-
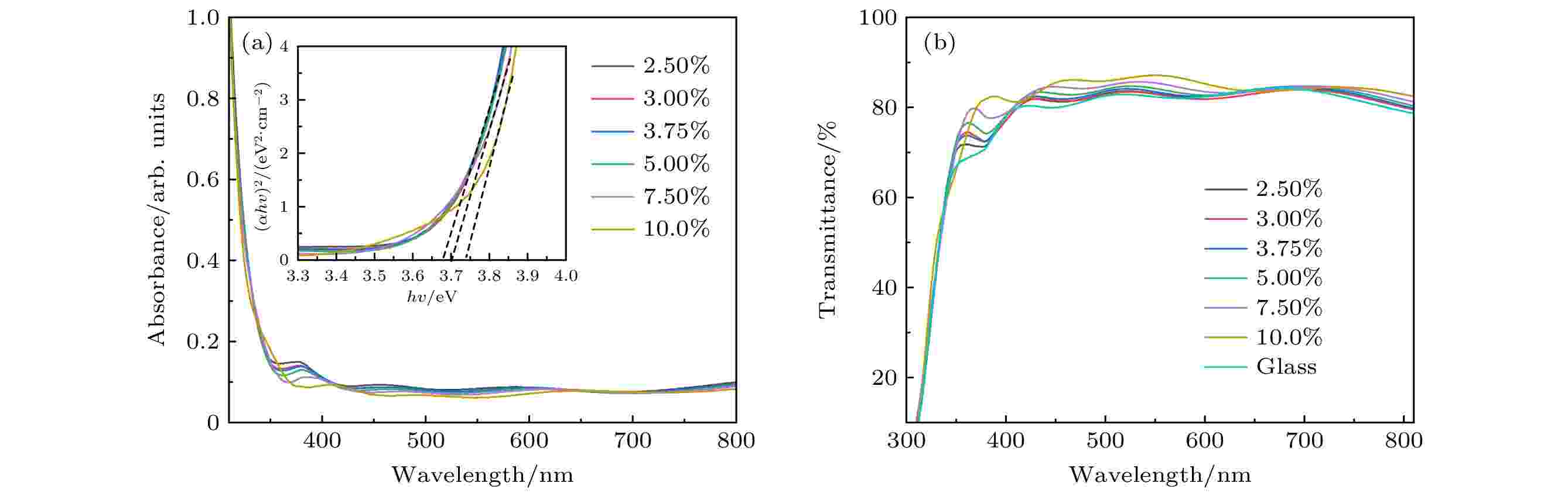
SnO2具有光稳定性优异、可低温溶液制备等优点被视为电子传输层的优异材料之一, 广泛应用于高效稳定的平面异质结钙钛矿太阳能电池. 本文在低温(150 ℃)下采用旋涂工艺制备SnO2电子传输层, 探究了SnO2前驱体溶液不同浓度(SnO2质量分数为2.5%—10.0%)下制备的SnO2电子传输层对钙钛矿太阳能电池性能的影响. 通过对SnO2薄膜进行扫描电子显微镜(SEM)、紫外-可见光(UV-Vis)吸收光谱和透射光谱分析, 发现基底的覆盖率、透光率和SnO2薄膜的带隙随SnO2前驱液浓度的增加而增大; 通过对SnO2/钙钛矿(MAPbI3)薄膜进行SEM、UV-Vis、X-射线衍射(XRD)、稳态光致发光(PL)光谱分析, 发现SnO2胶体分散液浓度为7.5%制备的SnO2层上沉积的MAPbI3的粒径最大, 结晶度最好, 具有更有效的电荷提取和传输能力; 通过对钙钛矿太阳能电池进行电化学交流阻抗(EIS)、外量子效率(EQE)分析, 发现质量分数为7.5%制备的器件具有最小的传输电阻和最佳的光电转换能力, 且获得了15.82%的光电转换效率, 在环境空气湿度(25±5) ℃, RH>70%, 无封装的条件下储存600 h后仍保持初始效率的92%. 同时, 采用浓度优化后的SnO2前驱液制备了柔性器件, 获得了13.12%的光电转换效率, 且在(30±5) ℃, RH>70%的空气环境下储存84天后仍保持初始效率的48%, 在弯曲循环1000次 (弯曲半径为3 mm)后, 仍保留了初始效率的78%. 这为提高柔性钙钛矿太阳能电池性能奠定了基础.SnO2 has the advantages of excellent photostability and can be prepared at low-temperature below 200 ℃. It is regarded as one of the excellent materials for the electron transport layer, and widely used in efficient and stable planar heterojunction perovskite solar cells. In this work, the low-cost, dense and uniform SnO2 electron transport layer is prepared by spin coating at low temperature (150 ℃) for perovskite solar cells with a structure of FTO/SnO2/CH3NH3PbI3 (MAPbI3)/Spiro-OMeTAD/Au. The crystallization and photoelectric properties of SnO2 electron transport layers prepared at different concentrations (2.5%–10%) at 150 ℃, and the influences of SnO2 electron transport layers on the formation of perovskite films and the performances of perovskite solar cells are discussed. By analyzing the scanning electron microscope (SEM), ultraviolet-visible light absorption spectrum (UV-Vis) and transmission spectrum of the SnO2 film, it is found that the coverage and light transmittance of the substrate and band gap of the SnO2 film increase as the SnO2 content increases, while the absorbance decreases. By analyzing the SEM, UV-Vis, X-ray diffraction (XRD) and steady-state photoluminescence spectrum (PL) analysis of the SnO2/MAPbI3 thin film, it is found that the MAPbI3 deposited on the SnO2 layer with a concentration of 7.5% is uniform and pinhole-free, has the largest particle size and the best crystallinity, as well as more effective charge extraction capability and transport capability. By analyzing the electrochemical impedance (EIS) and external quantum efficiency (EQE) of the device, the SnO2 electron transport layer with a concentration of 7.5% has better interface contact and lower interface resistance, which is beneficial to reducing the recombination of carriers and improving the photoelectric conversion capability, The perovskite solar cells based on SnO2 layer prepared with a concentration of 7.5% reaches a photoelectric conversion efficiency of 15.82% (Voc = 1.06 V, Jsc = 21.62 mA/cm2, FF = 69.40%), After storing for 600 h in ambient air ((25±5) ℃, RH>70%) without encapsulation, its efficiency remains 92% of the initial efficiency. At the same time, we prepare flexible devices on flexible substrates (TIO/PEN) by using SnO2 precursor with a concentration of 7.5%, which exhibits good photovoltaic performance and achieves a photoelectric conversion efficiency of 13.12%, and storage time for 84 d in ambient air ((30±5) ℃, RH>70%) without encapsulation, its efficiency remains 48% of the initial efficiency. The PCE retains 78% of the initial efficiency after 1000 bending cycles with a bending radius of 3 mm. The study of optimizing the concentration of SnO2 has laid a foundation for improving the performance of flexible perovskite solar cells.
-
Keywords:
- SnO2 /
- perovskite solar cell /
- low temperature preparation /
- stability
[1] Bahadur J, Ghahremani A H, Martin B, Pishgar S, Druffel T, Sunkara M K, Pal K 2019 J. Mater. Sci- Mater. Electron. 30 18452
Google Scholar
[2] Du J H, Feng L P, Guo X, Huang X P, Lin Z H, Su J, Hu Z S, Zhang J C, Chang J J, Hao Y 2020 J. Power Sources 455 227974
[3] Zheng S Z, Wang G P, Liu T F, Lou L Y, Xiao S, Yang S H 2019 Sci. China-Chem. 62 800
Google Scholar
[4] Chan S H, Chang Y H, Wu M C 2019 Front. Mater. 6 57
Google Scholar
[5] Yi H, Duan L, Haque F, Bing J, Zheng J, Yang Y, Mo A C H, Zhang Y, Xu C, Conibeer G, Uddin A 2020 J. Power Sources 466 228320
Google Scholar
[6] National Renewable Energy Laboratory. Best Research-Cell Efficiencies https://www.nrel.gov/pv/cell-efficiency.html, 2022
[7] Zhen C, Wu T T, Chen R Z, Wang L Z, Liu G, Cheng H M 2019 ACS Sustain. Chem. Eng. 7 4586
Google Scholar
[8] Tan H R, Jain A, Voznyy O, Lan X Z, de Arquer F P G, Fan J Z, Quintero-Bermudez R, Yuan M J, Zhang B, Zhao Y C, Fan F J, Li P C, Quan L N, Zhao Y B, Lu Z H, Yang Z Y, Hoogland S, Sargent E H 2017 Science 355 722
Google Scholar
[9] Kim M R, Choi H W, Bark C W 2020 J. Nanosci. Nanotechnol. 20 5491
Google Scholar
[10] Hui W, Yang Y G, Xu Q, Gu H, Feng S L, Su Z H, Zhang M R, Wang J O, Li X D, Fang J F, Xia F, Xia Y D, Chen Y H, Gao X Y, Huang W 2020 Adv. Mater. 32 1906374
Google Scholar
[11] Yi J, Zhuang J, Liu X C, Wang H Y, Ma Z, Huang D J, Guo Z L, Li H M 2020 J. Alloys Compd. 830 154710
[12] 杨英, 林飞宇, 朱从潭, 陈甜, 马书鹏, 罗媛, 朱刘, 郭学益 2020 化学学报 78 217
Google Scholar
Yang Y, Lin F Y, Zhu C T, Chen T, Ma S P, Luo Y, Zhu L, Guo X Y 2020 Acta Chim. Sin. 78 217
Google Scholar
[13] 朱从潭, 杨英, 赵北凯, 林飞宇, 罗媛, 马书鹏, 朱刘, 郭学益 2020 化学学报 78 1102
Google Scholar
Zhu C T, Yang Y, Zhao B K, Lin F Y, Luo Y, Ma S P, Zhu L, Guo X Y 2020 Acta Chim. Sin. 78 1102
Google Scholar
[14] 杨英, 朱从潭, 林飞宇, 陈甜, 潘德群, 郭学益 2019 化学学报 77 964
Google Scholar
Yang Y, Zhu C T, Lin F Y, Chen T, Pan D Q, Guo X Y 2019 Acta Chim. Sin. 77 964
Google Scholar
[15] Liu Z, Wu S, Yang X, Zhou Y, Jin J, Sun J, Zhao L, Wang S 2021 Mater. Sci. Semicon. Process 123 105511
Google Scholar
[16] Deng K, Chen Q, Li L 2020 Adv. Funct. Mater. 30 2004209
Google Scholar
[17] Xue R, Zhou X, Peng S, Xu P, Wang S, Xu C, Zeng W, Xiong Y, Liang D 2020 ACS Sustain. Chem. Eng. 8 10714
[18] Jung E H, Chen B, Bertens K, Vafaie M, Teale S, Proppe A, Hou Y, Zhu T, Zheng C, Sargent E H 2020 ACS Energy Lett. 5 2796
Google Scholar
[19] Xu H Y, Hu Z Y, Wang Y Y, Yang C, Gao C, Zhang H C, Zhang J, Zhu Y J 2020 Nanotechnology 31 315205
[20] Jinbiao Jia J D, Jihuai Wu, Haoming Wei, Bingqiang Cao 2020 J. Alloys Compd. 844 156032
Google Scholar
[21] Xie H X, Yin X T, Chen P, Liu J, Yang C H, Que W X, Wang G F 2019 Mater. Lett. 234 311
Google Scholar
[22] Noh M F M, Arzaee N A, Safaei J, Mohamed N A, Kim H P, Yusoff A R M, Jang J, Teridi M A M 2019 J. Alloys Compd. 773 997
Google Scholar
[23] Méndez P F, Muhammed S K M, Barea E M, Masi S, Mora-Sero I 2019 Sol. RRL 3 1900191
[24] Liu H R, Chen Z L, Wang H B, Ye F H, Ma J J, Zheng X L, Gui P B, Xiong L B, Wen J, Fang G J 2019 J. Mater. Chem. A. 7 10636
Google Scholar
[25] Liu C, Zhang L Z, Zhou X Y, Gao J S, Chen W, Wang X Z, Xu B M 2019 Adv. Funct. Mater. 29 1807604
Google Scholar
[26] Chen Y C, Meng Q, Zhang L R, Han C B, Gao H L, Zhang Y Z, Yan H 2019 J. Energy Chem. 35 144
Google Scholar
[27] Song J X, Zheng E Q, Bian J, Wang X F, Tian W J, Sanehira Y, Miyasaka T 2015 J. Mater. Chem. A 3 10837
Google Scholar
[28] Zhang W Y, Li Y C, Liu X, Tang D Y, Li X, Yuan X 2020 Chem. Eng. J. 379 122298
[29] Park M, Kim J Y, Son H J, Lee C H, Jang S S, Ko M J 2016 Nano Energy. 26 208
Google Scholar
[30] Zhong M Y, Liang Y Q, Zhang J Q, Wei Z X, Li Q, Xu D S 2019 J. Mater. Chem. A. 7 6659
Google Scholar
[31] Chen C, Jiang Y, Guo J L, Wu X Y, Zhang W H, Wu S J, Gao X S, Hu X W, Wang Q M, Zhou G F, Chen Y W, Liu J M, Kempa K, Gao J W 2019 Adv. Funct. Mater. 29 1900557
Google Scholar
[32] 陈甜, 杨英, 赵婉玉, 潘德群, 朱从潭, 林飞宇, 郭学益 2019 化学学报 77 447
Google Scholar
Chen T, Yang Y, Zhao W Y, Pan D Q, Zhu C T, Lin F Y, Guo X Y 2019 Acta Chim. Sin. 77 447
Google Scholar
[33] Zhu C T, Yang Y, Lin F Y, Luo Y, Ma S P, Zhu L, Guo X Y 2021 Rare Met. 40 2402
Google Scholar
[34] 林飞宇, 杨英, 朱从潭, 陈甜, 马书鹏, 罗媛, 朱刘, 郭学益 2021 物理化学学报 37 2005007
Google Scholar
Lin F Y, Yang Y, Zhu C T, Chen T, Ma S P, Luo Y, Zhu L, Guo X Y 2021 Acta Phys. Chim. Sin. 37 2005007
Google Scholar
[35] Duan J, Xiong Q, Feng B, Xu Y, Zhang J, Wang H 2017 Appl. Surf. Sci. 391 677
Google Scholar
[36] Zhou W, Liu Y Y, Yang Y Z, Wu P 2014 J. Phys. Chem. C. 118 6448
Google Scholar
[37] Xiong L B, Qin M C, Yang G, Guo Y X, Lei H W, Liu Q, Ke W J, Tao H, Qin P L, Li S Z, Yu H Q, Fang G J 2016 J. Mater. Chem. A. 4 8374
Google Scholar
[38] Huang L, Sun X X, Li C, Xu J, Xu R, Du Y Y, Ni J, Cai H K, Li J, Hu Z Y, Jianjun J J 2017 ACS Appl. Mater. Interfaces. 9 21909
Google Scholar
[39] Wang S, Sang H, Jiang Y, Wang Y, Xiong Y, Yu Y, He R, Chen B, Zhao X, Liu Y 2021 ACS Appl. Mater. Interfaces. 13 48555
Google Scholar
[40] Kouhnavard M, Niedzwiedzki D M, Biswas P 2020 Int. J. Energy Res. 44 11361
[41] Gong W, Guo H, Zhang H, Yang J, Chen H, Wang L, Hao F, Niu X 2020 J. Mater. Chem. C. 8 11638
Google Scholar
[42] Fru J N, Nombona N, Diale M 2020 Vacuum 182 109727
[43] Huang X P, Du J H, Guo X, Lin Z H, Ma J, Su J, Feng L P, Zhang C F, Zhang J C, Chang J J, Hao Y 2020 Sol. RRL 4 1900336
[44] Wan J S, Tao L, Wang Q, Zhang K, Xie J, Zhang J, Wang H 2021 Chem. Eng. J. 403 126435
[45] Wang H B, Liu H G, Ye F H, Chen Z L, Ma J J, Liang J W, Zheng X L, Tao C, Fang G J 2021 J. Power Sources 481 229160
-
图 1 不同浓度制备的FTO/SnO2薄膜 SEM图 (a) 2.50%, (b) 3.00%, (c) 3.75%, (d) 5.00%, (e) 7.50%, (f) 10.0%; (g), (h) EDS图(插图为对应的元素重量和原子百分比)
Fig. 1. FTO/SnO2 films prepared with different weight concentrations: SEM image (a) 2.50%, (b) 3.00%, (c) 3.75%, (d) 5.00%, (e) 7.50%, (f) 10.0%; (g), (h) EDS image (The inset indicating the weight and atomic percentage).
图 3 不同浓度制备的SnO2/MAPbI3薄膜 SEM表面形貌 (a) 2.50%, (b) 3.00%, (c) 3.75%, (d) 5.00%, (e) 7.50%, (f) 10.0%; (g) SEM截面形貌, 浓度为7.50%
Fig. 3. SnO2/MAPbI3 films prepared with different weight concentrations: SEM surface morphologies (a) 2.50%, (b) 3.00%, (c) 3.75%, (d) 5.00%, (e) 7.50%, (f) 10.0%; (g) SEM morphology of the cross-section for weight concentration of 7.50%.
图 6 不同浓度制备SnO2 电子传输层的PSC光伏参数统计图 (a) 电流密度; (b)开路电压; (c)填充因子; (d)光电转换效率
Fig. 6. Statistical of PSC photovoltaic parameters based on SnO2 electron transport layers prepared with different concentrations: (a) Current density; (b) open circuit voltage; (c) fill factor; (d) photoelectric conversion efficiency.
图 8 (a) 150 ℃, (c) 450 ℃退火FTO/SnO2薄膜的SEM图; (b) 150 ℃, (d) 450 ℃退火SnO2/MAPbI3薄膜的SEM图; 不同温度下退火SnO2薄膜(e) UV-Vis吸收光谱, (f) Tauc图, (g)透射光谱图; 不同温度下退火SnO2/MAPbI3薄膜(h) UV-Vis吸收光谱, (i) XRD图, (j) PL图; PSC器件 (k) J-V曲线, (l) EQE曲线
Fig. 8. SEM images of FTO/SnO2 films annealed at (a) 150 ℃, (c) 450 ℃; SEM images of SnO2/MAPbI3 films annealed at (b) 150 ℃, (d) 450 ℃; SnO2 films annealed under different temperature: (e) UV-Vis absorption spectra, (f) Tauc diagram, (g) transmittance spectra; SnO2/MAPbI3 films annealed under different temperature: (h) UV-Vis absorption spectra, (i) XRD spectra, (j) PL spectra; PSC devices: (k) J-V curves; (l) EQE curves.
图 9 SnO2电子传输层的柔性PSC (a) 不同浓度制备器件的J-V曲线; (b) r = 3 mm, 浓度为7.5%柔性器件的PCE演变; (c)浓度为7.5%柔性器件的稳定性
Fig. 9. Flexible PSC with SnO2 electron transport layers: (a) J-V curves of device prepared with different weight concentrations; (b) r = 3 mm, PCE evolution of flexible device with weight concentration of 7.5%; (c) stability results of flexible device with weight concentration of 7.5%.
表 1 不同浓度下制备SnO2电子传输层的PSC光电性能参数
Table 1. Optoelectronic performance parameters of PSC based on SnO2 electron transport layers prepared with different concentrations.
Concentration/% Rs/Ω Rtr/Ω Jsc/(mA·cm–2) Voc/V FF/% PCE/% 2.50 36.89 394.30 20.80 1.07 54.49 12.12 3.00 48.19 364.10 20.44 1.06 63.32 13.65 3.75 43.46 348.90 20.40 1.10 65.11 14.56 5.00 42.51 322.80 20.38 1.08 65.18 14.31 7.50 46.47 277.60 21.62 1.06 69.40 15.82 10.0 41.64 321.30 22.26 1.02 67.47 15.33 表 2 不同浓度下制备SnO2电子传输层的柔性器件光电性能参数
Table 2. Photovoltaic parameters of flexible device based on SnO2 layer prepared with different weight concentrations.
Concentration/% Jsc/(mA·cm–2) Voc/V FF/% PCE/% 2.50 17.33 0.94 57.00 9.26 3.00 17.33 0.98 61.25 10.32 3.75 18.39 1.02 61.62 11.37 5.00 18.60 1.06 65.79 13.00 7.50 18.44 1.07 66.65 13.12 10.0 20.54 1.03 62.28 13.10 -
[1] Bahadur J, Ghahremani A H, Martin B, Pishgar S, Druffel T, Sunkara M K, Pal K 2019 J. Mater. Sci- Mater. Electron. 30 18452
Google Scholar
[2] Du J H, Feng L P, Guo X, Huang X P, Lin Z H, Su J, Hu Z S, Zhang J C, Chang J J, Hao Y 2020 J. Power Sources 455 227974
[3] Zheng S Z, Wang G P, Liu T F, Lou L Y, Xiao S, Yang S H 2019 Sci. China-Chem. 62 800
Google Scholar
[4] Chan S H, Chang Y H, Wu M C 2019 Front. Mater. 6 57
Google Scholar
[5] Yi H, Duan L, Haque F, Bing J, Zheng J, Yang Y, Mo A C H, Zhang Y, Xu C, Conibeer G, Uddin A 2020 J. Power Sources 466 228320
Google Scholar
[6] National Renewable Energy Laboratory. Best Research-Cell Efficiencies https://www.nrel.gov/pv/cell-efficiency.html, 2022
[7] Zhen C, Wu T T, Chen R Z, Wang L Z, Liu G, Cheng H M 2019 ACS Sustain. Chem. Eng. 7 4586
Google Scholar
[8] Tan H R, Jain A, Voznyy O, Lan X Z, de Arquer F P G, Fan J Z, Quintero-Bermudez R, Yuan M J, Zhang B, Zhao Y C, Fan F J, Li P C, Quan L N, Zhao Y B, Lu Z H, Yang Z Y, Hoogland S, Sargent E H 2017 Science 355 722
Google Scholar
[9] Kim M R, Choi H W, Bark C W 2020 J. Nanosci. Nanotechnol. 20 5491
Google Scholar
[10] Hui W, Yang Y G, Xu Q, Gu H, Feng S L, Su Z H, Zhang M R, Wang J O, Li X D, Fang J F, Xia F, Xia Y D, Chen Y H, Gao X Y, Huang W 2020 Adv. Mater. 32 1906374
Google Scholar
[11] Yi J, Zhuang J, Liu X C, Wang H Y, Ma Z, Huang D J, Guo Z L, Li H M 2020 J. Alloys Compd. 830 154710
[12] 杨英, 林飞宇, 朱从潭, 陈甜, 马书鹏, 罗媛, 朱刘, 郭学益 2020 化学学报 78 217
Google Scholar
Yang Y, Lin F Y, Zhu C T, Chen T, Ma S P, Luo Y, Zhu L, Guo X Y 2020 Acta Chim. Sin. 78 217
Google Scholar
[13] 朱从潭, 杨英, 赵北凯, 林飞宇, 罗媛, 马书鹏, 朱刘, 郭学益 2020 化学学报 78 1102
Google Scholar
Zhu C T, Yang Y, Zhao B K, Lin F Y, Luo Y, Ma S P, Zhu L, Guo X Y 2020 Acta Chim. Sin. 78 1102
Google Scholar
[14] 杨英, 朱从潭, 林飞宇, 陈甜, 潘德群, 郭学益 2019 化学学报 77 964
Google Scholar
Yang Y, Zhu C T, Lin F Y, Chen T, Pan D Q, Guo X Y 2019 Acta Chim. Sin. 77 964
Google Scholar
[15] Liu Z, Wu S, Yang X, Zhou Y, Jin J, Sun J, Zhao L, Wang S 2021 Mater. Sci. Semicon. Process 123 105511
Google Scholar
[16] Deng K, Chen Q, Li L 2020 Adv. Funct. Mater. 30 2004209
Google Scholar
[17] Xue R, Zhou X, Peng S, Xu P, Wang S, Xu C, Zeng W, Xiong Y, Liang D 2020 ACS Sustain. Chem. Eng. 8 10714
[18] Jung E H, Chen B, Bertens K, Vafaie M, Teale S, Proppe A, Hou Y, Zhu T, Zheng C, Sargent E H 2020 ACS Energy Lett. 5 2796
Google Scholar
[19] Xu H Y, Hu Z Y, Wang Y Y, Yang C, Gao C, Zhang H C, Zhang J, Zhu Y J 2020 Nanotechnology 31 315205
[20] Jinbiao Jia J D, Jihuai Wu, Haoming Wei, Bingqiang Cao 2020 J. Alloys Compd. 844 156032
Google Scholar
[21] Xie H X, Yin X T, Chen P, Liu J, Yang C H, Que W X, Wang G F 2019 Mater. Lett. 234 311
Google Scholar
[22] Noh M F M, Arzaee N A, Safaei J, Mohamed N A, Kim H P, Yusoff A R M, Jang J, Teridi M A M 2019 J. Alloys Compd. 773 997
Google Scholar
[23] Méndez P F, Muhammed S K M, Barea E M, Masi S, Mora-Sero I 2019 Sol. RRL 3 1900191
[24] Liu H R, Chen Z L, Wang H B, Ye F H, Ma J J, Zheng X L, Gui P B, Xiong L B, Wen J, Fang G J 2019 J. Mater. Chem. A. 7 10636
Google Scholar
[25] Liu C, Zhang L Z, Zhou X Y, Gao J S, Chen W, Wang X Z, Xu B M 2019 Adv. Funct. Mater. 29 1807604
Google Scholar
[26] Chen Y C, Meng Q, Zhang L R, Han C B, Gao H L, Zhang Y Z, Yan H 2019 J. Energy Chem. 35 144
Google Scholar
[27] Song J X, Zheng E Q, Bian J, Wang X F, Tian W J, Sanehira Y, Miyasaka T 2015 J. Mater. Chem. A 3 10837
Google Scholar
[28] Zhang W Y, Li Y C, Liu X, Tang D Y, Li X, Yuan X 2020 Chem. Eng. J. 379 122298
[29] Park M, Kim J Y, Son H J, Lee C H, Jang S S, Ko M J 2016 Nano Energy. 26 208
Google Scholar
[30] Zhong M Y, Liang Y Q, Zhang J Q, Wei Z X, Li Q, Xu D S 2019 J. Mater. Chem. A. 7 6659
Google Scholar
[31] Chen C, Jiang Y, Guo J L, Wu X Y, Zhang W H, Wu S J, Gao X S, Hu X W, Wang Q M, Zhou G F, Chen Y W, Liu J M, Kempa K, Gao J W 2019 Adv. Funct. Mater. 29 1900557
Google Scholar
[32] 陈甜, 杨英, 赵婉玉, 潘德群, 朱从潭, 林飞宇, 郭学益 2019 化学学报 77 447
Google Scholar
Chen T, Yang Y, Zhao W Y, Pan D Q, Zhu C T, Lin F Y, Guo X Y 2019 Acta Chim. Sin. 77 447
Google Scholar
[33] Zhu C T, Yang Y, Lin F Y, Luo Y, Ma S P, Zhu L, Guo X Y 2021 Rare Met. 40 2402
Google Scholar
[34] 林飞宇, 杨英, 朱从潭, 陈甜, 马书鹏, 罗媛, 朱刘, 郭学益 2021 物理化学学报 37 2005007
Google Scholar
Lin F Y, Yang Y, Zhu C T, Chen T, Ma S P, Luo Y, Zhu L, Guo X Y 2021 Acta Phys. Chim. Sin. 37 2005007
Google Scholar
[35] Duan J, Xiong Q, Feng B, Xu Y, Zhang J, Wang H 2017 Appl. Surf. Sci. 391 677
Google Scholar
[36] Zhou W, Liu Y Y, Yang Y Z, Wu P 2014 J. Phys. Chem. C. 118 6448
Google Scholar
[37] Xiong L B, Qin M C, Yang G, Guo Y X, Lei H W, Liu Q, Ke W J, Tao H, Qin P L, Li S Z, Yu H Q, Fang G J 2016 J. Mater. Chem. A. 4 8374
Google Scholar
[38] Huang L, Sun X X, Li C, Xu J, Xu R, Du Y Y, Ni J, Cai H K, Li J, Hu Z Y, Jianjun J J 2017 ACS Appl. Mater. Interfaces. 9 21909
Google Scholar
[39] Wang S, Sang H, Jiang Y, Wang Y, Xiong Y, Yu Y, He R, Chen B, Zhao X, Liu Y 2021 ACS Appl. Mater. Interfaces. 13 48555
Google Scholar
[40] Kouhnavard M, Niedzwiedzki D M, Biswas P 2020 Int. J. Energy Res. 44 11361
[41] Gong W, Guo H, Zhang H, Yang J, Chen H, Wang L, Hao F, Niu X 2020 J. Mater. Chem. C. 8 11638
Google Scholar
[42] Fru J N, Nombona N, Diale M 2020 Vacuum 182 109727
[43] Huang X P, Du J H, Guo X, Lin Z H, Ma J, Su J, Feng L P, Zhang C F, Zhang J C, Chang J J, Hao Y 2020 Sol. RRL 4 1900336
[44] Wan J S, Tao L, Wang Q, Zhang K, Xie J, Zhang J, Wang H 2021 Chem. Eng. J. 403 126435
[45] Wang H B, Liu H G, Ye F H, Chen Z L, Ma J J, Liang J W, Zheng X L, Tao C, Fang G J 2021 J. Power Sources 481 229160
计量
- 文章访问数: 16063
- PDF下载量: 436
- 被引次数: 0








下载: