-
为了解决现存太赫兹移相器的损耗较大且不可控、相移量较小的问题, 本文设计了一种简易超材料复合结构实现的太赫兹移相器. 该器件由4层结构组成, 自上而下依次为L型金属谐振层、液晶层、弓型金属层、石英基底层. 通过在上、下金属层施加偏置电压, 改变液晶盒内液晶分子指向矢的偏转角α, 从而改变液晶的有效折射率, 器件的相位也随之发生变化, 进而实现动态调控相位的目的. 仿真结果表明: 设计的太赫兹液晶移相器在1.68—1.78 THz间透射率可达0.968, 插入损耗低至0.3 dB; 当频率为1.7396 THz时, 其最大相移为352.625°, 在1.7315—1.7396 THz (带宽为8.1 GHz) 频率内相移量超过352°. 这种简易超材料多层结构为调控太赫兹波提供了一种新方法, 在太赫兹成像、传感等领域有广泛的应用前景.In order to solve the problems of large, uncontrollable insertion loss and small phase shift of the existing terahertz phase shifters, in this work a kind of terahertz phase shifter realized by a simple metamaterial composite structure is designed. The device is composed of four layers in structure, they from top to bottom, being an L-shaped metal resonance layer, a liquid crystal layer, a bow-shaped metal layer, and a quartz substrate layer. By applying a bias voltage to the upper metal layer and the lower metal layer, the deflection angle α of the director of liquid crystal molecules in the liquid crystal cell is changed, so that the effective refractive index of the liquid crystal changes, and the phase of the device also changes accordingly, thereby achieving the purpose of dynamic phase control. The performances of the upper metal layer, the lower metal layer and liquid crystal layer are optimized and compared with each other. The performance characteristics of the phase shifter under different values of deflection angle α and different values of incident angle θ are analyzed by frequency domain finite integration method. Through the simulation optimization and comparison of the size of the upper and lower metal layers and the thickness of the liquid crystal layer, the optimum is obtained. The simulation results show that the transmittance of the terahertz liquid crystal phase shifter can reach 0.968 in a frequency between 1.68–1.78 THz, and the insertion loss can be as low as 0.3 dB. When the frequency is 1.7396 THz, the maximum phase shift of the terahertz phase shifter is 352.625°. The phase shift exceeds 352° in a frequency range of 1.7315–1.7396 THz (Bandwidth is 8.1 GHz). This simple metamaterial multilayer structure provides a new method of controlling terahertz waves, and has broad application prospects in terahertz imaging, sensing and other fields.
-
Keywords:
- terahertz /
- metamaterials /
- liquid crystal phase shifters /
- dynamic control
[1] Clough B, Dai J M, Zhang X C 2012 Mater. Today 15 50
Google Scholar
[2] Landy N I, Sajuyigbe S, Mock J J, Smith D R, Padilla W J 2008 Phys. Rev. Lett. 100 207405
Google Scholar
[3] 陈俊, 杨茂生, 李亚迪, 程登科, 郭耿亮, 蒋林, 张海婷, 宋效先, 叶云霞, 任云鹏, 任旭东, 张雅婷, 姚建铨 2019 物理学报 68 247802
Google Scholar
Chen J, Yang M S, Li Y T, Cheng D K, Guo G L, Jiang L, Zhang H T, Song X X, Ye Y X, Ren Y P, Ren X D, Zhang Y T, Yao J Q 2019 Acta Phys. Sin. 68 247802
Google Scholar
[4] Vieweg N, Fischer B M, Reuter M, Kula P, Dabrowski R, Celik M A, Frenking G, Koch M, Jepsen P U 2012 Opt. Express 20 28249
Google Scholar
[5] Köhler R, Tredicucci A, Beltram F, Beere H E, Linfield E H, Davies G A, Ritchie D A, Lotti R C, Rossi F 2002 Nature 417 156
Google Scholar
[6] Jansen C, Wietzke S, Peters O, Scheller M, Vieweg N, Salhi M, Krumbholz N, Jördens C, Hochrein T, Koch M 2010 Appl. Opt. 49 E48
Google Scholar
[7] Shaltout A M, Shalaev V M, Brongersma M L 2019 Science 364 3100
Google Scholar
[8] He Q, Sun S, Zhou L 2019 Research 2019 1849272
Google Scholar
[9] Hashemi M R, Cakmakyapan S, Jarrahi M 2017 Rep. Prog. Phys. 80 094501
Google Scholar
[10] 丛龙庆 2021 中国激光 48 157
Google Scholar
Cong L Q 2021 Chin. J. Lasers 48 157
Google Scholar
[11] Koeberle M, Hoefle M, Gaebler A, Penirschke A, Jakoby R 2011 International Conference on Infrared, Millimeter and Terahertz Waves Houston, The United States, October 2–7, 2011 p1
[12] Jost M, Strunck S, Heunisch A, Wiens A, Prasetiadi A E, Weickhmann C, Schulz B, Quibeldey M, Karabey O H, Rabe T, Follmann R, Koether D, Jakoby R 2015 European Microwave Conference Paris, France, September 7–10, 2015 p1260
[13] Gao S, Yang J, Wang P, Zheng A, Lu H, Deng G, Lai W, Yin Z 2018 Appl. Sciences 8 2528
Google Scholar
[14] Inoue Y, Kubo H, Shikada T, Moritake H 2019 Macromol. Mater. 304 1800766
Google Scholar
[15] 龙洁, 李九生 2021 物理学报 70 074201
Google Scholar
Long J, Li J S 2021 Acta Phys. Sin. 70 074201
Google Scholar
[16] Zhang X, Fan F, Zhang C Y, Ji Y Y, Wang X H, Chang S J 2020 Opt. Mater. Express 10 282
Google Scholar
[17] Gao S 2020 M. S. Thesis (Hefei: Hefei University of Technology) (in Chinese)
[18] 于雪 2018 硕士学位论文 (哈尔滨: 哈尔滨工业大学)
Yu X 2018 M. S. Thesis (Harbin: Harbin Institute of Technology) (in Chinese)
[19] Yaghmaee P, Karabey O H, Bates B, Fumeaux C, Jakoby R 2013 Int. J. Antenn. Propag. 10 824214
[20] Gennes P G D, Alben R 1975 Phys. Today 28 54
Google Scholar
[21] Gaebler A, Moessinger A, Goelden F, et al. 2009 Int. J. Antenn. Propag. 6 876989
Google Scholar
[22] Nickel M, Jiménez-Sáez A, Agrawal P, Gadallah A, Malignaggi A, Schuster C, Reese R, Tesmer H, Ploat E Wang D W, Schumacher P, Jakoby R 2020 IEEE Access 8 77833
Google Scholar
[23] Blinov L M, Chigrinov V G 1994 Electrooptic Effects in Liquid Crystal Materials (New York: Springer Sci. Business Media) p1
[24] Collings, Peter J 1998 Am. J. Phys. 66 551
[25] Gölden F 2010 Ph. D. Dissertation (Hesse: Technische Universitaet Darmstadt)
[26] Wang J Q 2020 M. S. Thesis (Chengdu: University of Electronic Science and Technology) (in Chinese)
[27] Smith D R, Dalichaouch R, Kroll N, Schultz S, Mccall S L, Platzman P M 1993 J. Opt. Soc. Am. B 10 314
[28] Pozar D M 2012 URSI Radio Science Bulletin 342 26
-
图 7 1.7315 THz时3层结构电场能量分布图, 包括下金属层 (a) V = 0, (b) V = Vth; 液晶层 (c) V = 0, (d) V = Vth; 上金属层(e) V = 0, (f) V = Vth
Fig. 7. Electric field energy distribution diagram of the three-tier structure at 1.7315 THz. Lower metal layer: (a) V = 0, (b) V = Vth; liquid crystal layer: (c) V = 0, (d) V = Vth; upper metal layer: (e) V = 0, (f) V = Vth.
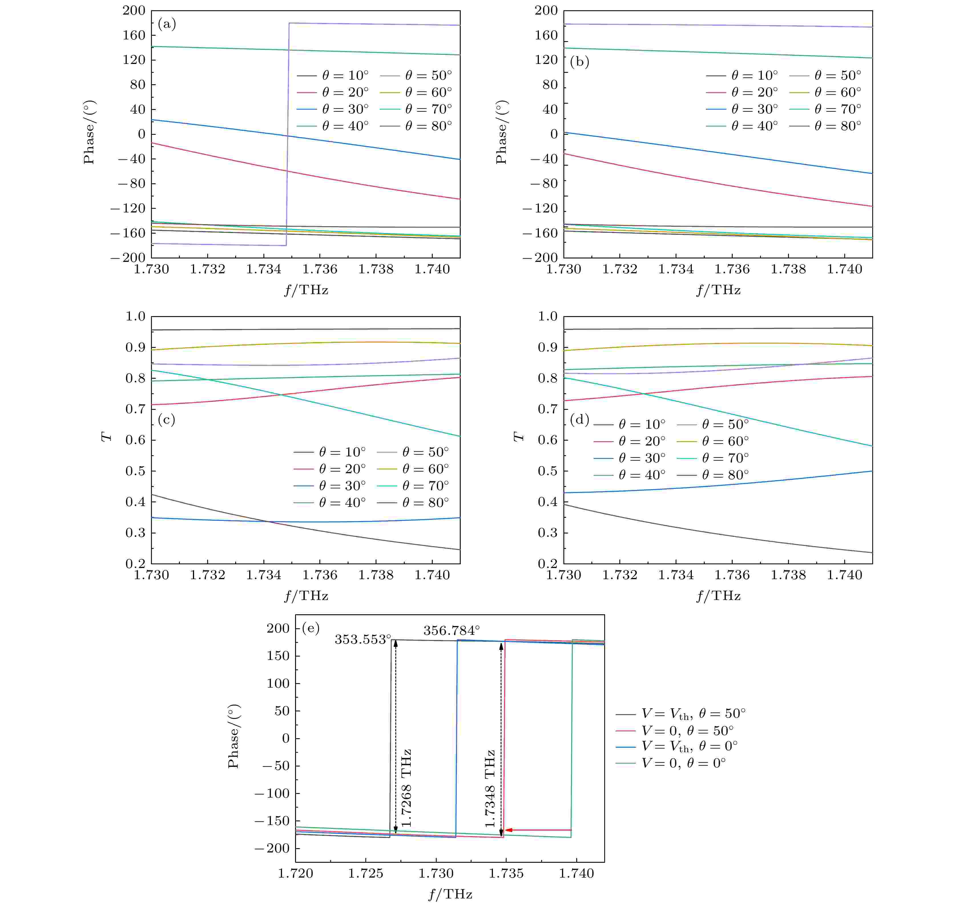
图 8 θ = 10°—80°, 在1.731—1.740 THz内的(a), (b)相移曲线和(c), (d)透射系数 (a) V = 0; (b) V = Vth; (c) V = 0; (d) V = Vth; (e) θ = 50°时太赫兹移相器的相移量
Fig. 8. (a), (b) Phase shift curve and (c), (d) transmission coefficient with θ = 10°—80° at 1.731–1.740 THz: (a) V = 0; (b) V = Vth; (c) V = 0; (d) V = Vth; (e) phase shift amount of the terahertz phase shifter at θ = 50°.
表 1 HFUT-HB01型号液晶的材料性能参数
Table 1. Material performance parameters of HFUT-HB01 liquid crystal.
$ {\varepsilon _ \bot } $ $ {\tan}{\delta _ \bot } $ ${\varepsilon _{//} }$ ${\tan}{\delta _{//} }$ $ {K_{11}} $/pN 2.47 0.02 3.60 0.02 25 表 2 移相器主要性能参数比较
Table 2. Comparison of main performance parameters of phase shifters.
-
[1] Clough B, Dai J M, Zhang X C 2012 Mater. Today 15 50
Google Scholar
[2] Landy N I, Sajuyigbe S, Mock J J, Smith D R, Padilla W J 2008 Phys. Rev. Lett. 100 207405
Google Scholar
[3] 陈俊, 杨茂生, 李亚迪, 程登科, 郭耿亮, 蒋林, 张海婷, 宋效先, 叶云霞, 任云鹏, 任旭东, 张雅婷, 姚建铨 2019 物理学报 68 247802
Google Scholar
Chen J, Yang M S, Li Y T, Cheng D K, Guo G L, Jiang L, Zhang H T, Song X X, Ye Y X, Ren Y P, Ren X D, Zhang Y T, Yao J Q 2019 Acta Phys. Sin. 68 247802
Google Scholar
[4] Vieweg N, Fischer B M, Reuter M, Kula P, Dabrowski R, Celik M A, Frenking G, Koch M, Jepsen P U 2012 Opt. Express 20 28249
Google Scholar
[5] Köhler R, Tredicucci A, Beltram F, Beere H E, Linfield E H, Davies G A, Ritchie D A, Lotti R C, Rossi F 2002 Nature 417 156
Google Scholar
[6] Jansen C, Wietzke S, Peters O, Scheller M, Vieweg N, Salhi M, Krumbholz N, Jördens C, Hochrein T, Koch M 2010 Appl. Opt. 49 E48
Google Scholar
[7] Shaltout A M, Shalaev V M, Brongersma M L 2019 Science 364 3100
Google Scholar
[8] He Q, Sun S, Zhou L 2019 Research 2019 1849272
Google Scholar
[9] Hashemi M R, Cakmakyapan S, Jarrahi M 2017 Rep. Prog. Phys. 80 094501
Google Scholar
[10] 丛龙庆 2021 中国激光 48 157
Google Scholar
Cong L Q 2021 Chin. J. Lasers 48 157
Google Scholar
[11] Koeberle M, Hoefle M, Gaebler A, Penirschke A, Jakoby R 2011 International Conference on Infrared, Millimeter and Terahertz Waves Houston, The United States, October 2–7, 2011 p1
[12] Jost M, Strunck S, Heunisch A, Wiens A, Prasetiadi A E, Weickhmann C, Schulz B, Quibeldey M, Karabey O H, Rabe T, Follmann R, Koether D, Jakoby R 2015 European Microwave Conference Paris, France, September 7–10, 2015 p1260
[13] Gao S, Yang J, Wang P, Zheng A, Lu H, Deng G, Lai W, Yin Z 2018 Appl. Sciences 8 2528
Google Scholar
[14] Inoue Y, Kubo H, Shikada T, Moritake H 2019 Macromol. Mater. 304 1800766
Google Scholar
[15] 龙洁, 李九生 2021 物理学报 70 074201
Google Scholar
Long J, Li J S 2021 Acta Phys. Sin. 70 074201
Google Scholar
[16] Zhang X, Fan F, Zhang C Y, Ji Y Y, Wang X H, Chang S J 2020 Opt. Mater. Express 10 282
Google Scholar
[17] Gao S 2020 M. S. Thesis (Hefei: Hefei University of Technology) (in Chinese)
[18] 于雪 2018 硕士学位论文 (哈尔滨: 哈尔滨工业大学)
Yu X 2018 M. S. Thesis (Harbin: Harbin Institute of Technology) (in Chinese)
[19] Yaghmaee P, Karabey O H, Bates B, Fumeaux C, Jakoby R 2013 Int. J. Antenn. Propag. 10 824214
[20] Gennes P G D, Alben R 1975 Phys. Today 28 54
Google Scholar
[21] Gaebler A, Moessinger A, Goelden F, et al. 2009 Int. J. Antenn. Propag. 6 876989
Google Scholar
[22] Nickel M, Jiménez-Sáez A, Agrawal P, Gadallah A, Malignaggi A, Schuster C, Reese R, Tesmer H, Ploat E Wang D W, Schumacher P, Jakoby R 2020 IEEE Access 8 77833
Google Scholar
[23] Blinov L M, Chigrinov V G 1994 Electrooptic Effects in Liquid Crystal Materials (New York: Springer Sci. Business Media) p1
[24] Collings, Peter J 1998 Am. J. Phys. 66 551
[25] Gölden F 2010 Ph. D. Dissertation (Hesse: Technische Universitaet Darmstadt)
[26] Wang J Q 2020 M. S. Thesis (Chengdu: University of Electronic Science and Technology) (in Chinese)
[27] Smith D R, Dalichaouch R, Kroll N, Schultz S, Mccall S L, Platzman P M 1993 J. Opt. Soc. Am. B 10 314
[28] Pozar D M 2012 URSI Radio Science Bulletin 342 26
计量
- 文章访问数: 9362
- PDF下载量: 137
- 被引次数: 0








下载: