-
Rydberg atoms possess a large electric dipole moment and exhibit high sensitivity to electromagnetic signals. Receivers based on Rydberg atoms represent a novel reception mechanism, demonstrating broad application prospects in the field of communication. Current research has not addressed the influence of the operating parameters of Rydberg atomic receiver on channel capacity. This study establishes a channel capacity model for Rydberg atomic receiver based on Shannon's formula and the response mechanism of the electromagnetically induced transparency (EIT) effect. Using this model, the influences of atomic number density, laser beam waist, and coupling laser Rabi frequency on the channel capacity of Rydberg atomic receiver are analyzed. A strategy for optimizing channel capacity by adjusting the coupling laser Rabi frequency is proposed, and an analytical solution for the Rabi frequency that maximizes channel capacity is derived. The accuracy of this analytical solution is then verified through numerical simulations. The channel capacity corresponding to the analytical solution in this study is similar to the optimal channel capacity obtained using the one-dimensional optimization method (Newton’s method) and is superior to the results obtained by the quadratic interpolation method, demonstrating the effectiveness of the proposed analytical solution in optimizing the channel capacity of Rydberg atomic receiver. This research provides theoretical guidance for designing high-performance Rydberg atomic receiver and optimizing channel capacity.
-
Keywords:
- quantum sensing /
- Rydberg atomic receiver /
- channel capacity /
- parameter optimization
[1] Adams C S, Pritchard J D, Shaffer J P 2019 J. Phys. B: At. Mol. Opt. Phys. 53 012002
Google Scholar
[2] Fancher C T, Scherer D R, John M C S, Schmittberger M B L 2021 IEEE Trans. Quantum Eng. 2 3501313
Google Scholar
[3] Schlossberger N, Prajapati N, Berweger S, Rotunno A P, Artusio-Glimpse A B, Simons M T, Sheikh A A, Norrgard E B, Eckel S P, Holloway C L 2024 Nat. Rev. Phys. 6 606
Google Scholar
[4] Sedlacek J A, Schwettmann A, Kübler H, Löw R, Pfau T, Shaffer J P 2012 Nat. Phys. 8 819
Google Scholar
[5] Anderson D A, Sapiro R E, Raithel G 2021 IEEE Trans. Antennas Propag. 69 5931
Google Scholar
[6] Meyer D H, Kunz P D, Cox K C 2021 Phys. Rev. Appl. 15 014053
Google Scholar
[7] Fan H Q, Kumar S, Kübler H, Shaffer J P 2016 J. Phys. B: At. Mol. Opt. Phys. 49 104004
Google Scholar
[8] Jing M Y, Hu Y, Ma J, Zhang H, Zhang L J, Xiao L T, Jia S T 2020 Nat. Phys. 16 911
Google Scholar
[9] Ding D S, Liu Z K, Shi B S, Guo G C, Mølmer K, Adams C S 2022 Nat. Phys 18 1447
Google Scholar
[10] Tu H T, Liao K Y, Zhang Z X, Liu X H, Zheng S Y, Yang S Z, Zhang X D, Yan H, Zhu S L 2022 Nat. Photonics 16 291
Google Scholar
[11] Meyer D H, Cox K C, Fatemi F K, Kunz P D 2018 Appl. Phys. Lett. 112 211108
Google Scholar
[12] Yuan J P, Jin T, Xiao L T, Jia S T, Wang L R 2023 IEEE Antennas Wirel. Propag. Lett. 22 2580
Google Scholar
[13] Yuan J P, Jin T, Yan Y, Xiao L T, Jia S T, Wang L R 2024 EPJ Quantum Technol. 11 2
Google Scholar
[14] Anderson D A, Sapiro R E, Raithel G 2021 IEEE Trans. Antennas Propag. 69 2455
Google Scholar
[15] Cui M Y, Zeng Q, Huang K 2024 IEEE J. Sel. Area. Commun. 43 659
Google Scholar
[16] Wade C G, Šibalić N, De Melo N R, Kondo J M, Adams C S, Weatherill K J 2017 Nat. Photonics 11 40
Google Scholar
[17] Downes L A, Mackellar A R, Whiting D J, Bourgenot C, Adams C S, Weatherill K J 2020 Phys. Rev. X 10 011027
Google Scholar
[18] Li X Z, Li T, Wan J, Zhang B, Huang Q, Yang X Y, Feng L, Zhang K Q, Huang W, Deng H X 2025 J. Phys. D: Appl. Phys. 58 085109
Google Scholar
[19] Wu K D, Xie C W, Li C F, Guo G C, Zou C L, Xiang G Y 2024 Sci. Adv. 10 8130
Google Scholar
[20] Bohaichuk S M, Ripka F, Venu V, Christaller F, Liu C, Schmidt M, Kübler H, Shaffer J P 2023 Phys. Rev. Appl. 20 061004
Google Scholar
[21] Sandidge G, Santamaria-Botello G, Bottomley E, Fan H Q, Popović Z 2024 IEEE Trans. Microwave Theory Tech. 72 2057
Google Scholar
[22] Wu F C, An Q, Sun Z S, Fu Y Q 2023 Phys. Rev. A 107 043108
Google Scholar
[23] Wu Y H, Xiao D P, Zhang H Q, Yan S 2025 Chin. Phys. B 34 013201
Google Scholar
[24] Gordon J A, Simons M T, Haddab A H, Holloway C L 2019 AIP Adv. 9 45030
Google Scholar
[25] Otto J S, Hunter M K, Kjærgaard N, Deb A B 2021 J. Appl. Phys. 129 154503
Google Scholar
[26] Knarr S H, Bucklew V G, Langston J, Cox K C, Hill J C, Meyer D H, Drakes J A 2023 IEEE Trans. Quantum Eng. 4 3500108
Google Scholar
[27] Zhang L H, Liu B, Liu Z K, Zhang Z Y, Shao S Y, Wang Q F, Ma Y, Han T Y, Guo G C, Ding D S, Shi B S 2024 Chip 3 100089
Google Scholar
[28] Mao R Q, Lin Y, Fu Y Q, Ma Y M, Yang K 2024 IEEE Trans. Antennas Propag. 72 2025
Google Scholar
[29] Meyer D H, Hill J C, Kunz P D 2023 Phys. Rev. Appl. 19 014025
Google Scholar
[30] Meyer D H, O’Brien C, Fahey D P, Cox K C, Kunz P D 2021 Phys. Rev. A 104 043103
Google Scholar
[31] Zhang P, Jing M Y, Wang Z, Peng Y, Yuan S X, Zhang H, Xiao L T, Jia S T, Zhang L J 2023 EPJ Quantum Technol. 10 39
Google Scholar
[32] Wu H, Wu S C, Gong C, Li S B, Zhu J K 2024 14th International Symposium on Communication Systems, Networks and Digital Signal Processing Rome, Italy, July 17–19, 2024 p74
[33] Kumar S, Fan H Q, Kübler H, Sheng J T, Shaffer J P 2017 Sci. Rep. 7 42981
Google Scholar
[34] Song Z F, Liu H P, Liu X C, Zhang W F, Zou H Y, Zhang J, Qu J F 2019 Opt. Express 27 8848
Google Scholar
[35] Bussey L W, Winterburn A, Menchetti M, Burton F, Whitley T 2021 J. Lightwave Technol. 39 7813
Google Scholar
[36] Li F 2025 Opt. Lett. 50 1369
Google Scholar
[37] Holloway C L, Simons M T, Gordon J A, Dienstfrey A, Anderson D A, Raithel G 2017 J. Appl. Phys. 121 233106
Google Scholar
[38] Shannon C E 1949 Proc. IRE 37 10
Google Scholar
[39] Cox K C, Meyer D H, Fatemi F K, Kunz P D 2018 Phys. Rev. Lett. 121 110502
Google Scholar
[40] Shylla D, Prajapati N, Rotunno A P, Schlossberger N, Manchaiah D, Watterson W J, Artusio-Glimpse A, Berweger S, Simons M T, Holloway C L 2025 Phys. Rev. A 111 033115
Google Scholar
[41] Hu J L, Jiao Y C, He Y H, Zhang H, Zhang L J, Zhao J M, Jia S T 2023 EPJ Quantum Technol. 10 51
Google Scholar
[42] Akgül A, Grow D 2023 Mathematics 11 2277
Google Scholar
[43] Zhao W G, Wang L Y, Zhang Z X, Mirjalili S, Khodadadi N, Ge Q 2023 Comput. Methods Appl. Mech. Eng. 417 116446
Google Scholar
-
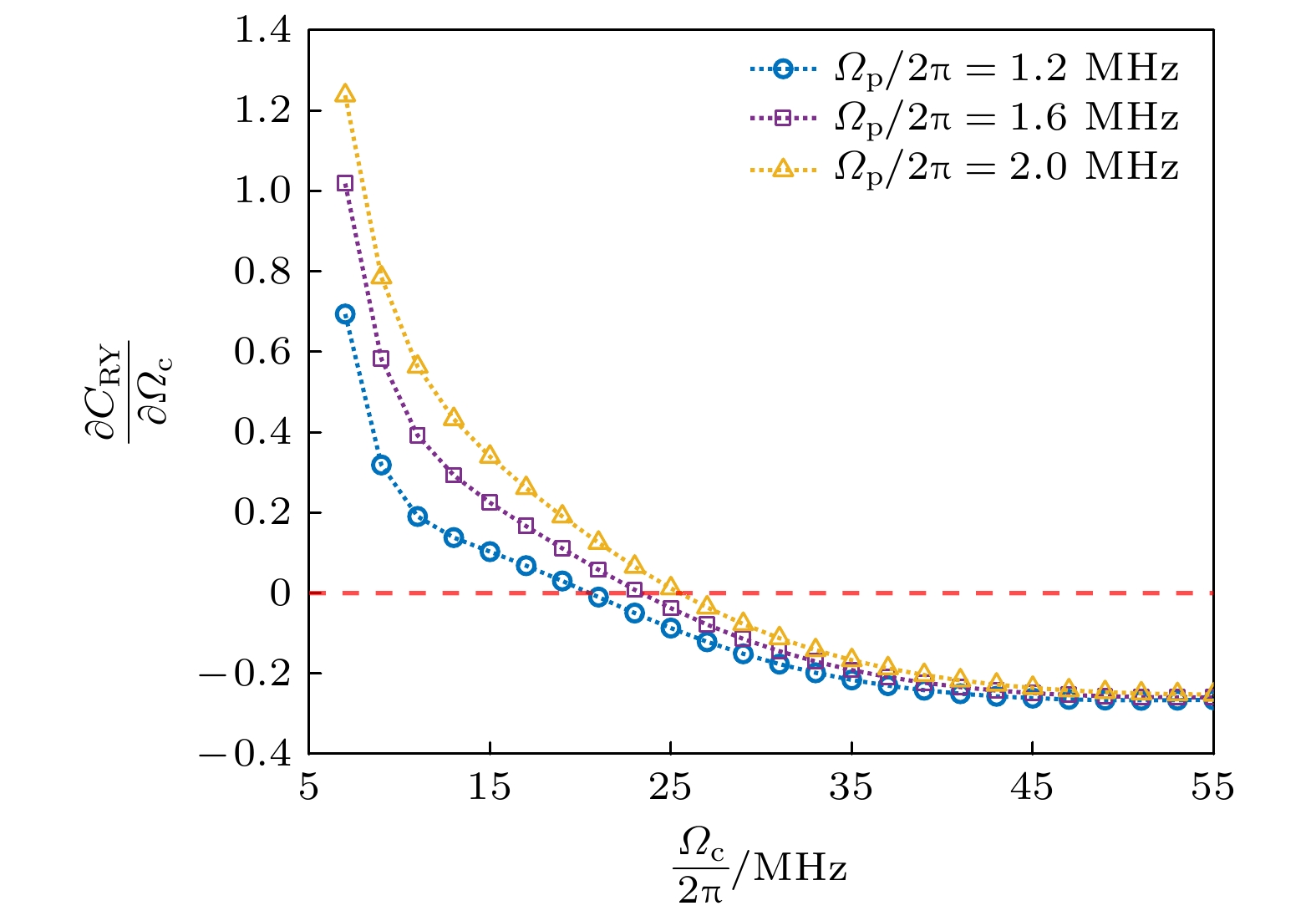
图 4 $ {{\partial {C_{{\text{Ry}}}}} \mathord{\left/ {\vphantom {{\partial {C_{{\text{Ry}}}}} {\partial {\varOmega _{\text{c}}}}}} \right. } {\partial {\varOmega _{\text{c}}}}} $与$ {\varOmega _{\text{c}}} $的关系曲线
Fig. 4. $ {{\partial {C_{{\text{Ry}}}}} \mathord{\left/ {\vphantom {{\partial {C_{{\text{Ry}}}}} {\partial {\varOmega _{\text{c}}}}}} \right. } {\partial {\varOmega _{\text{c}}}}} $ versus $ {\varOmega _{\text{c}}} $.
表 1 符号说明
Table 1. Symbols and definitions.
符号 含义 参数的变化对信道容量的影响程度 $ {\varOmega _{\text{c}}} $ 耦合光拉比
频率$ {\varOmega _{\text{c}}} $从$ 2\pi \times 10{\text{ MHz}} $提升至$ 2\pi \times 15{\text{ MHz}} $,
信道容量提升约8—14 Mbit/s$ {\varOmega _{\text{p}}} $ 探测光拉比
频率$ {\varOmega _{\text{p}}} $从$ 2\pi \times 1{\text{ MHz}} $提升至$ 2\pi \times 3{\text{ MHz}} $, 信道
容量提升约1 Mbit/s ($ {\varOmega _{\text{p}}} $通常取值较小)$ {\varOmega _{{\text{RF}}}} $ 信号场拉比
频率$ {\varOmega _{{\text{RF}}}} $从$ 2\pi \times 5{\text{ MHz}} $提升至$ 2\pi \times 15{\text{ MHz}} $,
信道容量提升约5 Mbit/s$ n $ 原子数密度 $ n $从$ 25 \times {10^{16}}{\text{ }}{{\text{m}}^{ - 3}} $提升至$ 100 \times {10^{16}}{\text{ }}{{\text{m}}^{ - 3}} $,
信道容量提升约8 Mbit/s$ r $ 激光束腰 $ r $从$ 25{\text{ μm}} $提升至$ 125{\text{ μm}} $, 信道
容量提升约8—12 Mbit/s$ L $ 原子气室长度 信道容量随$ L $的增大略有提升 $ {{{\varGamma }}_i} $ 能级$ | i \rangle $自发
辐射衰变速率由实验设置确定 $ {\omega _{\text{p}}} $ 探测光频率 由实验设置确定 $ {q_{\text{d}}} $ 探测效率 固定值 $ {\varepsilon _0} $ 真空介电常数 固定值 $ \hbar $ 约化普朗克
常数固定值 $ \delta $ 里德伯态失谐 固定值 -
[1] Adams C S, Pritchard J D, Shaffer J P 2019 J. Phys. B: At. Mol. Opt. Phys. 53 012002
Google Scholar
[2] Fancher C T, Scherer D R, John M C S, Schmittberger M B L 2021 IEEE Trans. Quantum Eng. 2 3501313
Google Scholar
[3] Schlossberger N, Prajapati N, Berweger S, Rotunno A P, Artusio-Glimpse A B, Simons M T, Sheikh A A, Norrgard E B, Eckel S P, Holloway C L 2024 Nat. Rev. Phys. 6 606
Google Scholar
[4] Sedlacek J A, Schwettmann A, Kübler H, Löw R, Pfau T, Shaffer J P 2012 Nat. Phys. 8 819
Google Scholar
[5] Anderson D A, Sapiro R E, Raithel G 2021 IEEE Trans. Antennas Propag. 69 5931
Google Scholar
[6] Meyer D H, Kunz P D, Cox K C 2021 Phys. Rev. Appl. 15 014053
Google Scholar
[7] Fan H Q, Kumar S, Kübler H, Shaffer J P 2016 J. Phys. B: At. Mol. Opt. Phys. 49 104004
Google Scholar
[8] Jing M Y, Hu Y, Ma J, Zhang H, Zhang L J, Xiao L T, Jia S T 2020 Nat. Phys. 16 911
Google Scholar
[9] Ding D S, Liu Z K, Shi B S, Guo G C, Mølmer K, Adams C S 2022 Nat. Phys 18 1447
Google Scholar
[10] Tu H T, Liao K Y, Zhang Z X, Liu X H, Zheng S Y, Yang S Z, Zhang X D, Yan H, Zhu S L 2022 Nat. Photonics 16 291
Google Scholar
[11] Meyer D H, Cox K C, Fatemi F K, Kunz P D 2018 Appl. Phys. Lett. 112 211108
Google Scholar
[12] Yuan J P, Jin T, Xiao L T, Jia S T, Wang L R 2023 IEEE Antennas Wirel. Propag. Lett. 22 2580
Google Scholar
[13] Yuan J P, Jin T, Yan Y, Xiao L T, Jia S T, Wang L R 2024 EPJ Quantum Technol. 11 2
Google Scholar
[14] Anderson D A, Sapiro R E, Raithel G 2021 IEEE Trans. Antennas Propag. 69 2455
Google Scholar
[15] Cui M Y, Zeng Q, Huang K 2024 IEEE J. Sel. Area. Commun. 43 659
Google Scholar
[16] Wade C G, Šibalić N, De Melo N R, Kondo J M, Adams C S, Weatherill K J 2017 Nat. Photonics 11 40
Google Scholar
[17] Downes L A, Mackellar A R, Whiting D J, Bourgenot C, Adams C S, Weatherill K J 2020 Phys. Rev. X 10 011027
Google Scholar
[18] Li X Z, Li T, Wan J, Zhang B, Huang Q, Yang X Y, Feng L, Zhang K Q, Huang W, Deng H X 2025 J. Phys. D: Appl. Phys. 58 085109
Google Scholar
[19] Wu K D, Xie C W, Li C F, Guo G C, Zou C L, Xiang G Y 2024 Sci. Adv. 10 8130
Google Scholar
[20] Bohaichuk S M, Ripka F, Venu V, Christaller F, Liu C, Schmidt M, Kübler H, Shaffer J P 2023 Phys. Rev. Appl. 20 061004
Google Scholar
[21] Sandidge G, Santamaria-Botello G, Bottomley E, Fan H Q, Popović Z 2024 IEEE Trans. Microwave Theory Tech. 72 2057
Google Scholar
[22] Wu F C, An Q, Sun Z S, Fu Y Q 2023 Phys. Rev. A 107 043108
Google Scholar
[23] Wu Y H, Xiao D P, Zhang H Q, Yan S 2025 Chin. Phys. B 34 013201
Google Scholar
[24] Gordon J A, Simons M T, Haddab A H, Holloway C L 2019 AIP Adv. 9 45030
Google Scholar
[25] Otto J S, Hunter M K, Kjærgaard N, Deb A B 2021 J. Appl. Phys. 129 154503
Google Scholar
[26] Knarr S H, Bucklew V G, Langston J, Cox K C, Hill J C, Meyer D H, Drakes J A 2023 IEEE Trans. Quantum Eng. 4 3500108
Google Scholar
[27] Zhang L H, Liu B, Liu Z K, Zhang Z Y, Shao S Y, Wang Q F, Ma Y, Han T Y, Guo G C, Ding D S, Shi B S 2024 Chip 3 100089
Google Scholar
[28] Mao R Q, Lin Y, Fu Y Q, Ma Y M, Yang K 2024 IEEE Trans. Antennas Propag. 72 2025
Google Scholar
[29] Meyer D H, Hill J C, Kunz P D 2023 Phys. Rev. Appl. 19 014025
Google Scholar
[30] Meyer D H, O’Brien C, Fahey D P, Cox K C, Kunz P D 2021 Phys. Rev. A 104 043103
Google Scholar
[31] Zhang P, Jing M Y, Wang Z, Peng Y, Yuan S X, Zhang H, Xiao L T, Jia S T, Zhang L J 2023 EPJ Quantum Technol. 10 39
Google Scholar
[32] Wu H, Wu S C, Gong C, Li S B, Zhu J K 2024 14th International Symposium on Communication Systems, Networks and Digital Signal Processing Rome, Italy, July 17–19, 2024 p74
[33] Kumar S, Fan H Q, Kübler H, Sheng J T, Shaffer J P 2017 Sci. Rep. 7 42981
Google Scholar
[34] Song Z F, Liu H P, Liu X C, Zhang W F, Zou H Y, Zhang J, Qu J F 2019 Opt. Express 27 8848
Google Scholar
[35] Bussey L W, Winterburn A, Menchetti M, Burton F, Whitley T 2021 J. Lightwave Technol. 39 7813
Google Scholar
[36] Li F 2025 Opt. Lett. 50 1369
Google Scholar
[37] Holloway C L, Simons M T, Gordon J A, Dienstfrey A, Anderson D A, Raithel G 2017 J. Appl. Phys. 121 233106
Google Scholar
[38] Shannon C E 1949 Proc. IRE 37 10
Google Scholar
[39] Cox K C, Meyer D H, Fatemi F K, Kunz P D 2018 Phys. Rev. Lett. 121 110502
Google Scholar
[40] Shylla D, Prajapati N, Rotunno A P, Schlossberger N, Manchaiah D, Watterson W J, Artusio-Glimpse A, Berweger S, Simons M T, Holloway C L 2025 Phys. Rev. A 111 033115
Google Scholar
[41] Hu J L, Jiao Y C, He Y H, Zhang H, Zhang L J, Zhao J M, Jia S T 2023 EPJ Quantum Technol. 10 51
Google Scholar
[42] Akgül A, Grow D 2023 Mathematics 11 2277
Google Scholar
[43] Zhao W G, Wang L Y, Zhang Z X, Mirjalili S, Khodadadi N, Ge Q 2023 Comput. Methods Appl. Mech. Eng. 417 116446
Google Scholar
计量
- 文章访问数: 443
- PDF下载量: 8
- 被引次数: 0








下载: