100 127204
Google Scholar
[110] Chang Y H, Hao H Y, Wu H L, Zuo Y L, Wu H, Hou Z P, Yu G Q, Liu X X, Xi L, Zhang S F, Cui B S 2025 Adv. Funct. Mater. 35 2421771
Google Scholar
[111] Zhang X D, Wan G, Zhang J, Zhang Y F, Pan J B, Du S X 2024 Nano Lett. 24 10796
Google Scholar
[112] Woo S, Song K M, Zhang X, Zhou Y, Ezawa M, Liu X, Finizio S, Raabe J, Lee N J, Kim S I, Park S Y, Kim Y, Kim J Y, Lee D, Lee O, Choi J W, Min B C, Koo H C, Chang J 2018 Nat. Commun. 9 959
Google Scholar
[113] Caretta L, Mann M, Büttner F, Ueda K, Pfau B, Günther C M, Hessing P, Churikova A, Klose C, Schneider M, Engel D, Marcus C, Bono D, Bagschik K, Eisebitt S, Beach G S D 2018 Nat. Nanotechnol. 13 1154
Google Scholar
[114] Quessab Y, Xu J W, Cogulu E, Finizio S, Raabe J, Kent A D 2022 Nano Lett. 22 6091
Google Scholar
[115] Mallick S, Sassi Y, Prestes N F, Krishnia S, Gallego F, M. Vicente Arche L, Denneulin T, Collin S, Bouzehouane K, Thiaville A, Dunin-Borkowski R E, Jeudy V, Fert A, Reyren N, Cros V 2024 Nat. Commun. 15 8472
Google Scholar
[116] Xu T, Zhang Y X, Wang Z D, Bai H, Song C K, Liu J H, Zhou Y, Je S G, N’Diaye A T, Im M Y, Yu R, Chen Z, Jiang W J 2023 ACS Nano 17 7920
Google Scholar
[117] Zhang J Y, Dou P W, Xu J W, Jiang J L, Du H F, Zhu T, Luo J, Zhao G P, Wang Y B, Qiu Q G, Feng L Y, Deng X, Ma T P, Zhou S M, Shen B G, Wang S G 2025 Adv. Mater. 37 2413700
Google Scholar
[118] Li Z L, Su J, Lin S Z, Liu D, Gao Y, Wang S G, Wei H X, Zhao T Y, Zhang Y, Cai J W, Shen B G 2021 Nat. Commun. 12 5604
Google Scholar
[119] Zuo S L, Qiao K M, Zhang Y, Li Z L, Zhao T Y, Jiang C B, Shen B G 2022 Adv. Sci. 10 2205574
Google Scholar
[120] Lin T, Zhang X Y, Vernier N, Wang X R, Dong E X, Chen C, Niu J T, Sun Y M, Yang L, Zheng W H, Su D, Lei N, Zhao W S 2022 Phys. Rev. B 106 184407
Google Scholar
[121] Pöllath S, Lin T, Lei N, Zhao W, Zweck J, Back C H 2020 Ultramicroscopy 212 112973
Google Scholar
[122] Song K M, Jeong J S, Pan B, Zhang X, Xia J, Cha S, Park T E, Kim K, Finizio S, Raabe J, Chang J, Zhou Y, Zhao W, Kang W, Ju H, Woo S 2020 Nat. Electron. 3 148
Google Scholar
[123] Sun Y M, Lin T, Lei N, Chen X, Kang W, Zhao Z Y, Wei D H, Chen C, Pang S M, Hu L L, Yang L, Dong E X, Zhao L, Liu L, Yuan Z, Ullrich A, Back C H, Zhang J, Pan D, Zhao J H, Feng M, Fert A, Zhao W S 2023 Nat. Commun. 14 3434
Google Scholar
-
图 3 (a), (b) Bloch与Néel型斯格明子的构型示意图; (c) 由DMI、磁各向异性和磁弹各向异性、Heisenberg交换作用决定的磁构型相图, 斯格明子仅在K/J和D/J处于恰当的比例时可以稳定存在, 出自文献[25], 已获得授权; (d) 基于斯格明子的赛道存储器结构示意图, 出自文献[32], 已获得授权
Fig. 3. (a), (b) Schematic illustrations of Bloch and Néel type Skyrmion; (c) magnetic phase diagram determined by DMI, magnetic anisotropy, magnetoelastic anisotropy, and Heisenberg exchange interactions, where Skyrmion was stabled when K/J and D/J are at certain ratio, reproduced with permission from Ref. [25]; (d) schematic illustration of Skyrmion-based racetrack memory structure, reproduced with permission from Ref. [32].
图 4 (a)垂直磁各向异性的HM/FM异质结中电流驱动畴壁位移的示意图, 对于Néel 型畴壁, 无面内场时两侧畴壁在电流驱动下沿同一方向运动(上图), 需要施加面内场才能够发生磁畴扩张(下图), 出自文献[36], 已获得授权; (b) [FM/HM]n结构中沿着平行于DMI矢量的方向进行镜面操作的示意图, 出自文献[41], 已获得授权; (c)由DMI打破体系对称破缺从而实现的垂直无场翻转, 翻转极性由施加电流方向决定, 出自文献[41], 已获得授权; (d) L10-FePt中由无序度梯度引起的DMI, 严格有序的晶体中上下两层DMI完全抵消(上图), 引入无序DMI不完全抵消产生净DMI强度(下图), 出自文献[42], 已获得授权; (e)无序度梯度DMI实现的垂直无场翻转, 翻转比率随无序度梯度增大而增大, 出自文献[42], 已获得授权
Fig. 4. (a) Schematic illustration of current-driven domain wall motion in HM/FM heterostructures with perpendicular magnetic anisotropy, for Néel-type domain walls, in the absence of an in-plane field, the domain walls on both sides move in the same direction under current drive (top panel), while the application of an in-plane field is required for domain expansion to occur (bottom panel), reproduced with permission from Ref. [36]; (b) schematic illustration of mirror operation along the direction parallel to the DMI vector in [FM/HM]n structures, reproduced with permission from Ref. [41]; (c) deterministic switching achieved by DMI-induced symmetry breaking, with the switching polarity determined by the direction of the applied current, reproduced with permission from Ref. [41]; (d) DMI in L10-FePt induced by disorder gradient, in perfectly ordered crystals, the DMI from the upper and lower layers completely cancel (top panel); introducing disorder leads to incomplete cancellation resulting in a net DMI strength (bottom panel), reproduced with permission from Ref. [42]; (e) zero-field switching by disorder-gradient-induced DMI, with the switching ratio increasing as disorder gradient increases, reproduced with permission from Ref. [42].
图 5 3种DMI常数测定方法 (a)—(c) 形核场法, 出自文献[43], 已获得授权; (d)—(f) Brillouin光散射法[14]; (g)—(i) 自旋轨道矩法, 出自文献[14], 已获得授权
Fig. 5. Three methods to determine DMI constant: (a)–(c) Nucleation method, reproduced with permission from Ref. [43]; (d)–(f) Brillouin light scattering method[14]; (g)–(i) spin-orbit torque method, were reproduced with permission from Ref. [14].
图 6 (a) CoGd RE-TM亚铁磁子晶格示意图; (b) RE-TM中3d-4f电子反铁磁耦合的示意图, 出自文献[8], 已获得授权; (c) CoGd的磁矩补偿点, Ms接近零且χ发散, 出自文献[58], 已获得授权; (d) FexTb1–x中随组分变化的Ms与SOT效率ξ, 在磁矩补偿点附近ξ接近零[59]; (e) 自旋轨道散射对SOT效率ξ的影响示意图[59]; (f) 自旋在铁磁层中弛豫过程的示意图[59]; (g) CoGd磁矩补偿点处的SMR信号[69]; (h) CoGd补偿点附近的反常SMR信号[65]; (i) [Co/Gd]n磁矩共线相和Spin Flop相的示意图[64]; (j) [Co/Gd]10在不同外磁场和温度下的磁结构相图[64]; (k) CoTb/CoFeB/MgO/CoFeB结构随温度变化的TMR信号, 在212 K以上为正TMR比率, 212 K以下为负TMR比率, 出自文献[70], 已获得授权
Fig. 6. (a) Schematic illustration of the CoGd RE-TM ferrimagnetic sublattice[48]; (b) schematic illustration of 3d-4f antiferromagnetic coupling in RE-TM, reproduced with permission from Ref. [8]; (c) magnetic compensation point of CoGd, where χ diverges as Ms close to zero, reproduced with permission from Ref. [58]; (d) variation of Ms and SOT efficiency ξ with composition in FexTb1–x, with ξ approaching zero near the magnetic moment compensation point[59]; (e) schematic of the effect of spin-orbit scattering on SOT efficiency ξ[59]; (f) schematic of spin relaxation process in the ferromagnetic layer[59]; (g) SMR signal at the magnetic compensation point of CoGd[69]; (h) unconventional SMR signals near the compensation point of CoGd[65]; (i) schematic illustration of the collinear and Spin Flop phases of [Co/Gd]n[64]; (j) magnetic phase diagram of [Co/Gd]10 under different external magnetic field and temperature [64]; (k) temperature dependence of TMR ratio of CoTb/CoFeB/MgO/CoFeB structure, with a positive TMR ratio above 212 K and negative below 212 K, reproduced with permission from Ref. [70].
图 7 (a) 具有不同组分的[Pt/FexTb1–x/SiN]3堆叠示意图, 出自文献[78], 已获得授权; (b) 器件的AHE电阻(左)和电流驱动的磁化翻转曲线(右), 均展现出8种不同的磁化状态, 出自文献[78], 已获得授权; (c) 左上为标准2—4解码器的电路图, 电流为输入信号, AHE电阻为输出信号, 面内辅助场作为使能端; 左下为实际器件的光学显微镜图像; 右图为相应的真值表, 出自文献[78], 已获得授权; (d) 基于CoTb的IMC器件示意图, a—d层为配置模块(configuration modules, CFM), e和f层为计算模块(computing module, CPM)[80]; (e) 正电流范围内SOT翻转曲线的微磁学模拟结果; (f) 器件在低电流密度下实现的XOR逻辑门[80]
Fig. 7. (a) Schematic illustration of [Pt/FexTb1-x/SiN]3 stacks with different FeTb compositions, reproduced with permission from Ref. [78]; (b) measured AHE resistance (left) and current-driven magnetization switching curves (right), both exhibits eight distinct magnetization states, reproduced with permission from Ref. [78]; (c) top left represents circuit diagram of a standard 2–4 decoder, with current as the input signal, AHE resistance as the output signal and in-plane auxiliary field as the enable terminal; bottom left represents optical microscope image of the device; right represents corresponding truth table, reproduced with permission from Ref. [78]; (d) schematic of CoTb-based IMC device, where layers a–d serve as configuration modules (CFM) and layers e and f as computing modules (CPM)[80]; (e) micromagnetic simulation results of SOT switching curves in the positive current range[80]; (f) XOR logic gate realized at low current densities[80].
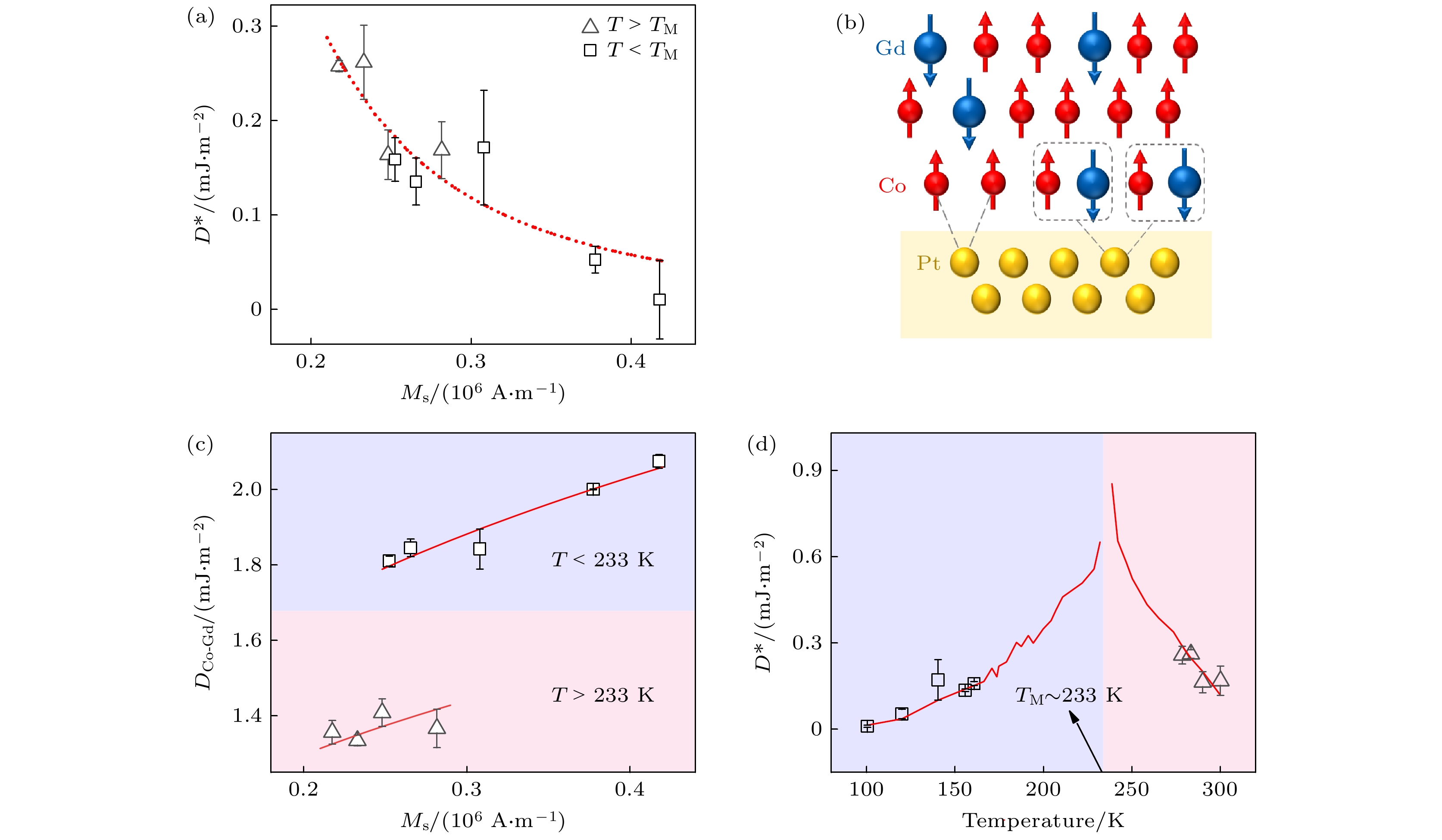
图 8 (a) CoGd合金中有效DMI强度D*与净磁化强度Ms的负幂指数标度关系; (b) CoGd合金中相互竞争的子晶格磁矩以及Fert-Levy模型示意图; (c) Co-Gd磁矩的DMI贡献; (d) 有效DMI强度随温度的变化关系[92]
Fig. 8. (a) Negative scaling law between effective DMI strength D* and net magnetization Ms in CoGd alloys; (b) illustration of competitive sublattice moments and the Fert-Levy models in CoGd alloy; (c) DMI contribution of Co-Gd moments in Pt/Co0.7Gd0.3 heterostructure; (d) temperature dependence of the effective DMI strength[92].
图 9 (a) [Co/Tb]N界面化学组分梯度示意图, 红色曲线表示Tb原子的不对称分布[95]; (b) [Co/Tb]N中平均界面化学组分梯度$ \overline{\delta } $与层数N的依赖关系[95]; (c) [Co/Tb]N多层膜DMI的界面贡献随层数N的变化[95]; (d) [Co/Tb]N中DMI强度与净磁化强度之间的标度关系[95]
Fig. 9. (a) Schematic illustration of interfacial chemical composition gradient of [Co/Tb]N, with the red curve representing asymmetric distribution of Tb atoms[95]; (b) average interfacial chemical composition gradient $ \overline{\delta } $ plotted with layer number N in [Co/Tb]N [95]; (c) variation of the interfacial contribution to DMI in [Co/Tb]N multilayers with layer number N [95]; (d) scaling law between DMI strength and net magnetization in [Co/Tb]N [95].
图 10 (a) 具有垂直组分梯度δ的CoTb示意图[96]; (b) 不同面内磁场下, 组分梯度δ = 0.07的CoTb的SOT翻转曲线, 在零场处可实现接近100%翻转[96]; (c) 在电流驱动下由组分梯度导致的非共线自旋纹理, 系统将出现额外的DMI能量, DMI的正负决定磁矩排布的手性, 出自文献[98], 已获得授权; (d) 在Ta/Gdx(FeCo)1–x面内方向上的组分梯度导致Ms梯度的示意图, 出自文献[98], 已获得授权; (e) Ta/Gdx(FeCo)1–x在不同面内场下的SOT翻转曲线, 出自文献[98], 已获得授权
Fig. 10. (a) Schematic illustration of CoTb with vertical composition gradient δ [96]; (b) SOT switching of CoTb with composition gradient δ = 0.07 under different in-plane magnetic fields, demonstrating nearly 100% switching at zero field[96]; (c) non-collinear spin textures caused by component gradients will result in a additional DMI energy, with the sign of the DMI determining the chirality of the magnetic moment arrangement, reproduced with permission from Ref. [98]; (d) schematic illustration of the Ms gradient caused by the in-plane composition gradient in Ta/Gdx(FeCo)1–x, reproduced with permission from Ref. [98]; (e) SOT switching of Ta/Gdx(FeCo)1–x under different in-plane magnetic fields, reproduced with permission from Ref. [98].
图 11 (a) SkHE的示意图, 斯格明子的实际运动轨迹显著偏离电流方向; (b) Pt/CoGd/Ta中SOT驱动斯格明子运动的MOKE图像, 在正电流(上图)和负电流(下图)条件下运动方向相反, 出自文献[114], 已获得授权; (c) Pt/CoGd/Ta(W)的畴壁位移速度和电流密度的关系, 出自文献[114], 已获得授权; (d) [Pt/Co/Tb/Al]5中SOT驱动斯格明子运动的MOKE图[115]; (e) [Pt/Co/Tb/Al]5中不同厚度Tb样品的平均斯格明子运动速度与电流密度之间的关系; (f) [Pt/Co/Tb]x中偶极耦合与反铁磁交换耦合的示意图[115]
Fig. 11. (a) Schematic illustration of SkHE, demonstrating that the trajectory of the Skyrmion significantly deviates from the current direction; (b) MOKE images of SOT-driven Skyrmion motion in Pt/CoGd/Ta, which exhibits opposite directions under positive current (top panel) and negative current (bottom panel)[114], reproduced with permission from Ref. [114]; (c) relationship between domain wall displacement velocity and current density in Pt/CoGd/Ta(W)[114], reproduced with permission from Ref. [114]; (d) MOKE images of SOT-driven Skyrmion motion in [Pt/Co/Tb/Al]5[115]; (e) relationship between average Skyrmion velocity and current density in [Pt/Co/Tb/Al]5 for Tb samples of different thicknesses; (k) schematic illustration of dipolar coupling and antiferromagnetic exchange coupling in [Pt/Co/Tb]x[115].
图 12 (a) 斯格明子增强应变介导自旋电子RC系统的示意图[123]; (b) 不同电场下斯格明子的磁力显微镜图像(上图)和相应的斯格明子轮廓(下图)[123]
Fig. 12. (a) Schematic of a Skyrmion-enhanced strain-mediated spintronic RC system[123]; (b) magnetic force microscopy images of Skyrmion under different electric fields (top panel) and the corresponding Skyrmion contours (bottom panel)[123].
表 1 不同RE-TM合金中TM-TM, RE-TM以及RE-RE原子间的Heisenberg交换积分数值[91]
Table 1. Heisenberg exchange integrals for TM-TM, RE-TM, and RE-RE in RE-TM alloys[91].
材料体系 JTM-TM/erg JRE-TM/erg JRE-RE/erg CoGd 28.0×10–15 –2.2×10–15 0.5×10–15 FeGd ±12.0×10–15 –1.7×10–15 0.5×10–15 FeTb ±8.5×10–15 –1.0×10–15 0.5×10–15 注: 1 erg = 10–7 J. -
[1] Hirohata A, Yamada K, Nakatani Y, Prejbeanu I L, Diény B, Pirro P, Hillebrands B 2020 J. Magn. Magn. Mater. 509 166711
Google Scholar
[2] Zhao Z Y, Lin Y J, Avsar A 2025 npj 2D Mater. Appl. 9 30
Google Scholar
[3] Peng S Z, Zhang Y, Wang M X, Zhang Y G, Zhao W 2014 Wiley Encyclopedia of Electrical and Electronics Engineering (John Wiley & Sons, Inc
Google Scholar
[4] Zhu L J, Ralph D C, Buhrman R A 2021 Appl. Phys. Rev. 8 031308
Google Scholar
[5] Camley R E, Livesey K L 2023 Surf. Sci. Rep. 78 100605
Google Scholar
[6] Fert A, Chshiev M, Thiaville A, Yang H 2023 J. Phys. Soc. Jpn. 92 081001
Google Scholar
[7] Mishra K K, Lone A H, Srinivasan S, Fariborzi H, Setti G 2025 Appl. Phys. Rev. 12 011315
Google Scholar
[8] Sala G, Gambardella P 2022 Adv. Mater. Interfaces 9 2201622
Google Scholar
[9] Dzyaloshinsky I 1958 J. Phys. Chem. Solids 4 241
Google Scholar
[10] Moriya T 1960 Phys. Rev. 120 91
Google Scholar
[11] Streubel R, Lambert C H, Kent N, Ercius P, N'Diaye A T, Ophus C, Salahuddin S, Fischer P 2018 Adv. Mater. 30 1800199
Google Scholar
[12] Montoya S A, Lubarda M V, Lomakin V 2022 Commun. Phys. 5 293
Google Scholar
[13] Fert A R 1991 Mater. Sci. Forum 59–60 439
Google Scholar
[14] Kuepferling M, Casiraghi A, Soares G, Durin G, Garcia-Sanchez F, Chen L, Back C H, Marrows C H, Tacchi S, Carlotti G 2023 Rev. Mod. Phys. 95 015003
Google Scholar
[15] Liu Q B, Liu L, Xing G Z, Zhu L J 2024 Nat. Commun. 15 2978
Google Scholar
[16] Meng Y F, Meng F, Hou M X, Zheng Q Q, Wang B Y, Zhu R G, Feng C, Yu G H 2024 J. Phys.: Condens. Matter 36
Google Scholar
[17] Yang H X, Liang J H, Cui Q R 2022 Nat. Rev. Phys. 5 43
Google Scholar
[18] Yang H X, Thiaville A, Rohart S, Fert A, Chshiev M 2015 Phys. Rev. Lett. 115 267210
Google Scholar
[19] Belabbes A, Bihlmayer G, Bechstedt F, Blügel S, Manchon A 2016 Phys. Rev. Lett. 117 247202
Google Scholar
[20] Zhu L J, Zhu L J, Ma X, Li X Q, Buhrman R A 2022 Commun. Phys. 5 151
Google Scholar
[21] Fernández-Pacheco A, Vedmedenko E, Ummelen F, Mansell R, Petit D, Cowburn R P 2019 Nat. Mater. 18 679
Google Scholar
[22] Han D S, Lee K, Hanke J P, Mokrousov Y, Kim K W, Yoo W, van Hees Y L W, Kim T W, Lavrijsen R, You C Y, Swagten H J M, Jung M H, Kläui M 2019 Nat. Mater. 18 703
Google Scholar
[23] Skrme T H R 1997 Proceedings of the Royal Society of London. Series A. Mathematical and Physical Sciences 260 127
Google Scholar
[24] Fert A, Reyren N, Cros V 2017 Nat. Rev. Mater. 2 17031
Google Scholar
[25] Varentcova A S, von Malottki S, Potkina M N, Kwiatkowski G, Heinze S, Bessarab P F 2020 npj Comput. Mater. 6 193
Google Scholar
[26] Dai B, Wu D, Razavi S A, Xu S, He H, Shu Q, Jackson M, Mahfouzi F, Huang H, Pan Q, Cheng Y, Qu T, Wang T, Tai L, Wong K, Kioussis N, Wang K L 2023 Sci. Adv. 9 eade6836
Google Scholar
[27] Guan S H, Liu Y, Hou Z P, Chen D Y, Fan Z, Zeng M, Lu X B, Gao X S, Qin M H, Liu J M 2023 Phys. Rev. B 107 214429
Google Scholar
[28] Erickson A, Zhang Q, Vakili H, Li C, Sarin S, Lamichhane S, Jia L, Fescenko I, Schwartz E, Liou S H, Shield J E, Chai G, Kovalev A A, Chen J, Laraoui A 2024 ACS Nano 18 31261
Google Scholar
[29] Gusev N S, Sadovnikov A V, Nikitov S A, Sapozhnikov M V, Udalov O G 2020 Phys. Rev. Lett. 124 157202
Google Scholar
[30] Torrejon J, Kim J, Sinha J, Mitani S, Hayashi M, Yamanouchi M, Ohno H 2014 Nat. Commun. 5 4655
Google Scholar
[31] Parkin S S P, Hayashi M, Thomas L 2008 Science 320 190
Google Scholar
[32] Zhang S, Baker A A, Komineas S, Hesjedal T 2015 Sci. Rep. 5 15773
Google Scholar
[33] Chen S, Lourembam J, Ho P, Toh A K J, Huang J, Chen X, Tan H K, Yap S L K, Lim R J J, Tan H R, Suraj T S, Sim M I, Toh Y T, Lim I, Lim N C B, Zhou J, Chung H J, Lim S T, Soumyanarayanan A 2024 Nature 627 522
Google Scholar
[34] Li S, Du A, Wang Y D, Wang X R, Zhang X Y, Cheng H Y, Cai W L, Lu S Y, Cao K H, Pan B, Lei N, Kang W, Liu J M, Fert A, Hou Z P, Zhao W S 2022 Sci. Bull. 67 691
Google Scholar
[35] Thiaville A, Rohart S, Jué É, Cros V, Fert A 2012 EPL (Europhysics Letters) 100 57002
Google Scholar
[36] Pai C F, Mann M, Tan A J, Beach G S D 2016 Phys. Rev. B 93 144409
Google Scholar
[37] Liu Q B, Zhu L J, Zhang X S, Muller D A, Ralph D C 2022 Appl. Phys. Rev. 9
Google Scholar
[38] Quessab Y, Xu J W, Morshed M G, Ghosh A W, Kent A D 2021 Adv. Sci. 8 2100481
Google Scholar
[39] Wu J X, Zhao X T, Liu W, Li Y, Liu L, Ju H Z, Song Y H, Ma J, Zhang Z D 2024 Adv. Electron. Mater. 10 2300726
Google Scholar
[40] Zhang R Q, Liao L Y, Chen X Z, Xu T, Cai L, Guo M H, Bai H, Sun L, Xue F H, Su J, Wang X, Wan C H, Bai H, Song Y X, Chen R Y, Chen N, Jiang W J, Kou X F, Cai J W, Wu H Q, Pan F, Song C 2020 Phys. Rev. B 101 214418
Google Scholar
[41] He W Q, Wan C H, Zheng C X, Wang Y Z, Wang X, Ma T Y, Wang Y Q, Guo C Y, Luo X M, Stebliy M E, Yu G Q, Liu Y W, Ognev A V, Samardak A S, Han X 2022 Nano Lett. 22 6857
Google Scholar
[42] Wang Y B, Zhang J Y, Zhang J Y, Zhao Y Z, Deng X, Zhu T, Luo J, Zhao G P, Zhao Y C, Dou P W, Zhang Y, Huang H, Zheng X Q, Wang X, Shen B G, Wang S G 2025 Adv. Funct. Mater. e09661
Google Scholar
[43] Kim S, Jang P H, Kim D H, Ishibashi M, Taniguchi T, Moriyama T, Kim K J, Lee K J, Ono T 2017 Phys. Rev. B 95 220402
Google Scholar
[44] Pizzini S, Vogel J, Rohart S, Buda-Prejbeanu L D, Jué E, Boulle O, Miron I M, Safeer C K, Auffret S, Gaudin G, Thiaville A 2014 Phys. Rev. Lett. 113 047203
Google Scholar
[45] Liang X, Wang Z Y, Yan P, Zhou Y 2022 Phys. Rev. B 106 224413
Google Scholar
[46] Jiang M X, Xu G F, Sun L, Niu H, Li C Z, Yang X, Ji T Z, Yang M, Cheng J, Ma J W, Chen G, Chai G Z, Miao B F, Ding H F 2025 Phys. Rev. B 112 L020409
Google Scholar
[47] Zou J, Bosco S, Thingstad E, Klinovaja J, Loss D 2024 Phys. Rev. Lett. 132 036701
Google Scholar
[48] Cai K M, Zhu Z F, Lee J M, Mishra R, Ren L Z, Pollard S D, He P, Liang G, Teo K L, Yang H 2020 Nat. Electron. 3 37
Google Scholar
[49] Morshed M G, Khoo K H, Quessab Y, Xu J W, Laskowski R, Balachandran P V, Kent A D, Ghosh A W 2021 Phys. Rev. B 103 174414
Google Scholar
[50] Ren X, Liu L, Cui B, Cheng B, Zhao X X, An T Y, Chu R Y, Zhang M F, Liu W K, Zhou G J, Kuai W J, Hu J F 2024 Adv. Electron. Mater. 10 2300752
Google Scholar
[51] Bläsing R, Ma T, Yang S H, Garg C, Dejene F K, N’Diaye A T, Chen G, Liu K, Parkin S S P 2018 Nat. Commun. 9 4984
Google Scholar
[52] Siddiqui S A, Han J, Finley J T, Ross C A, Liu L 2018 Phys. Rev. Lett. 121 057701
Google Scholar
[53] Binder M, Weber A, Mosendz O, Woltersdorf G, Izquierdo M, Neudecker I, Dahn J R, Hatchard T D, Thiele J U, Back C H, Scheinfein M R 2006 Phys. Rev. B 74 134404
Google Scholar
[54] Kim K J, Kim S K, Hirata Y, Oh S H, Tono T, Kim D H, Okuno T, Ham W S, Kim S, Go G, Tserkovnyak Y, Tsukamoto A, Moriyama T, Lee K J, Ono T 2017 Nat. Mater. 16 1187
Google Scholar
[55] Finley J, Liu L 2020 Appl. Phys. Lett. 116 110501
Google Scholar
[56] Timopheev A A, Sousa R, Chshiev M, Buda-Prejbeanu L D, Dieny B 2015 Phys. Rev. B 92 104430
Google Scholar
[57] Zhang X, Xu Z D, Zhu Z F 2024 Phys. Rev. B 110 184428
Google Scholar
[58] Mishra R, Yu J, Qiu X, Motapothula M, Venkatesan T, Yang H 2017 Phys. Rev. Lett. 118 167201
Google Scholar
[59] Zhu L J, Ralph D C 2023 Nat. Commun. 14 1778
Google Scholar
[60] Ren X, Liu L, Cui B, Cheng B, Liu W K, An T Y, Chu R Y, Zhang M F, Miao T T, Zhao X X, Zhou G J, Hu J F 2023 Nano Lett. 23 5927
Google Scholar
[61] Xie Z C, Yang Y M, Chen B Y, Zhao Z Y, Qin H R, Sun H L, Lei N, Zhao J H, Wei D H 2024 ACS Appl. Mater. Interfaces 16 27944
Google Scholar
[62] Lim Y, Khodadadi B, Li J F, Viehland D, Manchon A, Emori S 2021 Phys. Rev. B 103 024443
Google Scholar
[63] Yu J W, Bang D, Mishra R, Ramaswamy R, Oh J H, Park H J, Jeong Y, Van Thach P, Lee D K, Go G, Lee S W, Wang Y, Shi S Y, Qiu X P, Awano H, Lee K J, Yang H 2018 Nat. Mater. 18 29
Google Scholar
[64] Meng G C, Xie Z C, Yang Y M, Luo S L, Lei N, Wei D H, Zhao J H 2025 Adv. Funct. Mater. 2501767
Google Scholar
[65] Chen D D, Xu Y H, Tong S C, Zheng W H, Sun Y M, Lu J, Lei N, Wei D H, Zhao J H 2022 Phys. Rev. Mater. 6 014402
Google Scholar
[66] Han X, Wang Z X, Wang Y H, Wang D, Zheng L M, Zhao L, Huang Q K, Cao Q, Chen Y X, Bai L H, Xing G Z, Tian Y F, Yan S S 2024 Adv. Funct. Mater. 34 2404679
Google Scholar
[67] Wu C W, Cui S T, Guo Y Q, Zhang Z W, Zhang J, Deng X, Zeng G, Ren C T, Li P Z, Zhou X Q, Zhang X, Li J F, Zhu T, Han X F, Zhao J K, Wang H, Zhang Y, Liang S S, Wu H 2024 Adv. Mater. 37 2414139
Google Scholar
[68] Xie X J, Wang X J, Wang W, Zhao X N, Bai L H, Chen Y X, Tian Y F, Yan S S 2022 Adv. Mater. 35 2208275
Google Scholar
[69] Xu Y H, Chen D D, Tong S C, Chen H J, Qiu X P, Wei D H, Zhao J H 2020 Phys. Rev. Appl. 14 034064
Google Scholar
[70] Zhu W, Tang M, Pan C, Xie N, Li Y, Xu A, Zhang J, Fan W, Shi Z, Zhai K, Zhou S, Qiu X 2025 Adv. Funct. Mater. 2505415
Google Scholar
[71] Park J, Hirata Y, Kang J H, Lee S, Kim S, Van Phuoc C, Jeong J R, Park J, Park S Y, Jo Y, Tsukamoto A, Ono T, Kim S K, Kim K J 2021 Phys. Rev. B 103 014421
Google Scholar
[72] Zhang W, Hehn M, Peng Y, Gorchon J, Remy Q, Lin J X, Hohlfeld J, Malinowski G, Zhao W S, Mangin S 2025 Adv. Funct. Mater. e05423
Google Scholar
[73] Cao A, van Hees Y L W, Lavrijsen R, Zhao W, Koopmans B 2020 Phys. Rev. B 102 104412
Google Scholar
[74] Chatterjee J, Polley D, Pattabi A, Jang H, Salahuddin S, Bokor J 2021 Adv. Funct. Mater. 32 2107490
Google Scholar
[75] Wang S, Wei C, Feng Y, Cao H, Li W, Cao Y, Guan B O, Tsukamoto A, Kirilyuk A, Kimel A V, Li X 2021 Light Sci. Appl. 10 8
Google Scholar
[76] Ding S L, Kang M G, Legrand W, Gambardella P 2024 Phys. Rev. Lett. 132 236702
Google Scholar
[77] Zhang Z Z, Zhu Y Z, Zhang Y, Zhang K, Nan J, Zheng Z Y, Zhang Y G, Zhao W S 2019 IEEE Electron Device Lett. 40 1984
Google Scholar
[78] Dong Y Q, Xu T, Zhou H A, Cai L, Wu H Q, Tang J S, Jiang W J 2020 Adv. Funct. Mater. 31 2007485
Google Scholar
[79] Liu J, Xu T, Feng H, Zhao L, Tang J, Fang L, Jiang W 2021 Adv. Funct. Mater. 32 2107870
Google Scholar
[80] Zhang Z Z, Zheng Z Y, Zhang Y, Sun J Y, Lin K L, Zhang K, Feng X Q, Chen L, Wang J K, Wang G D, Du Y C, Zhang Y G, Bournel A, Amiri P K, Zhao W S 2021 IEEE Electron Device Lett. 42 152
Google Scholar
[81] Zheng Z Y, Zhang Y, Feng X Q, Zhang K, Nan J, Zhang Z Z, Wang G D, Wang J K, Lei N, Liu D J, Zhang Y G, Zhao W S 2019 Phys. Rev. Appl. 12 044032
Google Scholar
[82] Shen L C, Zhou Y, Shen K 2022 Appl. Phys. Lett. 121 092403
Google Scholar
[83] Chen T S, Dumas R K, Eklund A, Muduli P K, Houshang A, Awad A A, Durrenfeld P, Malm B G, Rusu A, Akerman J 2016 Proc. IEEE 104 1919
Google Scholar
[84] Jiang S, Yao L R, Wang S, Wang D, Liu L, Kumar A, Awad A A, Litvinenko A, Ahlberg M, Khymyn R, Chung S, Xing G Z, Åkerman J 2024 Appl. Phys. Rev. 11 041309
Google Scholar
[85] Shi J L, Jin Z H, Chen G Y, Luo X, Xing G Z, Chen J M 2025 Sci. China Phys. , Mech. Astron. 68 247501
Google Scholar
[86] Shen L C, Qiu L, Shen K 2024 npj Comput. Mater. 10 48
Google Scholar
[87] Nembach H T, Shaw J M, Weiler M, Jué E, Silva T J 2015 Nat. Phys. 11 825
Google Scholar
[88] Rózsa L, Atxitia U, Nowak U 2017 Phys. Rev. B 96 094436
Google Scholar
[89] Schlotter S, Agrawal P, Beach G S D 2018 Appl. Phys. Lett. 113 092402
Google Scholar
[90] Zhang Y B, Kong X J, Xu G F, Jin Y, Jiang C J, Chai G Z 2022 J. Phys. D: Appl. Phys. 55 195304
Google Scholar
[91] Mansuripur M, Ruane M 1986 IEEE Trans. Magn. 22 33
Google Scholar
[92] Zhao Z Y, Su D, Lin T, Xie Z C, Zhao D, Zhao J H, Lei N, Wei D H 2023 Phys. Rev. Appl. 19 044037
Google Scholar
[93] Lee J Y, Punkkinen M P J, Schönecker S, Nabi Z, Kádas K, Zólyomi V, Koo Y M, Hu Q M, Ahuja R, Johansson B, Kollár J, Vitos L, Kwon S K 2018 Surf. Sci. 674 51
Google Scholar
[94] Kim D H, Haruta M, Ko H W, Go G, Park H J, Nishimura T, Kim D Y, Okuno T, Hirata Y, Futakawa Y, Yoshikawa H, Ham W, Kim S, Kurata H, Tsukamoto A, Shiota Y, Moriyama T, Choe S B, Lee K J, Ono T 2019 Nat. Mater. 18 685
Google Scholar
[95] Zhao Z Y, Xie Z C, Sun Y M, Yang Y M, Cao Y, Liu L, Pan D, Lei N, Wei Z M, Zhao J H, Wei D H 2023 Phys. Rev. B 108 024429
Google Scholar
[96] Zheng Z Y, Zhang Y, Lopez-Dominguez V, Sánchez-Tejerina L, Shi J C, Feng X Q, Chen L, Wang Z L, Zhang Z Z, Zhang K, Hong B, Xu Y, Zhang Y G, Carpentieri M, Fert A, Finocchio G, Zhao W S, Khalili Amiri P 2021 Nat. Commun. 12 4555
Google Scholar
[97] Vermeulen B B, Gama Monteiro M, Giuliano D, Sorée B, Couet S, Temst K, Nguyen V D 2024 Phys. Rev. Appl. 21 024050
Google Scholar
[98] Wu H, Nance J, Razavi S A, Lujan D, Dai B Q, Liu Y X, He H R, Cui B S, Wu D, Wong K, Sobotkiewich K, Li X Q, Carman G P, Wang K L 2020 Nano Lett. 21 515
Google Scholar
[99] Guo Y Q, Zhang J, Balakrishnan P P, Grutter A J, Yang B S, Fitzsimmons M R, Charlton T R, Ambaye H, Zhang X, Huang H S, Huang Z, Chen J Y, Guo C Y, Han X F, Wang K L, Wu H 2024 Phys. Rev. Appl. 21 014045
Google Scholar
[100] Zeng G, Wen Y, Wu C W, Ren C T, Meng D Q, Zhang J, Li W D, Wang H, Luo W, Zhang Y, Dong K F, Wu H, Liang S H 2023 ACS Appl. Electron. Mater. 5 4168
Google Scholar
[101] Kim H J, Moon K W, Tran B X, Yoon S, Kim C, Yang S, Ha J H, An K, Ju T S, Hong J I, Hwang C 2022 Adv. Funct. Mater. 32 2112561
Google Scholar
[102] Liu L, Song Y H, Zhao X T, Liu W, Zhang Z D 2022 Adv. Funct. Mater. 32 2200328
Google Scholar
[103] Yang S, Zhao Y L, Zhang X C, Xing X J, Du H F, Li X G, Mochizuki M, Xu X H, Åkerman J, Zhou Y 2024 Appl. Phys. Rev. 11 041335
Google Scholar
[104] Chen G 2017 Nat. Phys. 13 112
Google Scholar
[105] Jiang W J, Zhang X C, Yu G Q, Zhang W, Wang X, Benjamin Jungfleisch M, Pearson John E, Cheng X M, Heinonen O, Wang K L, Zhou Y, Hoffmann A, te Velthuis Suzanne G E 2016 Nat. Phys. 13 162
Google Scholar
[106] Kim K, Lee S H, Shin Y, Kim J W, Park J H, Chang J Y, Choe S B 2023 Appl. Phys. Express 16 033001
Google Scholar
[107] Hirata Y, Kim D H, Kim S K, Lee D K, Oh S H, Kim D Y, Nishimura T, Okuno T, Futakawa Y, Yoshikawa H, Tsukamoto A, Tserkovnyak Y, Shiota Y, Moriyama T, Choe S B, Lee K J, Ono T 2019 Nat. Nanotechnol. 14 232
Google Scholar
[108] Kim S K, Lee K J, Tserkovnyak Y 2017 Phys. Rev. B 95 140404
Google Scholar
[109] Tretiakov O A, Clarke D, Chern G W, Bazaliy Y B, Tchernyshyov O 2008 Phys. Rev. Lett. 100 127204
Google Scholar
[110] Chang Y H, Hao H Y, Wu H L, Zuo Y L, Wu H, Hou Z P, Yu G Q, Liu X X, Xi L, Zhang S F, Cui B S 2025 Adv. Funct. Mater. 35 2421771
Google Scholar
[111] Zhang X D, Wan G, Zhang J, Zhang Y F, Pan J B, Du S X 2024 Nano Lett. 24 10796
Google Scholar
[112] Woo S, Song K M, Zhang X, Zhou Y, Ezawa M, Liu X, Finizio S, Raabe J, Lee N J, Kim S I, Park S Y, Kim Y, Kim J Y, Lee D, Lee O, Choi J W, Min B C, Koo H C, Chang J 2018 Nat. Commun. 9 959
Google Scholar
[113] Caretta L, Mann M, Büttner F, Ueda K, Pfau B, Günther C M, Hessing P, Churikova A, Klose C, Schneider M, Engel D, Marcus C, Bono D, Bagschik K, Eisebitt S, Beach G S D 2018 Nat. Nanotechnol. 13 1154
Google Scholar
[114] Quessab Y, Xu J W, Cogulu E, Finizio S, Raabe J, Kent A D 2022 Nano Lett. 22 6091
Google Scholar
[115] Mallick S, Sassi Y, Prestes N F, Krishnia S, Gallego F, M. Vicente Arche L, Denneulin T, Collin S, Bouzehouane K, Thiaville A, Dunin-Borkowski R E, Jeudy V, Fert A, Reyren N, Cros V 2024 Nat. Commun. 15 8472
Google Scholar
[116] Xu T, Zhang Y X, Wang Z D, Bai H, Song C K, Liu J H, Zhou Y, Je S G, N’Diaye A T, Im M Y, Yu R, Chen Z, Jiang W J 2023 ACS Nano 17 7920
Google Scholar
[117] Zhang J Y, Dou P W, Xu J W, Jiang J L, Du H F, Zhu T, Luo J, Zhao G P, Wang Y B, Qiu Q G, Feng L Y, Deng X, Ma T P, Zhou S M, Shen B G, Wang S G 2025 Adv. Mater. 37 2413700
Google Scholar
[118] Li Z L, Su J, Lin S Z, Liu D, Gao Y, Wang S G, Wei H X, Zhao T Y, Zhang Y, Cai J W, Shen B G 2021 Nat. Commun. 12 5604
Google Scholar
[119] Zuo S L, Qiao K M, Zhang Y, Li Z L, Zhao T Y, Jiang C B, Shen B G 2022 Adv. Sci. 10 2205574
Google Scholar
[120] Lin T, Zhang X Y, Vernier N, Wang X R, Dong E X, Chen C, Niu J T, Sun Y M, Yang L, Zheng W H, Su D, Lei N, Zhao W S 2022 Phys. Rev. B 106 184407
Google Scholar
[121] Pöllath S, Lin T, Lei N, Zhao W, Zweck J, Back C H 2020 Ultramicroscopy 212 112973
Google Scholar
[122] Song K M, Jeong J S, Pan B, Zhang X, Xia J, Cha S, Park T E, Kim K, Finizio S, Raabe J, Chang J, Zhou Y, Zhao W, Kang W, Ju H, Woo S 2020 Nat. Electron. 3 148
Google Scholar
[123] Sun Y M, Lin T, Lei N, Chen X, Kang W, Zhao Z Y, Wei D H, Chen C, Pang S M, Hu L L, Yang L, Dong E X, Zhao L, Liu L, Yuan Z, Ullrich A, Back C H, Zhang J, Pan D, Zhao J H, Feng M, Fert A, Zhao W S 2023 Nat. Commun. 14 3434
Google Scholar
计量
- 文章访问数: 455
- PDF下载量: 15
- 被引次数: 0








下载: