-
For terahertz systems where reflected signals carry effective information, such as terahertz time-domain reflection systems and full-duplex communication systems, existing nonreciprocal terahertz devices often treat reflected signals as interference and suppress them during isolation. This makes them incompatible with the requirements of such systems for isolating incident signals while directionally extracting and detecting reflected signals. To address this limitation, this study innovatively proposes a terahertz isolator based on a magneto-optical selection–multi-port architecture. The device converts linearly polarized light into a specific circular polarization state through orthogonal double gratings, and by combining the magneto-optical selectivity of InSb material, a nonreciprocal transmission path is constructed. Furthermore, the magneto-optical regulation mechanism innovatively combines branch waveguides with multiple ports and the characteristic of regulating terahertz transmission paths, while achieving isolation of incident/reflected signals and directionally extracting the reflected signals. The simulations of the influences of structural dimensions and external environmental conditions on the nonreciprocal characteristics of the device indicate that when the temperature is 250 K, the magnetic field is 0.3 T, and the structural parameters are set as follows: branch length of 170 μm, center-to-center spacings of adjacent branches of 125 μm, 125 μm, 120 μm, and 120 μm, InSb layer thickness of 5 μm, grating layer thickness of 50 μm, and substrate layer thickness of 20 μm, then the device achieves a high isolation of 63.12 dB at 0.73 THz. Additionally, at 0.78 THz, the bidirectional transmission efficiency reaches 36.31%, with a 3 dB bandwidth of 0.25 THz. This device has the advantages such as high isolation, low operating magnetic field strength, and integration of dual functions. It reduces interference from incident signals on reflected signals, simplifies subsequent processing steps such as noise reduction and localization of effective reflected signals, and improves the system's detection performance for weak signals. This provides essential support for expanding terahertz applications to more fields, including non-destructive testing and communication.
-
图 4 相邻分支中心间距j1a1b, j1b2b, j2b3b, j3b2a与双向传输效率、隔离度的关系图 (a) j1a1b与双向传输效率的关系图; (b) j1a1b与隔离度的关系图; (c) j1b2b与双向传输效率的关系图; (d) j1b2b与隔离度的关系图; (e) j2b3b与双向传输效率的关系图; (f) j2b3b与隔离度的关系图; (g) j3b2a与双向传输效率的关系图; (h) j3b2a与隔离度的关系图
Figure 4. Correlation between center-to-center spacings of adjacent branches (j1a1b, j1b2b, j2b3b, j3b2a) and bidirectional transmission efficiency/isolation characteristics: (a) Relationship between j1a1b and bidirectional transmission efficiency; (b) relationship between j1a1b and isolation; (c) relationship between j1b2b and bidirectional transmission efficiency; (d) relationship between j1b2b and isolation; (e) relationship between j2b3b and bidirectional transmission efficiency; (f) relationship between j2b3b and isolation; (g) relationship between j3b2a and bidirectional transmission efficiency; (h) relationship between j3b2a and isolation.
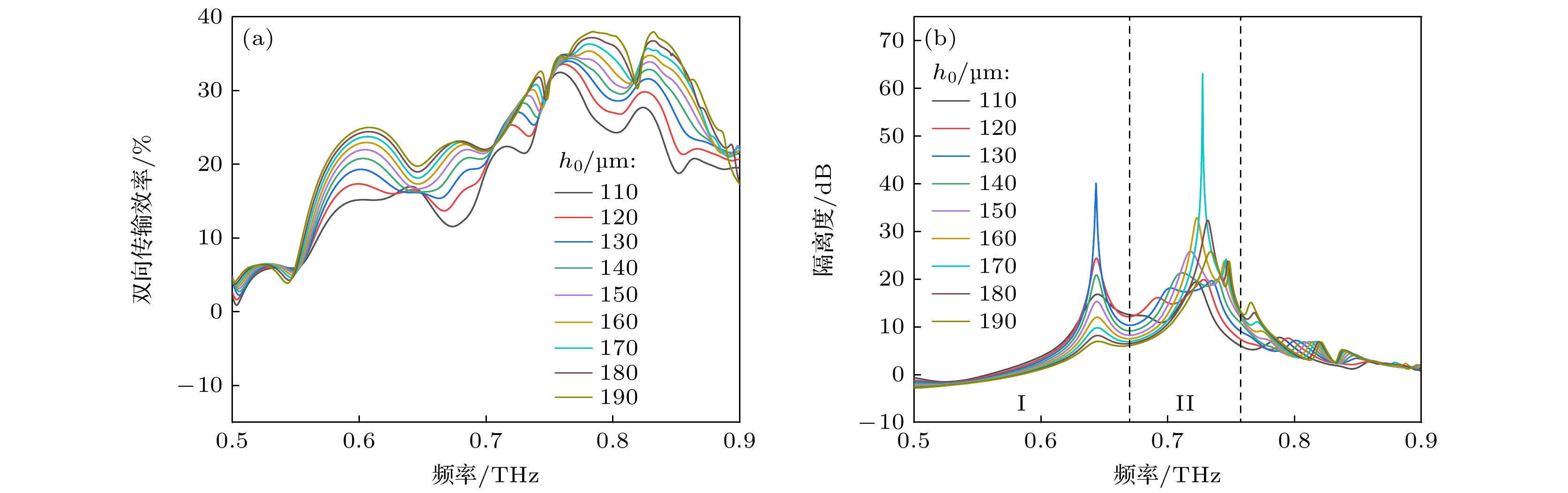
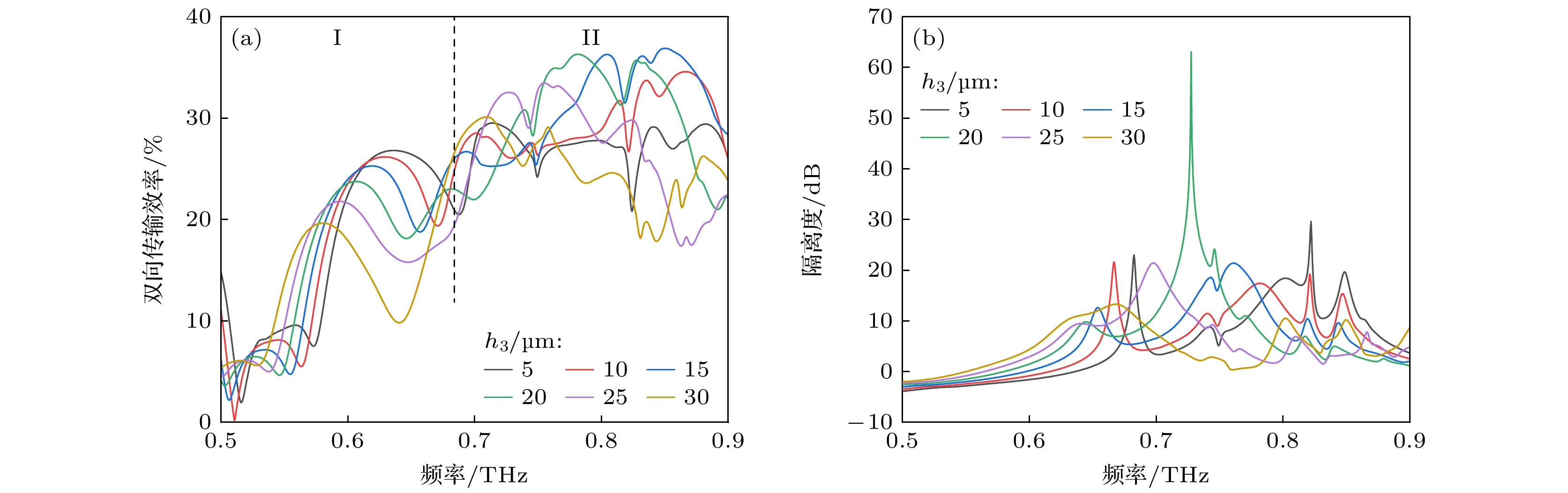
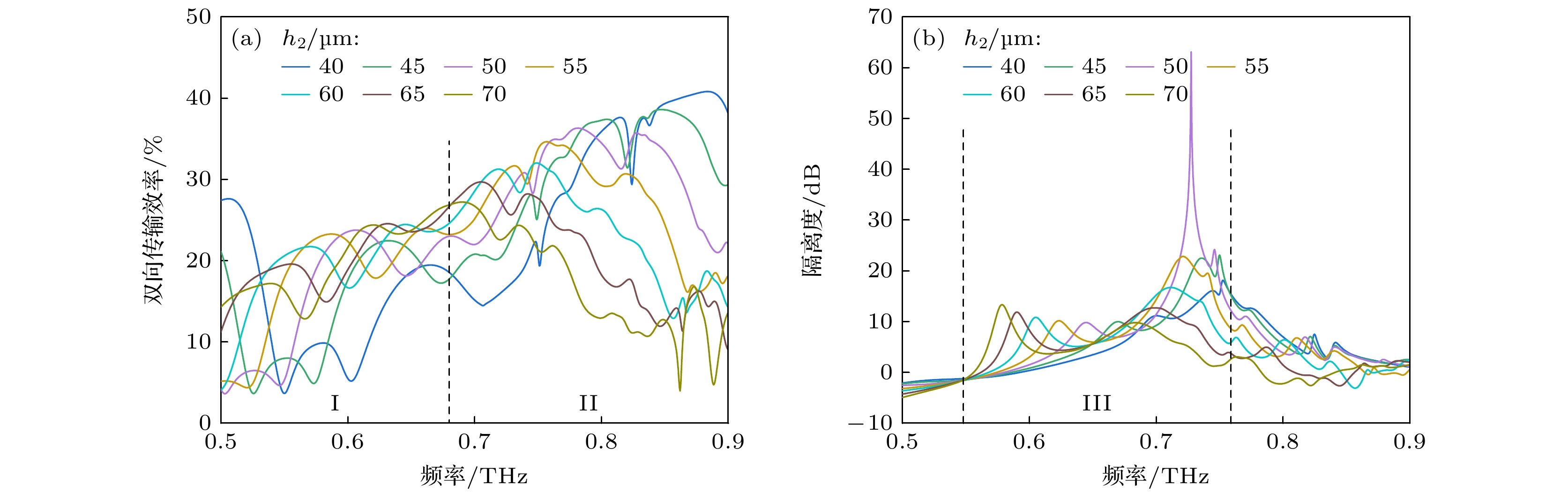
图 5 InSb层高度$ {h}_{1} $对器件性能的影响 (a) $ {h}_{1} $小于等于5 μm时双向传输效率变化关系; (b) $ {h}_{1} $大于5 μm时双向传输效率变化关系; (c) 隔离度变化关系
Figure 5. Influence of InSb layer thickness $ {h}_{1} $ on device performance: (a) Variation of bidirectional transmission efficiency at $ {h}_{1} $ ≤ 5 μm; (b) variation of bidirectional transmission efficiency at $ {h}_{1} $ > 5 μm; (c) variation of isolation.
表 1 环境参数设定
Table 1. Environmental parameter configuration.
外界环境设置 温度t/K 250 磁场B/T 0.3 表 2 器件参数设定
Table 2. Device parameter configuration.
结构参数 结构尺寸/μm InSb层高度h1 5 光栅层高度h2 50 衬底层高度h3 20 光栅周期p 25 光栅条宽度wid 15 中心分支的高度比例因子b 0.618 两端分支的高度比例因子a 0.618 分支的长度h0 170 相邻分支中心间距j1a1b 125 相邻分支中心间距j1b2b 125 相邻分支中心间距j2b3b 120 相邻分支中心间距j3b2a 120 表 3 现有太赫兹隔离器性能对比
Table 3. Performance comparison of existing terahertz isolators.
-
[1] Tamagnone M, Moldovan C, Poumirol J M, Kuzmenko A B, Ionescu A M, Mosig J R, Perruisseau-Carrier J 2016 Nat. Commun. 7 11216
Google Scholar
[2] Liu Y L, Li J S 2025 Opt. Commun. 575 131310
Google Scholar
[3] Wang Y, Ai Y Q, Gan L, Zhou J, Wang Y Y, Wang W, Xu B G, He W L, Li S G 2024 Micromachines 15 745
Google Scholar
[4] Zhao D, Fan F, Tan Z Y, Wang H, Chang S J 2023 Laser Photonics Rev. 17 2200509
Google Scholar
[5] Xu B G, Zhang D G, Wang Y, Hong B B, Shu G X, He W L 2023 Photonics 10 360
Google Scholar
[6] Heydari M B, Samiei M H V 2021 Optik 231 166457
Google Scholar
[7] Xue W, Zhang J Y, Ma J W, Hou Z L, Zhao Q L, Xie Q, Bi S 2021 J. Phys. D: Appl. Phys. 54 105103
Google Scholar
[8] Yuan S X, Chen L, Wang Z W, Deng W T, Hou Z B, Zhang C, Yu Y, Wu X J, Zhang X L 2021 Nat. Commun. 12 5570
Google Scholar
[9] Dong R Y, Sui J Y, Li Z J, Zhang H F 2024 Opt. Laser Technol. 169 110004
Google Scholar
[10] Liu Y L, Li J S, Xiong R H, Hu J R 2025 Opt. Express 33 8961
Google Scholar
[11] Xu Z, Ren X, Li J N, Liu L H, Zhang N, Luo M, Jiang C, Zhang J X, Qiao X M, Wang T, Xu D G 2024 Phys. Lett. A 524 129838
Google Scholar
[12] Liu L H, Li K R, Yang Q, Shang Y, Xu Z, Li J N, Xu D G, Yao J Q 2024 Microelectron. J. 151 106310
Google Scholar
[13] 丰益年 2022 博士学位论文 (成都: 电子科技大学)
Feng Y N 2022 Ph. D. Dissertation (Chengdu: School of Electronic Science and Engineering
[14] Syed A, Almalki M H 2023 J. Comput. Networks Commun. 2023 9285354
[15] Niu Z Q, Zhang B, Yang K, Yang Y L, Ji D F, Liu Y, Feng Y N, Fan Y, Chen X D, Li D T 2019 IEEE Trans. Microwave Theory Tech. 67 4733
Google Scholar
[16] Li H, Zhang D H, Meng J, Wang L 2024 Micromachines 15 1083
Google Scholar
[17] Shalaby M, Peccianti M, Ozturk Y, Morandotti R 2013 Nat. Commun. 4 1558
Google Scholar
[18] Shuvaev A M, Astakhov G V, Pimenov A, Brüne C, Buhmann H, Molenkamp L W 2011 Phys. Rev. Lett. 106 107404
Google Scholar
[19] Xu C R, Fan W R, Tang Y H, Wang D W 2025 Chin. Phys. Lett. 42 014201
Google Scholar
[20] Lin S, Silva S, Zhou J F, Talbayev D 2018 Adv. Opt. Mater. 6 1800572
Google Scholar
[21] Fan F, Xiong C Z, Chen J R, Chang S J 2018 Opt. Lett. 43 687
Google Scholar
[22] Dmitriev V, Nobre F, Castro W, Portela G, Assunção L 2022 Opt. Commun. 506 127312
Google Scholar
[23] Ju X W, Hu Z Q, Zhu G F, Huang F, Chen Y Q, Quo C X, Kono J, Belyanin A, Wang X F 2023 Opt. Express 31 38540
Google Scholar
Metrics
- Abstract views: 567
- PDF Downloads: 7
- Cited By: 0









DownLoad: