-
氢等离子体由于具有独特的物理和化学特性, 是反应室清洗时的首选气体. 为了更好地理解氢等离子体中的输运和扩散机理, 本文通过COMSOL仿真软件构建了二维流体模型, 系统研究了在不同放电参数和几何参数下射频感应耦合远端氢等离子体源的特性. 结果发现, 输入功率的影响主要体现在电子密度上而非电子温度. 这种现象可能是由于稳态放电中电离速率和损失速率之间的平衡机制造成的. 气压对驱动区和空间后辉光区中的等离子体有着相反的影响. 随着气压的升高, 驱动区电子密度逐渐增大, 但空间后辉光区电子密度逐渐减小. 这是可能是由于随着气压的逐渐增大, 非局域电子动理学向局域转变导致的. 增大输入功率可以有效提高氢自由基密度和扩散通量, 这表明高功率有利于氢自由基向空间后辉光区的输运. 提高工作气压也可以产生相同的效果, 但会降低空间后辉光区氢自由基密度. 此外, 在固定放电参数下, 适当增大几何参数有利于在后辉光区产生较高密度且较为均匀的氢自由基.Due to its unique physical and chemical properties, hydrogen plasma is the preferred gas for cleaning reaction chambers. To better understand the transport and diffusion mechanism in hydrogen plasma, this work presents a two-dimensional fluid model by using COMSOL simulation software, and systematically investigates the characteristics of a radio-frequency inductively coupled remote hydrogen plasma source under varying discharge and geometric parameters. The results show that input power primarily affects electron density rather than electron temperature. This phenomenon may result from the balancing mechanism between theionization rate and the loss rate in steady state discharges. The pressure has an opposite effect on the plasma in the driven region compared with that in the spatial afterglow region. As the pressure rises, the electron density in the driven region increases gradually, while the electron density in the spatial afterglow region decreases gradually. This may be due to the shift from non-local to local electron kinetics as the pressure rises. Increasing input power effectively enhances hydrogen radical density and diffusion flux, indicating that high power facilitates the transport of hydrogen radicals into the spatial afterglow region. However, elevating operating pressure has a similar effect while reducing hydrogen radical density in the spatial afterglow region. Furthermore, under fixed discharge conditions, increasing geometric parameters appropriately promotes the generation of higher and more uniform hydrogen radical densities within the afterglow region.
-
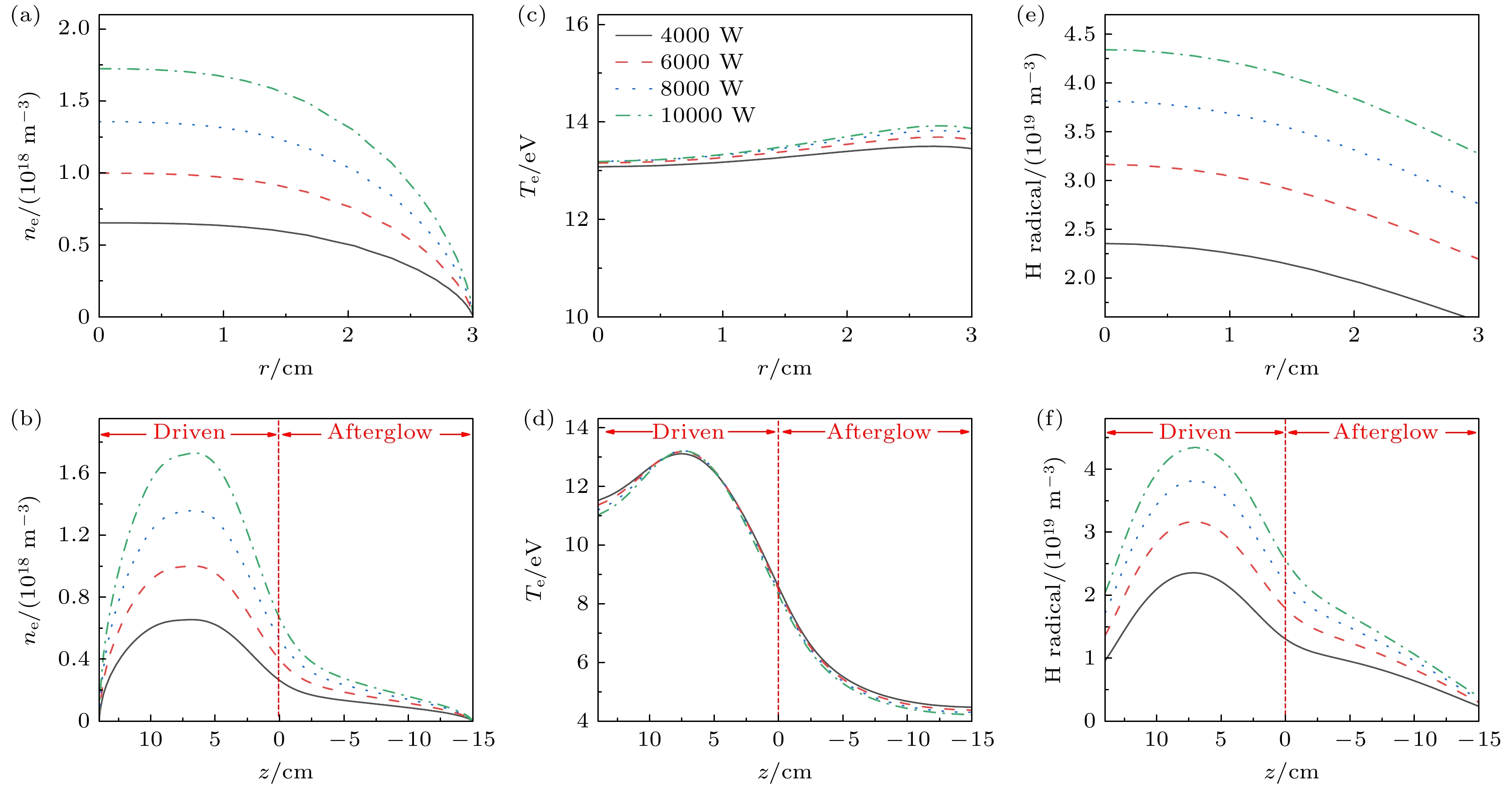
图 2 放电气压为0.6 Pa, 不同输入功率下 (a), (b)电子密度径向和轴向分布; (c), (d) 电子温度径向和轴向分布; (e), (f) 氢自由基径向和轴向分布
Fig. 2. (a), (b) Electron density distribution radially and axially; (c), (d) electron temperature distribution radially and axially; (e), (f) hydrogen radical distribution radially and axially at a discharge pressure of 0.6 Pa under different input powers.
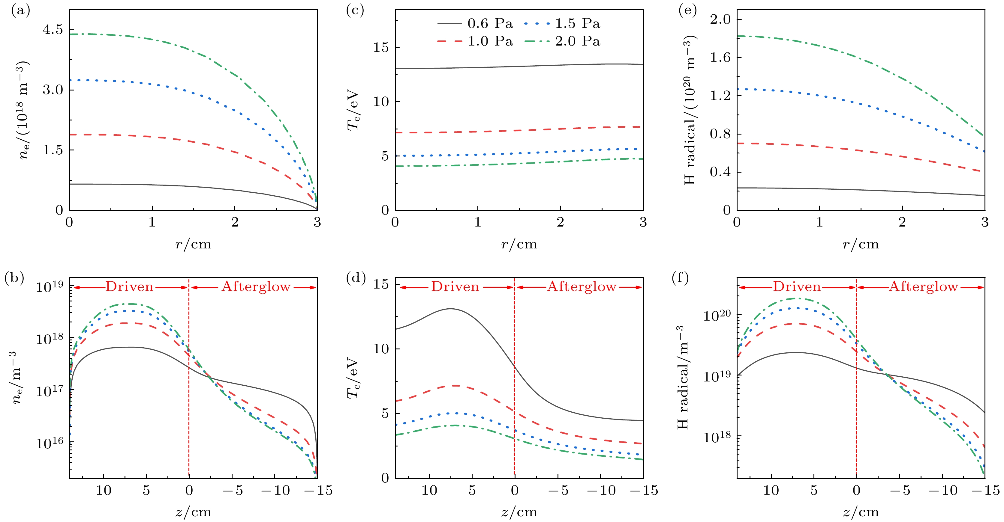
图 4 输入功率4 kW、不同放电气压下 (a), (b)电子密度径向和轴向分布; (c), (d)电子温度径向和轴向分布; (e), (f)氢自由基径向和轴向分布
Fig. 4. (a), (b) Electron density distribution radially and axially; (c), (d) electron temperature distribution radially and axially; (e), (f) hydrogen radical distribution radially and axially at an input power of 4 kW under different discharge pressures.
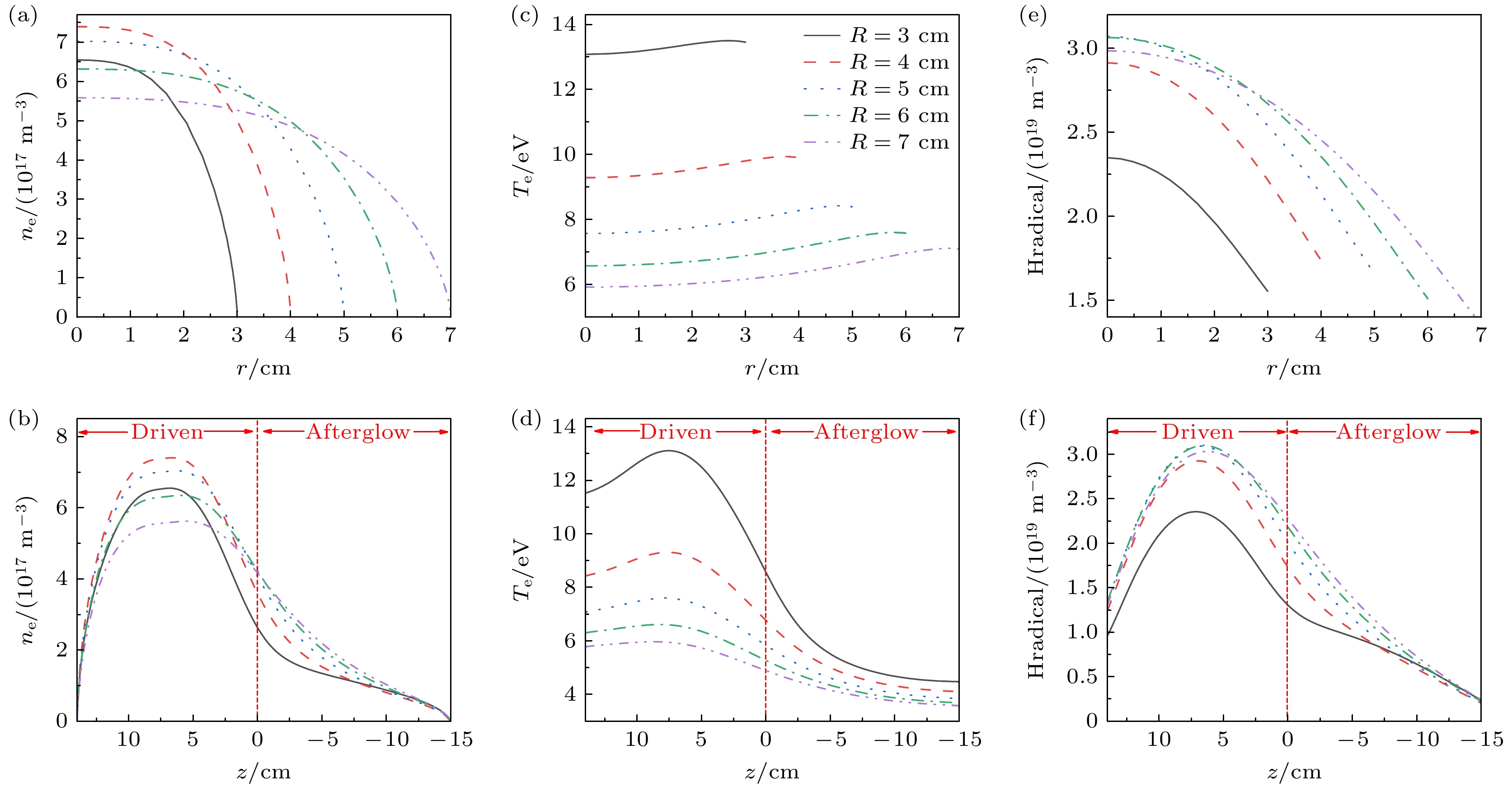
图 8 输入功率4 kW、工作气压0.6 Pa、不同驱动区半径下 (a), (b)电子密度径向和轴向分布; (c), (d)电子温度径向和轴向分布; (e), (f)氢自由基径向和轴向分布
Fig. 8. (a), (b) Electron density distribution radially and axially; (c), (d) electron temperature distribution radially and axially; (e), (f) hydrogen radical distribution radially and axially at an input power of 4 kW and a discharge pressure of 0.6 Pa for different driver region radii.
图 10 输入功率4 kW、工作气压0.6 Pa、不同后辉光区长度下 (a), (b)电子密度径向和轴向分布; (c), (d)电子温度径向和轴向分布; (e), (f)氢自由基径向和轴向分布
Fig. 10. (a), (b) Electron density distribution radially and axially; (c), (d) electron temperature distribution radially and axially; (e), (f) hydrogen radical distribution radially and axially at an input power of 4 kW and a discharge pressure of 0.6 Pa for afterglow region lengths.
表 1 模型中考虑的反应
Table 1. Reactions included in this model.
Reaction Description References $ \text{e}+{\text{H}}_{2}\rightarrow \text{e}+{\text{H}}_{2} $$ \mathrm{e}+{\mathrm{H}}_{2}\rightarrow \mathrm{e}+{\mathrm{H}}_{2} $ Elastic scattering [31] $ \mathrm{e}+\mathrm{H}\rightarrow \mathrm{e}+\mathrm{H} $ Elastic scattering [31] $ \text{e}+{\text{H}}_{2}\rightarrow 2\text{e}+\text{H}+{\text{H}}^{+} $$ \mathrm{e}+{\mathrm{H}}_{2}\rightarrow 2\mathrm{e}+\mathrm{H}+{\mathrm{H}}^{+} $ Dissociative ionization [32] $ \text{e}+{\text{H}}_{2}\rightarrow 2\text{e}+\text{H}_{2}^{+} $ Molecular ionization [32] $ \text{e}+{\text{H}}_{2}\rightarrow \text{e}+\text{H}+\text{H} $$ \mathrm{e}+{\mathrm{H}}_{2}\rightarrow \mathrm{e}+\mathrm{H}+\mathrm{H} $ Dissociation [33] $ \text{e}+{\text{H}}_{2}\rightarrow \text{e}+\text{H}+\text{H}(n=2) $$ \mathrm{e}+{\mathrm{H}}_{2}\rightarrow \mathrm{e}+\mathrm{H}+\mathrm{H}(\mathrm{n}=2) $ Dissociation [34] $ \text{e}+\text{H}\rightarrow 2\text{e}+{\text{H}}^{+} $$ \mathrm{e}+\mathrm{H}\rightarrow 2\mathrm{e}+{\mathrm{H}}^{+} $ Ionization [32] $ \text{e}+\text{H}\rightarrow \text{e}+\text{H}(n=2, 3) $$ \mathrm{e}+\mathrm{H}\rightarrow \mathrm{e}+\mathrm{H}(\mathrm{n}=2{, }3) $ Excitation [32] $ \text{e}+\text{H}(\text{n}=2, 3)\rightarrow 2\text{e}+{\text{H}}^{+} $$ \mathrm{e}+\mathrm{H}(\mathrm{n}=2{, }3)\rightarrow 2\mathrm{e}+{\mathrm{H}}^{+} $ Ionization [32] $ \text{e}+\text{H}_{2}^{+}\rightarrow \text{e}+{\text{H}}^{+}+\text{H} $$ \mathrm{e}+\mathrm{H}_{2}^{+}\rightarrow \mathrm{e}+{\mathrm{H}}^{+}+\mathrm{H} $ Dissociative excitation [32] $ \text{e}+\text{H}_{2}^{+}\rightarrow \text{e}+{\text{H}}^{+}+\text{H}(n=2) $$ \mathrm{e}+\mathrm{H}_{2}^{+}\rightarrow \mathrm{e}+{\mathrm{H}}^{+}+\mathrm{H}(\mathrm{n}=2) $ Dissociative excitation [34] $ \text{e}+\text{H}_{2}^{+}\rightarrow \text{H}+\text{H} $$ \mathrm{e}+\mathrm{H}_{2}^{+}\rightarrow \mathrm{H}+\mathrm{H} $ Dissociative recombination [35] $ \text{e}+\text{H}_{3}^{+}\rightarrow \text{e}+2\text{H}+{\text{H}}^{+} $$ \mathrm{e}+\mathrm{H}_{3}^{+}\rightarrow \mathrm{e}+2\mathrm{H}+{\mathrm{H}}^{+} $ Dissociative excitation [34] $ \text{e}+\text{H}_{3}^{+}\rightarrow 3\text{H} $$ \mathrm{e}+\mathrm{H}_{3}^{+}\rightarrow 3\mathrm{H} $ Recombination [35] $ \text{e}+\text{H}_{2}^{+}\rightarrow 2\text{e}+2{\text{H}}^{+} $$ \mathrm{e}+\mathrm{H}_{2}^{+}\rightarrow 2\mathrm{e}+{2\mathrm{H}}^{+} $ Dissociative [32] $ \text{e}+{\text{H}}_{2}\rightarrow \text{e}+{\text{H}}_{2}(v=1-14) $$ \mathrm{e}+{\mathrm{H}}_{2}\rightarrow \mathrm{e}+{\mathrm{H}}_{2}(\mathrm{w}=1{, }2, 3) $ Radiative decay and excitation: EV [36] $ \text{e}+{\text{H}}_{2}(v=1-14)\rightarrow \text{e}+2\text{H} $$ \mathrm{e}+{\mathrm{H}}_{2}(\mathrm{w}=1{, }2, 3)\rightarrow \mathrm{e}+2\mathrm{H} $ Dissociation [37] $ \text{e}+{\text{H}}_{2}(v=1-14)\rightarrow \text{H}+{\text{H}}^{-} $$ \mathrm{e}+{\mathrm{H}}_{2}(\mathrm{w}=1{, }2, 3)\rightarrow \mathrm{H}+{\mathrm{H}}^{-} $ Dissociative electron attachment: DA [32] $ \text{H}_{2}^{+}+{\text{H}}_{2}\rightarrow \text{H}_{3}^{+}+\text{H} $$ \mathrm{H}_{2}^{+}+{\mathrm{H}}_{2}\rightarrow \mathrm{H}_{3}^{+}+\mathrm{H} $ Ion formation [38] $ \text{e}+{\text{H}}^{-}\rightarrow 2\text{e}+\text{H} $$ \mathrm{e}+{\mathrm{H}}^{-}\rightarrow 2\mathrm{e}+\mathrm{H} $ Electron detachment: ED [34] $ \text{H}_{2}^{+}+{\text{H}}^{-}\rightarrow \text{H}+{\text{H}}_{2} $$ \mathrm{H}_{2}^{+}+{\mathrm{H}}^{-}\rightarrow \mathrm{H}+{\mathrm{H}}_{2} $ Mutual neutralization: MN [39] $ \text{H}_{3}^{+}+{\text{H}}^{-}\rightarrow 2{\text{H}}_{2} $ Mutual neutralization: MN [39] $ \text{H}+{\text{H}}^{-}\rightarrow \text{e}+{\text{H}}_{2} $$ \mathrm{H}_{3}^{+}+{\mathrm{H}}^{-}\rightarrow 2{\mathrm{H}}_{2} $ Associative detachment: AD [39] $ \text{H}_{3}^{+}+\text{wall}\rightarrow {\text{H}}_{2}+\text{H} $ Ion wall recombination [40] $ \text{H}_{2}^{+}+\text{wall}\rightarrow {\text{H}}_{2} $ Ion wall recombination [40] $ {\text{H}}^{+}+\text{wall}\rightarrow \text{H} $ Ion wall recombination [40] $ \text{H}+\mathrm{H}+\mathrm{wall}\rightarrow {\text{H}}_{2} $$ \mathrm{H}+{\mathrm{H}}^{-}\rightarrow \mathrm{e}+{\mathrm{H}}_{2} $ H wall recombination [41,42] $ \text{H}(\text{n}=2, 3)+\text{wall}\rightarrow \text{H} $$ \mathrm{H}_{3}^{+}+\mathrm{wall}\rightarrow {\mathrm{H}}_{2}+\mathrm{H} $ H(n) wall recombination [41,43] $ {\text{H}}_{2}(v=1-14)+\text{wall}\rightarrow {\text{H}}_{2} $ Vibrational de-excitation: WD [41,44] $ {\text{H}}^{-}+\text{wall}\rightarrow \text{H} $$ \rightarrow {\mathrm{H}}_{2} $ Ion wall recombination [45] -
[1] 张钰如, 高飞, 王友年 2021 物理学报 70 095206
Google Scholar
Zhang Y R, Gao F, Wang Y N 2021 Acta Phys. Sin. 70 095206
Google Scholar
[2] 赵明亮, 邢思雨, 唐雯, 张钰如, 高飞, 王友年 73 215201
Zhao M L, Xing S Y, Tang W, Zhang Y R, Gao F, Wang Y N 2024 Acta Phys. Sin. 73 215201
[3] Yamada Y, Yamada T, Tasaka S, Inagaki N 1996 Macromolecules 29 4331
Google Scholar
[4] Lucovsky G, Richard P D, Tsu D V, Lin S Y, Markunas R J 1986 J. Vac. Sci. Technol. A 4 681
Google Scholar
[5] Guo Y N, Ong T M B, Xu S Y 2019 Appl. Surf. Sci. 487 146
Google Scholar
[6] Pae J Y, Medwal R, Vas J V, Matham M V, Rawat R S 2019 J. Vac. Sci. Technol. B 37 041201
[7] Kim B, Lee N, Lee J, Park T, Park H, Kim Y, Jin C, Lee D, Kim H, Jeon H 2021 Appl. Surf. Sci. 541 148482
Google Scholar
[8] Claflin B, Grzybowski G J, Ware M E, Zollner S, Kiefer A M 2020 Front. Mater. 7 44
Google Scholar
[9] Erwine P, Camille P E, Laurène Y, Gaspard T, Sylvain D 2019 J. Vac. Sci. Technol. A 37 040601
[10] Volynets V, Barsukov Y, Kim G, Jung J E, Nam S K, Han K, Huang S, Kushner M J 2020 J. Vac. Sci. Technol. A 38 023007
Google Scholar
[11] Huang S, Volynets V, Hamilton J R, Nam S K, Song I C, Lu S Q, Tennyson J, Kushner M J 2018 J. Vac. Sci. Technol. A 36 021305
Google Scholar
[12] Yang K C, Shin Y J, Tak H W, Lee W, Lee S B, Yeom G Y 2019 Vacuum 168 108802
Google Scholar
[13] Wang P Y, Xing S Y, Han D M, Zhang Y R, Li Y, Zhou C, Gao F, Wang Y N 2024 Plasma Sci. Technol. 26 125401
Google Scholar
[14] Li H, Liu Y, Zhang Y R, Gao F, Wang Y N 2017 J. Appl. Phys. 121 233302
Google Scholar
[15] Tsankov T, Kiss’ovski Z, Djermanova N, Kolev S 2006 Plasma Process. Polym. 3 151
Google Scholar
[16] Gangoli S P, Johnson A D, Fridman A A, Pearce R V, Gutsol A F, Dolgopolsky A 2007 J. Phys. D: Appl. Phys. 40 5140
Google Scholar
[17] Zhang A X, Lee M Y, Lee H W, Moon H J, Chung C W 2021 Plasma Sources Sci. Technol. 30 025009
Google Scholar
[18] Van Herpen M M J W, Klunder D J W, Soer W A, Moors R, Banine V 2010 Chem. Phys. Lett. 484 197
Google Scholar
[19] Pachecka M, Sturm J M, van de Kruijs R W E, Lee C J, Bijkerk F 2016 AIP Adv. 6 075222
Google Scholar
[20] Braginsky O V, Kovalev A S, Lopaev D V, Malykhin E M, Rakhimova T V, Rakhimov A T, Vasilieva A N, Zyryanov S M, Koshelev K N, Krivtsun V M, van Kaampen M, Glushkov D 2012 J. Appl. Phys. 111 093304
Google Scholar
[21] Maffini A, Uccello A, Dellasega D, Passoni M 2016 Nucl. Fusion 56 086008
Google Scholar
[22] Sporre J, Lofgren R E, Ruzic D N, Khodykin O V, Myers D W 2011 Proc. SPIE Extreme Ultraviolet (EUV) Lithography II 796929
[23] Wang S S, Ye Z B, Wu A D, Gao T, Wei J J, Gou F J 2025 J. Alloy. Compd. 1030 180912
Google Scholar
[24] Lieberman M A, Lichtenberg A J 2005 Principles of Plasma Discharges and Materials Processing (2nd edn) (New York: Wiley
[25] Xing S Y, Gao F, Zhang Y R, Wang Y J, Lei G J, Wang Y N 2023 Plasma Sci. Technol. 25 105601
Google Scholar
[26] Lishev S T, Shivarova A P, Tarnev K H 2011 J. Plasma Phys. 77 469
Google Scholar
[27] Lishev S, Schiesko L, Wünderlich D, Wimmer C, Fantz U 2018 Plasma Sources Sci. Technol. 27 125008
Google Scholar
[28] Smirnov B M 2015 Theory of Gas Discharge Plasma (Cham: Springer International Publishing
[29] Zhang Y, Yang W, Lyu X Y, Gao F, Wang Y N 2025 J. Appl. Phys. 138 023301.
Google Scholar
[30] Xing S Y, Gao F, Zhang Y R, Zhao M, Lei G J, Wang Y N 2024 Nucl. Fusion 64 056015
Google Scholar
[31] Petrov G M, Giuliani J L 2001 J. Appl. Phys. 90 619
Google Scholar
[32] Janev R K, Reiter D, Samm U 2003 Collision Processes in Low-Temperature Hydrogen Plasma (Jülich: Forschungszentrum Zentralbibliothek
[33] Yoon J S, Song M Y, Han J M, Hwang S H, Chang W S, Lee B j, Itikawa Y 2008 J. Phys. Chem. Ref. Data 37 913
Google Scholar
[34] Janev R K, Langer W D, Jr. Evans K 1989 Elementary Processes in Hydrogen-Helium Plasmas: Cross Sections and Reaction Rate Coefficients (Berlin: Springer
[35] Hjartarson A T, Thorsteinsson E G, Gudmundsson J T 2010 Plasma Sources Sci. Technol. 19 065008
Google Scholar
[36] Celiberto R, Janev R K, Laricchiuta A, Capitelli M, Wadehra J M, Atems D E 2001 At. Data Nucl. Data Tables 77 161
Google Scholar
[37] Celiberto R, Capitelli M, Laricchiuta A 2002 Phys. Scr. T 96 32
[38] Bowers M T, Elleman D D, King J 1969 J. Chem. Phys. 50 4787
Google Scholar
[39] Matveyev A A, Silakov V P 1995 Plasma Sources Sci. Technol. 4 606
Google Scholar
[40] Lee C, Lieberman M A 1995 J. Vac. Sci. Technol. A 13 368
Google Scholar
[41] Booth J P, Sadeghi N 1991 J. Appl. Phys. 70 611
Google Scholar
[42] Gorse C, Capitelli M, Bacal M, Bretagne J, Laganà A 1987 Chem. Phys. 117 177
Google Scholar
[43] Averkin S N, Gatsonis N A, Olson L 2015 IEEE Trans. Plasma Sci. 43 1926
Google Scholar
[44] Hiskes J R, Karo A M 1989 Appl. Phys. Lett. 54 508
Google Scholar
[45] Boeuf J P, Hagelaar G J M, Sarrailh P, Fubiani G, Kohen N 2011 Plasma Sources Sci. Technol. 20 015002
Google Scholar
计量
- 文章访问数: 548
- PDF下载量: 11
- 被引次数: 0








下载: